med_rabota (677966), страница 6
Текст из файла (страница 6)
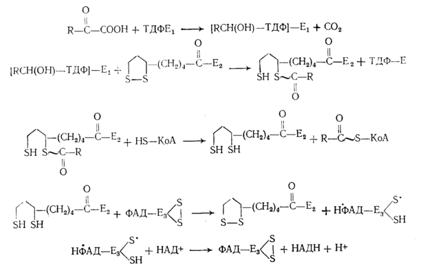
Известно значительное количество различных реакций, катализируемых ТДФ. Однако все их можно свести к нескольким типичным вариантам: простое и окислительное декарбоксидирование -кетокислот, ацилоиновая конденсация, фосфорокластическое расщепление кетосахаров. Ферментные системы, принимающие участие в этих реакциях по-видимому, едины в основных принципах своего действия; различна лишь последующая судьба «активного альдегидного осколка», возникающего на первых этапах процесса. Успехи, достигнутые в течение последних лет в изучении превращений -кетокислот (С. Е. Северин, 1964; А. А. Глемжа, 1964), позволили четко представить как роль собственно декарбоксилирующего фрагмента полиферментного комплекса дегидрогеназы, содержащего ТДФ, так и последовательность всех других, связанных с ним реакций:
В системе транскетолазы (ТК) «активный альдегидный» осколок, очевидно, будет представлен гликолевым радикалом, переносимым от соответствующих источников (ксилулозо-5-фосфат, фруктозо-6-фосфат, оксипируват и др.) на различные акцепторы (рибозо-5-фосфат, эритро-зо-4-фосфат, глюкозо-6-фосфат). В фосфокетолазной реакции «активный гликолевый» радикал превращается непосредственно в ацетилфосфат.
Значительные успехи в выяснении механизма каталитического действия ТДФ были достигнуты в результате исследований, проведенных в двух основных направлениях: создание модельных неферментативных систем и введение в ферментные системы различных аналогов или антагонистов тиамина. Используя первый путь, удалось показать, что витамин и в нефосфорилированном виде способен при определенных условиях в отсутствие белка катализировать реакции декарбоксилирования, образования ацетона, дисмутации диацетила. Различными вариантами опытов, в которых коферментная активность ТДФ сравнивалась с активностью антиметаболитов витамина или изучалась с добавлением соли Рейнеке, бромацетата, пара-хлор-ртуть-бензоата и других соединений, показано, что каталитически наиболее важными группами в молекуле тиамина являются: сера, четвертичный азот тиазолового кольца, аминогруппа в положении 4 пиримидинового: кольца, второй углеродный атом тиазола (2-С-Тз), метиленовый мостик. Можно считать устоявшимся представление, что часть перечисленных выше активных центров (сера, азот, метиленовый мостик) крайне необходима только для поддержания определенной структуры и создания соответствующей электронной плот-ности-(Б. Пюльман, А. Пюльман, 1965) у второго углеродного атома тиазола (2-С-Тз), который является главным каталитическим центром. Спорными и неопределенными пока являются представления о значении аминогруппы пиримидинового компонента.
-
Некоферментная активность тиамина и некоторых его производных.
За последние 20 лет наряду выяснением механизма основных реакций, в которых каталитическую роль играет ТДФ, стали накапливаться данные о высокой биологической активности других некоферментных производных тиамина. Отчетливо наметились два направления исследований: возможное, участие различных фосфорных эфиров витамина в активном переносе богатых энергией фосфатных групп (ангидридная связь в ТДФ макроэргическая) и вероятность вмешательства тиамина в окислительно-восстановительные реакции В связи с тем что неизвестны специфические тиаминсодержащие ферментные системы, причастные к регуляции упомянутых выше процессов, наблюдаемые в этой сфере обмена эффекты витамина можно рассматривать как проявление его неспецифических функций.
-
Тиаминофосфаты (ТФ).
