93923 (681718), страница 4
Текст из файла (страница 4)
Дополнительные испытания стабильности должны проводиться в случаях внесения изменений: в пропись ГЛС, в технологический процесс, в упаковочно-укупорочную систему.
7.4 Маркировка и хранение
После изучения стабильности ЛС в рекомендованных условиях хранения на этикетке помещают одно из нижеприведенных указаний:
-
«Хранить при температуре 15-25°С»;
-
«Хранить при температуре 2-8°С (замораживание не допускается)»;
-
«Хранить при температуре от -5 до 0°С (в морозильной камере)»;
-
«Хранить при температуре ниже -18°С (глубокая заморозка)».
Если есть необходимость, то должны быть предусмотрены и другие указания: «Защищать от света», «Хранить в сухом месте» и др.
В ГФ X были выделены две группы ЛВ, которые обозначены списком А (ядовитые вещества) и списком Б (сильнодействующие вещества). Это определило особые условия их хранения («под замком» и «с предосторожностью»)
Приказом министра здравоохранения РФ №326 от 10 ноября 1997 г. введены в действие новые списки А и Б. При этом указано, что они не имеют альтернативного названия «ядовитые и сильнодействующие вещества». Такой термин получили теперь и имеют правовой характер вещества, включенные в списки №1 и №2 официального документа, изданного в 1998 г. Постоянным комитетом по контролю наркотических веществ.
Список А и список Б сохранились теперь как имеющие сугубо профессиональные цели в области определения порядка хранения, выписывания, контроля и применения входящих в эти списки лекарственных веществ. В утвержденные МЗ РФ списки А и Б включены в основном лекарственные средства, производимые в России, и некоторые имеющие широкое применение ЛС, производимые за рубежом. Однако близкие по химической структуре и действию к ЛС списков \ и Б зарубежные препараты нужно хранить и отпускать аналогичным образом.
8. Методы ускоренного определения стабильности лекарственных средств
Рекомендуемые ГОСТом для определения стабильности ЛС долгосрочные испытания проводятся в реальном времени. Они заключаются в том, что ЛС в течение периода, отводимого на его реализацию (обычно от 2 до 5 лет), хранят при комнатной температуре. Через определенные промежутки времени оценивают качество хранящегося ЛС по ФС (ФСП). На основании результатов анализа делают заключение об оптимальном сроке хранения. Такой метод позволяет получить наиболее объективное заключение, но на проведение испытаний уходит несколько лет.
Используемые ускоренные испытания и стресс-тесты исследования стабильности ЛС основаны на определении их качества путем испытаний в более жестких условиях.
Методы ускоренного хранения (ускоренного старения) позволяют за 15-115 дней при 40-70°С установить сроки хранения, которые, как правило, совпадают с результатами, полученными при хранении Л В при комнатной температуре в течение 3-5 лет. Исследования ведут в климатических шкафах или комнатах, которые имеют устройства, позволяющие автоматически регулировать заданные условия хранения: температуру, влажность, свет. Оценку стабильности осуществляют, исследуя физические и химические изменения ЛВ.
Таким образом, методы ускоренного старения основаны на изучении кинетики реакций разложения лекарственных веществ. Используя факторы, ускоряющие химические реакции (температуру, свет, влагу, рН среды, кислород), можно в течение короткого промежутка времени количественно установить те изменения, которые происходят с ЛС при длительном хранении. Из перечисленных факторов чаще всего используют температуру. На основе полученных результатов устанавливают оптимальные параметры хранения ЛС: температурный режим, влажность, освещенность, рН среды, характер упаковки и т.д.
Цель исследования стабильности ЛС методами ускоренного хранения может быть различной. Если исследуется лекарственное вещество (субстанция), то устанавливают влияние температуры, света и других факторов на процесс разложения (скорость химических реакций). Для лекарственных форм также устанавливают влияние вспомогательных веществ, стабилизаторов и других компонентов на стабильность.
Выполнение исследований методом ускоренного старения осуществляют, запаивая образцы в стеклянные трубки или ампулы в количестве, необходимом для однократного испытания. При изучении влияния на стабильность ЛВ атмосферного кислорода выполняют сравнительные испытания при одинаковой температуре, но помещая одну порцию испытуемого ЛВ в открытый сосуд, а другую — в запаянную ампулу, из которой вытеснен воздух.
В течение всего эксперимента необходимо строгое соблюдение температурного режима, Для этого используют ультратермостаты, позволяющие поддерживать температуру на заданном уровне с точностью ±(0,2-1)°. При повышении температуры, как правило, ускоряются протекающие в Л В физико-химические процессы. Зависимость скорости реакции от температуры лежит в основе ускоренных методов старения и определяется либо правилом Вант-Гоффа, либо уравнением Аррениуса.
I, Наиболее простая методика определения сроков годности лекарственных веществ и лекарственных форм изотермическим методом основана па использовании правила Вант-Гоффа: при повышении температуры на 10°С скорость химической реакции возрастает в 2-4 раза. Это правило справедливо только для реакций, протекающих в сравнительно небольшом температурном интервале. Так как для установления сроков хранения обычно используют температурный интервал Ю°С и ведут исследования при температуре от 40 до 70°С, то правило Вант-Гоффа оказывается вполне приемлемым. На основании этого правила была разработана «Временная инструкция по проведению работ для определения сроков годности лекарственных средств на основе метода ускоренного старения при повышенной температуре».
