46136 (665403), страница 5
Текст из файла (страница 5)
Ci(l+1)=H(C2(il)||C2(il)+1),
где через A||B обозначен результат конкатенации двух блоков данных – A и B, а через H(X) – процедура вычисления хэш-кода блока данных X.
При использовании указанного подхода вместе с подписью сообщения необходимо передать не N–1, как в исходном варианте, а только log2N контрольных комбинаций. Передаваться должны комбинации, соответствующие смежным ветвям дерева на пути от конечной вершины, соответствующей номеру использованной подписи, к корню.
Уровень
3: C0(3)
2: C0(2) C1(2)
1: C0(1) C1(1) C2(1) C3(1)
0: C0(0) C1(0) C2(0) C3(0) C4(0) C5(0) C6(0) C7(0)
Рис. 3. Схема попарного хеширования проверочных комбинаций при выработке общего ключа проверки подписи.
С
хема попарного хеширования проверочных комбинаций при выработке общего ключа проверки подписи на восемь сообщений приведена на рисунке 3. Так, в схеме на 8 сообщений при передаче сообщения №5 (контрольная комбинация выделена рамкой) вместе с его подписью должны быть переданы контрольная комбинация сообщения №4 (C4(0)), общая для сообщений №№6–7 (C3(1)) и общая для сообщений №№0–3 (C0(2)), все они выделены на рисунке другим фоном. При проверке подписи значение C5(0) будет вычислено из сообщения и его подписи, а итоговая контрольная комбинация, подлежащая сравнению с эталонной, по следующей формуле: C=C0(3)=H(C0(2)||H(H(C4(0)||C5(0))||C3(1))).
Номера контрольных комбинаций каждого уровня, которые должны быть переданы вместе с подписью сообщения с номером i (0i<2L), вычисляются по следующей формуле: C (il/)2l1, l=0,...,L–1, где x1 означает число, получающееся в результате инвертирования младшего бита в числе x.
Необходимость отправлять вместе с подписью сообщения дополнительную информацию, нужную для проверки подписи, на самом деле не очень обременительна. Действительно, в системе на 1024=210 подписей вместе с сообщением и его подписью необходимо дополнительно передавать 10 контрольных комбинаций, а в системе на 1048576=220 подписей – всего 20 комбинаций. Однако при большом числе подписей, на которые рассчитана система, возникает другая проблема – хранение дополнительных комбинаций, если они рассчитаны предварительно, или их выработка в момент формирования подписи.
Дополнительные контрольные комбинации, которые передаются вместе с подписью и используются при ее проверке, вырабатываются при формировании ключа проверки по ключу подписи и могут храниться в системе и использоваться в момент формирования подписи, либо вычисляться заново в этот момент. Первый подход предполагает затраты дисковой памяти, так как необходимо хранить 2L+1–2 хэш-комбинаций всех уровней, а второй требует большого объема вычислений в момент формирования подписи. Можно использовать и компромиссный подход – хранить все хэш-комбинации начиная с некоторого уровня l*, а комбинации меньшего уровня вычислять при формировании подписи. В рассмотренной выше схеме подписи на 8 сообщений можно хранить все 14 контрольных комбинаций, используемых при проверки (всего их 15, но самая верхняя не используется), тогда при проверке подписи их не надо будет вычислять заново. Можно хранить 6 комбинаций начиная с уровня 1 (C0(1), C1(1), C2(1), C3(1), C0(2), C1(2)), тогда при проверке подписи сообщения №5 необходимо будет заново вычислить комбинацию C4(0), а остальные (C0(2),C3(1)) взять из «хранилища», и т.д.. Указанный подход позволяет достичь компромисса между быстродействием и требованиям к занимаемому количеству дискового пространства. Надо отметить, что отказ от хранения комбинаций одного уровня приводит к экономии памяти и росту вычислительных затрат примерно вдвое, то есть зависимость носит экспоненциальный характер.
-
Схема цифровой подписи на основе блочного шифра.
Ниже приведены числовые параметры и используемые вспомогательные алгоритмы рассматриваемой схемы цифровой подписи:
-
EK – алгоритм зашифрования с размером блока данных и ключа n и nK битов соответственно;
-
Гm(s,K) – алгоритм выработки m битов криптостойкой гаммы с использованием n-битового вектора начальных параметров (синхропосылки) s и nK–битового ключа K, представляет собой рекуррентный алгоритм выработки n-битовых блоков данных и их последующего зашифрования по алгоритму EK;
-
PmnK – набор функций расширения m-битовых блоков данных до nK-битовых для различных m (типично – для кратных n, меньших nK);
-
L – фактор количества подписей (система рассчитана на N=2L подписей);
-
nT – число битов в подписываемых битовых группах, тогда число групп равно
.
Ниже изложены алгоритмы схемы подписи:
-
Алгоритм формирования ключей подписи и проверки подписи.
-
Формирования ключа подписи.
Ключ подписи формируется как nK-битовый блок данных с помощью аппаратного генератора случайных кодов или криптостойкого программного генератора псевдослучайных кодов KS=GnT(...). Биты ключа должны быть независимы и с равной вероятностью принимать оба возможных значения – 0 и 1.
-
Формирования ключа проверки подписи. Схема алгоритма формирования ключа проверки подписи изображена на рисунке 4.
