93850 (681680), страница 4
Текст из файла (страница 4)
Широко используются в фармацевтическом анализе реакции окисления. Первичные спирты идентифицируют, последовательно окисляя до альдегидов и кислот, которые затем обнаруживают с помощью характерных реакций:
Так, например, восстановительные свойства альдегидов устанавливают с помощью реакции образования «серебряного зеркала»:
Этот же процесс лежит в основе взаимодействия реактива Несслера с альдегидами:
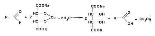
Реакция окисления альдегидов лежит в основе использования реактива Фелинга, представляющего собой смесь от- лельно приготавливаемых растворов сульфата меди и калий-натриевой соли винной кислоты. В щелочной среде при нагревании в присутствии альдегидов образуется красный осадок оксида меди (I). Общая схема этой реакции:
8 Реакции образования солей и комплексных соединений
Соли органических кислот идентифицируют по наличию катионов натрия, калия, кальция и др. (с помощью рассмотренных выше реакций), а также по наличию анионов органических кислот (ацетат-, бензоат-, салицилат-, тартрат-, цитрат- и других ионов).
Широко пользуются при испытаниях на подлинность реакцией нейтрализации натриевых (калиевых) солей органических кислот (бензойной, салициловой и др.):
Нерастворимые в воде кислоты при этом осаждаются, и их идентифицируют по температуре плавления.
Нерастворимые в воде или окрашенные соли и комплексные соединения образуют с ионами тяжелых металлов органические ЛВ, содержащие в молекуле: спиртовый и фенольный гидроксил, вторичную аминогруппу, имидную группу и др. В качестве реактивов при этом используют соли железа (III), меди (II), ртути (II), кобальта, свинца, кадмия, серебра, сурьмы и др.
Ион железа (III) — наиболее широко используемый в фармацевтическом анализе реактив. Взаимодействуя с фенолами, он образует ионы феноксидов железа, окрашенные в синий, фиолетовый или красный цвет, например:
Окрашенные комплексы с ионами железа (III) образуют практически все органические соединения, содержащие в молекуле фенольный гидроксил. Если он связан в сложноэфирную группу, то реакцию выполняют после гидролиза.
Различную окраску в зависимости от рН среды имеют комплексные соединения иона железа (III) и салицилат-иона:
Структура этих комплексов обусловлена наличием у салицилат-иона не только фенольного гидроксила, но и карбоксильной группы.
Ионы железа (III) образуют окрашенные в красный цвет соли с ацетат-ионом:
а с бензоат-ионом — бензоат железа (розовато-желтый осадок):
Окнгл:е-ные комплексные соли образуют с ионами железа (III) также глюконат-, аминосалицилат-ионы, кислота ас- • : г" и тсизводные пиразолона, 8-оксихинолина, 4-оксикумарина, аминофенолы, флавоноиды и др.
Ион чети III) образует окрашенные комплексные ионы с многоатомными спиртами (глицерол, аминоспирты):
Нпичие спиртового гидроксила и вторичной аминогруппы в молекулах аминоспиртов создает условия для образования окрашенных внутрикомплексных соединений:
Аминокислоты с солями меди (II) образуют комплексные соединения, имеющие темно-синюю окраску:
Различные по растворимости и окраске внутрикомплексные соединения меди (II) образуются с сульфаниламидами. Ион меди при этом замещает подвижный атом водорода:
Подобные комплексы с амидами сульфаниловой кислоты образуют и другие ионы тяжелых металлов (кобальта, серебра).
При определенных значениях рН среды с солями меди образуют комплексные соединения барбитураты, гидроксамо- вые кислоты и др.
Ионы кальция с цитратами образуют при кипячении белый осадок цитрата кальция:
Ионы сурьмы (III) образуют окрашенные продукты с ретинолом (синий) и эргокальциферолом (оранжево-желтый).
Ионы кобальта в присутствии солей кальция образуют сине-фиолетовые комплексные соединения с барбитуратами. С производными пурина, имеющими в молекуле незамещенный атом водорода в имидной группе в положении 1 и 7, соли кобальта образуют окрашенные осадки.