После разработки доступных методов получения ТДФ последний стали широко испытывать при различных заболеваниях в клинических условиях. Внутривенное введение 100—500 мг ТДФ при диабетическом ацидозе увеличивало количество пирувата, образующегося из глюкозы. Эффект аналогичного характера наблюдался при диабете после введения АТФ или фосфокреатина. Инкубация цельной крови с Р32н в присутствии Зх10-3М тиамина сопровождалась ускоренным внедрением метки в промежуточные продукты гликолиза (фруктозо-1,6-дифосфат, фруктозо-6-фосфат). Особенно заметно во времени, по сравнению с контролем без витамина, возрастала радиоактивность триозофосфатов. По данным Л. Н. Кузнецовой, Е. В. Лахно и Р. В. Чаговец (1953), в мышцах при утомлении и отдыхе распад и ресинтез ТДФ происходят примерно по тем же закономерностям, которые известны для АТФ и фосфокреатина. Характерными были изменения во время отдыха, когда количество ТДФ превышало исходный уровень до утомительной работы. Авторы не рассматривают причин усиленного распада ТДФ во время сократительной деятельности мышц, и вряд ли это возможно с позиции известных коферментных функций ТДФ. Торможение функциональной активности печени (введение ССЦ, гипоксия), по-видимому, за счет снижения расхода, сопровождается накоплением в органе ТФ. Наконец, совместное с глюкозой скармливание больших количеств ТДФ крысам сопровождалось заметным (на 69%) повышением уровня АТФ в печени.
Группа японских исследователей подробно изучила на циклофоразной системе внедрение Р32 из меченого ТДФ в немеченый АТФ. Перенос метки был в 3—4 раза больше в присутствии Р32-ТДФ, чем в присутствии неорганического Р32н, хотя система и во втором случае содержала столько же ТДФ. Если циклофоразную систему выделяли из печени страдающих от недостаточности тиамина крыс, то внедрение Р32 в АТФ из меченого ТДФ превышало контроль в 8—10 раз. Независимость внедрения Р32 в АТФ от эстерификации неорганического фосфата подтверждалась и тем, что ДНФ (10-4М), снижавший интенсивность окислительного фосфорилирования в 5—10 раз, не влиял на процесс переноса метки от ТДФ к АТФ.
Еще более интересными представляются результаты сравнительного изучения физико-химической и «субстратной» разнозначности концевых фосфатов АТФ и ТТФ. Оба соединения одинаково гидролизуются картофельной апиразой и кристаллическими препаратами миозина. Макроэргический характер фосфатных остатков в ТФ побудил ряд авторов исследовать роль этих соединений в начальных реакциях углеводного обмена. Пекарские дрожжи (Kiessling, 1957) в присутствии Р32н, и глюкозы интенсивно накапливают метку вначале преимущественно в -фосфате ТТФ и АТФ, а затем в α- и β-фосфатах. Удельная активность ТТФ в определенных условиях опыта может уравниваться с таковой для АТФ, что рассматривается как выражение причастности ТФ к переносу лабильных фосфатов при обмене глюкозы. Действительно, на белковых препаратах из дрожжей -Р32 ТТФ переносится на глюкозу в присутствии АДФ. Смесь ТФ (около 70% ТТФ), неактивная сама по себе, в присутствии АТФ стимулирует потребление глюкозы гексокиназой, полученной из миокарда, но не из скелетных мышц. Митохондрии содержат значительные количества ТФ, которые могут быть удалены на ¾ без заметного нарушения окисления ПК или сукцината. Сами эти ТФ захватывают до 75% Р32н по отношению к АТФ, а классический разобщающий яд ДНФ тормозит образование АТФ в большей степени, чем ТФ. Введение животным окси-Т, в зависимости от характера субстратов дыхания, может нарушать в митохондриях отдельно окислительные и фосфорилирующие реакции, а на интактных митохондриях, инкубируемых в отсутствие АТФ, добавление ТФ (особенно ТМФ) достоверно повышает эстерификацию неорганического фосфата. В последнее время установлено, что введение животным больших доз ТДФ уже через несколько часов значительно, (иногда в 2 раза) повышает в тканях содержание лабильных фосфорных соединений. Интересной представляется заметно большая эффективность ТМФ в ряде опытов, что, возможно, связано со своеобразным отношением этого производного тиамина к мембранам или обусловлено более легким его превращением в ТТФ. Есть основания полагать, что имеются определенные особенности взаимодействия ТФ с фосфорилирующими реакциями в различных тканях. В нервной ткани, например, с превращением ТФ ряд авторов связывают физиологические акты проведения возбуждения (Muralt, 1962) и транспорт ионов натрия через мембраны.