Она определяет единый порядок экспериментального хранения ЛС при повышенной температуре с целью установления сроков их годности. Инструкция распространяется только на индивидуальные ЛВ (субстанции) и их ЛФ. Она не может быть использована для установления сроков годности растительного сырья, полипептидов, белковых, эндокринных и других ЛС биологического происхождения с неустановленной химической структурой или не имеющих определенного состава. Работу по установлению сроков годности в соответствии с инструкцией выполняют организации-разработчики пли предприятия-изготовители.
В соответствии с требованиями этой инструкции испытуемое ЛС в заводской упаковке подвергают воздействию температур, превышающих среднюю температуру его хранения. При этом сокращается промежуток времени, в течение которого происходят физические и химические процессы, приводящие к разрушению Л В в обычных условиях хранения до допустимых пределов (10%). При удачном подборе температурного интервала изменяются практически те же контролируемые показатели качества ЛВ, что и в условиях обычного хранения, но в значительно меньшем интервале времени. Это искусственное моделирование дает возможность в более короткие промежутки времени установить сроки хранения ЛС при 20-25'С. Кроме того, метод позволяет решать и другую задачу — найти температуру хранения, обеспечивающую заданный срок годности (для ЛВ, имеющих ограниченный срок годности при комнатной температуре).
Как правило, предельные температуры экспериментального хранения составляют 60°С для индивидуальных Л В, таблеток, капсул, присыпок (при высокой термической устойчивости этих ЛС она может быть и выше), 60°С — для инъекционных растворов, 40°С — для мазей, линиментов, шприц-тюбиков, 30°С — для суппозиториев и аэрозолей. При проведении испытаний влияние света на испытуемые образцы должно быть исключено.
Срок годности (С) при температуре хранения (Тхр) связан с экспериментальным сроком годности (С,) при температуре экспериментального хранения (Т,) зависимостью
С = КСЭ,
где К — коэффициент соответствия:
Исходя из правила Вант-Гоффа, температурный коэффициент скорости химической реакции (А) при увеличении температуры на !0°С принят равным А = 2.
Методы ускоренного старения, основанные на использовании уравнения Аррениуса, в зависимости от способа термостатирования делятся на изотермические и неизотермические. Суть изотермического метода, каки при использовании правила Вант-Гоффа, сводится к экспериментальному определению констант скорости химической реакции для нескольких фиксированных температур. Выбор последних осуществляют с таким расчетом, чтобы скорость протекающей реакции была приемлемой для выполнения эксперимента. С учетом порядка реакции рассчитывают время, в течение которого концентрация активного вещества уменьшается на 10%, при условии, что продукты разложения не токсичнее исходного соединения. Этот период времени принимают за срок годности данного JIC. Для выполнения испытаний изотермическим методом необходимо предварительно доказать идентичность процесса разложения при различных температурах.
Зависимость скорости реакции от температуры определяется уравнением Аррениуса:
где К— константа скорости при некоторой температуре; Е — энергия активации, кДж/моль; Я — молярная газовая постоянная, равная 8,314 ДжДмоль • К); А — эмпирическая константа; Т— абсолютная температура.
Многочисленными экспериментами было установлено, что уравнение Аррениуса с достаточной точностью описывает зависимость скорости реакции от температуры в широком температурном интервале для реакций различных порядков.
Определение срока годности лекарственного средства с помощью уравнения Аррениуса осуществляют, выполняя следующие операции:
-
Определение константы скорости разложения ЛС и порядка реакции, которые устанавливают экспериментально по трем-четырем значениям температуры (обычно в интервале от 40 до 70°С). Для этого из смеси ЛВ (с известной начальной концентрацией) и продуктов его разложения через определенные промежутки времени отбирают пробы. В каждой из них устанавливают концентрацию испытуемого ЛВ и подставляют это значение в уравнения для констант скоростей реакций различных порядков. На основании сделанных вычислений устанавливают, в каком из уравнений полученная величина будет иметь постоянное значение. Постоянство значений констант скорости указывает на пригодность того или иного уравнения и соответственно на порядок реакции. Затем производят вычисление среднего значения констант скоростей при всех температурах опыта.
-
Построение графика зависимости в аррениусовых координатах — !"(1/7). Используя полученные значения различных температурах, строят график зависимости между логарифмом константы скорости реакции (-\%К) и обратным значением абсолютной температуры (1/7). Прямолинейная зависимость графика позволяет путем экстраполяции определить значения для 20°С (или другой заданной температуры) с последующим вычислением значения константы скорости К.
Константу скорости реакции разложения ЛВ можно рассчитать не только по графику, но и по выведенной из уравнения Аррениуса формуле:
где Кт2 и Кп — константы скорости реакции при температурах 7^ и 7/.
Определив константу скорости реакции при более высокой температуре 72, можно рассчитать константу скорости для комнатной (или другой заданной) температуры Ту. При расчетах исходят из предположения, что энергия активации Е для данной реакции не зависит от температуры (или меняется незначительно).
3. Расчет энергии активации Е процесса разложения исследуемого Л В и вычисление эмпирической константы А уравнения Аррениуса.
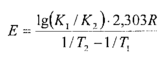
По двум константам скорости реакции К1 и К2 (при условии, что К1 > К2), соответственно установленным при двух различных температурах Т/ и Т2( Т/> Т2), вычисляют энергию активации Е:
4. Вычисление времени разложения ЛВ (при заданной температуре) по соответствующему кинетическому уравнению и полученной величине К. По найденному значению А"рассчитывают время и в течение которого происходит разложение ЛВ при 20°С (или другой заданной температуре). Если процесс представляет собой химическую реакцию первого порядка, то расчет ведут по уравнению
где со — концентрация реагирующего вещества; с, — концентрация этого вещества, прореагировавшего к моменту времени Л
9. Пути повышения стабильности лекарственных средств