Ионы серебра образуют растворимые (монозамещенные) соли с барбитуратами, производными пурина, при наличии в их молекулах незамещенной имидной группы:
Нитропруссид натрия Ыа2[Ре(СГ^)5>Ю] • НгО образует окрашенные продукты с различными органическими соединениями вследствие замещения нитрозогруппы в его молекуле, например, кетонами:
Кроме кетонов, окрашенные продукты с нитропруссидом натрия образуют альдегиды, фенолы, сульфаниламиды, производные пиридина, изоникотиновой кислоты, имидазола, ряд алкалоидов, сердечных гликозидов и др.
9 Идентификация органических оснований и их солей
Общим испытанием на соли органических оснований [Я=И] • НА с неорганическими и органическими кислотами (НА) является реакция нейтрализации связанных с ними кислот. При этом органическое основание выпадает в осадок:
Затем основание можно идентифицировать по температуре плавления или с помощью цветных реакций.
Анионы связанных неорганических (хлороводородной, бромоводородной, йодоводородной, азотной, фосфорной) и органических (бензойной, салициловой, виннокаменной и др.) кислот обнаруживают с помощью рассмотренных выше качественных реакций.
Органические азотсодержащие основания и их соли, в т.ч. алкалоиды, витамины, антибиотики, можно идентифицировать с помощью осад и тельных (общеалкалоидных) реактивов.
Осадительные реактивы образуют с органическими азотсодержащими основаниями (алифатической, ароматической, гетероциклической структуры) и их солями аморфные или кристаллические осадки (белые или окрашенные), которые имеют стабильную температуру плавления, что также подтверждает подлинность испытуемого ЛВ. Особенно широко для испытания подлинности используют пикриновую кислоту, образующую со многими органическими основаниями пикра- ты, нерастворимые в воде.
Для идентификации органических оснований и их солей используют реактивы, которые не совсем точно называют специальными (специфичными) по отношению к некоторым алкалоидам. К их числу относятся: концентрированная серная кислота, концентрированная азотная кислота, смесь этих кислот (реактив Эрдмана), концентрированная серная кислота, содержащая ванадиевую кислоту (реактив Манделина), концентрированная серная кислота, содержащая формальдегид (реактив Марки).
Концентрированная серная кислота — один из наиболее широко используемых в фармацевтическом анализе реактивов. При испытании подлинности многих органических соединений используются ее активные окислительные, дегидратирующие свойства и каталитическое действие. Сочетание концентрированной серной кислоты с другими окислителями усиливает окислительную активность этих реактивов. Кроме того, она участвует в таких химических процессах, как конденсация, кислотный гидролиз, минерализация.
Концентрированная азотная кислота используется для идентификации органических соединений, т.к. проявляет свойства окислителя и нитрующего агента. Продукты окисления приобретают различное окрашивание, а образовавшиеся ни- тропроизводные имеют характерное желтое окрашивание и легко переходят под действием гидроксидов щелочных металлов в ацисоли, имеющие хиноидную структуру и иную окраску.
10 Источники и причины недоброкачественности лекарственных веществ
Основными источниками примесей являются: исходные и промежуточные продукты синтеза, сопутствующие вещества (в растительном и животном сырье), растворители, остатки кислот и щелочей, в том числе за счет выщелачивания стекла, металл, из которого изготовлена аппаратура, песок, асбест, волокна тканей и фильтровальной бумаги и т.д.
Примеси можно разделить на две группы: технологические (внесенные исходным сырьем или образовавшиеся в процессе производства) и примеси, приобретенные в процессе хранения, транспортировки, под воздействием различных факторов (тепла, света, кислорода воздуха, влаги и др.).
Примеси могут быть токсичные (недопустимые), оказывающие влияние на фармакологический эффект, и примеси, указывающие на степень очистки ЛВ. Последние, присутствуя в больших количествах, снижают содержание биологически активных веществ и соответственно уменьшают активность ЛС. Поэтому в ФС (ФСП) указываются допустимые пределы содержания таких примесей и приводятся испытания, подтверждающие отсутствие токсичных примесей.
11 Общие требования к испытаниям на чистоту
Основное требование к испытаниям на чистоту — достаточная чувствительность, специфичность и воспроизводимость используемой реакции.