4.6 Свободный тиамин и его производные. Введение животным антиметаболитов витамина — окси-Т и ПТ — вызывает различную картину нарушений в обмене и в физиологических функциях, что позволило Д. Вулли (1954) предположить вероятность существования у тиамина нескольких различных или даже независимых друг от друга функций. Различие между этими антиметаболитами с химической точки зрения сводится к исключению тиолдисульфидных превращений у ПТ и три-циклических по типу тиохрома (Тх) у окси-Т. Возможность каталитического действия тиамина на уровне окислительно-восстановительных реакций в обмене давно допускают и критикуют разные авторы. Действительно, различная обеспеченность витамином сильно влияет на активность ряда окислительных ферментов или содержание в крови восстановительных форм глютатиона. Витамин обладает антиоксидантными свойствами в отношении аскорбиновой кислоты, пиридоксина и легко взаимодействует с оксигруппами полифенолов (Takenouchi, 1965). Дигидро-Т частично окисляется в тиамин дрожжами и бесклеточными экстрактами, кристаллическими препаратами пероксидазы, тирозиназы и неферментативно при взаимодействии с кристаллическим убихиноном, пластохиноном, менадионом.
5. Физиологическое значение витамина В1 состоит в мощном регулирующем воздействии его на отдельные функции организма и, в первую очередь, на обменные процессы. Сущность же этого воздействия заключается в том, что тиамин участвует в обмене веществ в качестве коэнзима. Особенно важную роль витамин В1 играет в углеводном обмене.
Свою биологическую активность тиамин приобретает в кишечнике, печени и почках в процессе присоединения фосфорной кислоты (фосфорилирования).
Значение витамина В1 для нормального обмена углеводов и состоит прежде всего в том, что фосфорное производное тиамина – дифосфотиамин (кокарбоксилаза) в виде простетической группы входит в состав карбоксилазы – фермента, который с участием липоевой кислоты осуществляет реакции декарбоксилирования (отщепление СО2) пировиноградной и других α-кетокислот с последующим их распадом.
Если в организме мало тиамина, то дальнейший распад пировиноградной кислоты задерживается. Это подтверждается повышением уровня пировиноградной кислоты в условиях В1-витаминой недостаточности. Наряду с этим показано, что уровень пировиноградной кислоты может повышаться и при других патологических процессах, сопровождающихся нарушением углеводного обмена, как, например при болезни Боткина, сахаром диабете и др. Витамин В1 снижает уроень пировиноградной кислоты и у здоровых людей, причем такой же эффект выявлен и после предварительной нагрузки глюкозой. Проведено также изучение влияния витамина В1 на процессы усвоения сахара мышцами в патологических условиях. По данным исследования артерио-венозной разницы в содержании сахара при двойной сахарной нагрузке до и после введения витамина В1 (20мл) выявлено положительное значение этого витамина для регуляции нарушенных процессов углеводного обмена (З.В. Новицкая, 1950).
Особого внимания заслуживает значение витамина В1 для функционального состояния центральной нервной системы и мышечной деятельности. Это становится понятным, если учесть, что центральная нервная система почти всю свою энергию черпает из углеводов, в обмене которых тиамин принимает активное участие. Нарушение В1 – витаминного баланса лишает центральную нервную систему возможности эффективно использовать глюкозу при одновременном накоплении здесь промежуточных продуктов обмена (пировиноградная, молочная кислота и др.) токсически влияющих на мозг.
Тиамин является важным фактором в передаче нервных импульсов – тормозит образование и инактивирует холинэзтеразу, которая гидролизирует ацетилхолин. Этим самым тиамин косвенно усиливает активность ацетилхолина как передатчика нервного возбуждения.
Последующие исследования установили, что В1 – авитаминоз (полиневрит) всегда сопровождается глубокими нарушениями белкового обмена в силу уменьшения активности различных ферментов, принимающих участие в этом обмене.
Особого внимания заслуживает участие тиамина в синтезе нуклеиновых кислот. Дефицит его так же приводит к нарушению гемопоэза.
Таким образом, можно прийти к общему выводу, что витамин В1, являясь мощным регулятором углеводного обмена, в то же время имеет важное значение и для обмена белков. За последнее время получены отчетливые данные о связи этого витамина также с жировым, минеральным и водным обменом.
Кроме того, тиамин оказывает так же выраженное влияние на функциональное состояние отдельных органов и систем организма. Связанные с гипо- и авитаминозом нарушения центральной нервной системы, в свою очередь, ведут к расстройству сердечно-сосудистой системы, эвакуарно-секретной функции желудка и кишечника и эндокринной системы.
Тиамин обладает относительно низкой фармокологической активностью. Все приведенные факты заставляют думать, что описанные для витамина многочисленные положительные эффекты разрешаются каким-то образом на более специфически связанных с ним обменных уровнях или в системах, которые пока ускользают от контроля.