-
Исходные данные алгоритма – nK–битовый массив данных KS – ключ подписи.
-
Вычисляем nG – количество nT-битовых групп в подписываемых блоках.
Следующие шаги 2–9 выполняются столько раз, на сколько подписей рассчитана схема, т.е. для каждого номера подписи системы.
-
Рис. 4. Алгоритм выработки ключа проверки подписи.
Выработать блок гаммы размером 2nnG бит с помощью генератора криптостойкой гаммы на ключе KS с начальным заполнением i (номером подписи) и поместить его в 2nnG–битовый массив X. -
2nnG–битовый массив X интерпретируется как массив из 2nG n-битовых элементов Xj, X=(X1,X2,...,X2nG), |Xj|=n,
затем для каждого элемента этого массива вычисляется результат его «односторонней прокрутки» 2nT–1 раз.
-
Для массива X вычисляется и записывается в блок данных S его хэш-код, который является индивидуальной проверочной комбинацией для подписи номер i.
Следующие шаги 5,6 выполняются количество раз, равное фактору количества подписей L.
-
Если l младших бит номера подписи – единицы, переход к шагу 6, иначе – выполнение цикла прекращается и управление передается на шаг 7.
-
Текущая хэш-комбинация S объединяется c текущей хэш-комбинацией Dl уровня l, и для полученного массива вычисляется хэш–значение, которое становится новой текущей хэш–комбинацией.
-
Текущая хэш-комбинация S заменяет хэш-комбинацию Dl уровня l.
-
Последняя вычисленная при выполнении алгоритма текущая хэш-комбинация S и будет являться результатом работы алгоритма – ключом проверки подписи. Кроме того, в ходе выполнения алгоритма будут последовательно выработаны хэш-комбинации всех уровней от 0 до L
, 0lL, 0i<2L–l, которые могут храниться в системе и использоваться при формировании подписи.
-
Алгоритм подписи хэш-блока массива данных.
Схема алгоритма подписи хэш-блока массива данных изображена на рисунке 5.
-
Исходные данные алгоритма:
-
T – подписываемый – n-битовый хэш-блок массива данных;
-
KS – ключ подписи – nK-битовый массив данных;
-
i – порядковый номер подписи.
-
Вычисляем nG – число nT-битовых групп в подписываемом n-битном хэш-блоке.
-
Выработать блок гаммы размером 2nnG бит с помощью генератора криптостойкой гаммы на ключе KS с начальным заполнением i (номером подписи) и поместить его в 2nnG-битовый массив X.
-
2nnG-битовый массив X интерпретируется как массив из nG пар n-битовых элементов X=((X1,X2),...,(X2nG–1,X2nG)), |Xj|=n,
затем для каждой составляющей каждого элемента этого массива, соответствующего определенной битовой группе хэш-блока, нужное число раз выполняется процедура «односторонней прокрутки».
-
Рис. 5. Алгоритм подписи хэш-кода сообщения.
К индивидуальной проверочной комбинации последовательно добавляется попарные хэш-комбинации, по одной комбинации с каждого уровня от 0 до L–1, которые необходимы при вычислении проверочной комбинации самого верхнего уровня (L), общей для всех сообщений. Номер добавляемой комбинации каждого уровня определяется отбрасыванием количества последних бит в номере подписи, равного номеру уровня, и в инвертировании младшего бита полученного числа. -
В результате получаем цифровую подпись хэш-блока сообщения S=(X,D), состоящую из массива подписей битовых групп блока X=(X1,X2,...,X2nG) и из массива дополнительных проверочных комбинаций D=(D0,D1,...,DL–1), необходимых для выполнения процедуры проверки подписи и используемых при вычислении попарных проверочных комбинаций.
-
Алгоритм проверки подписи хэш-блока массива данных.
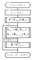
Схема алгоритма проверки подписи хэш-блока массива данных изображена на рисунке 6.
-
Рис. 6. Алгоритм проверки подписи.
Исходные данные алгоритма:
-
T – подписанный – n-битовый хэш-блок массива данных;
-
s – подпись хэш–блока, состоит из массива X, содержащего 2nG n-битовых элементов подписи битовых групп, и массива D, содержащего L n-битовых хэш–комбинаций;
-
i – порядковый номер подписи.
-
Вычисляем nG – число nT–битовых групп в подписываемом хэш–блоке, имеющем размер n бит.
-
В соответствии с правилами проверки подписи производится «односторонняя прокрутка» элементов подписи битовых групп, содержащихся в массиве X, по два элемента на каждую группу.
-
Для массива X вычисляется и записывается в S его хэш-код, который должен быть равен индивидуальной проверочной комбинацией для i-той подписи.
Следующие шаги 4–6 выполняются количество раз, равное фактору количества подписей L.
-
Производится выбор по значению l-того бита (нумерация с 0 со стороны младшего бита) номера подписи.
-
Если значение бита равно 0, то к коду справа добавляется очередная хэш-комбинация, содержащаяся в подписи, для полученного блока вычисляется хэш-функция, которая замещает предыдущее содержимое S.
-
Если значение бита равно 1, то выполняется то же самое, только хэш-комбинация добавляется к коду слева.
-
В конце выполнения алгоритма в S содержится код, который должен быть сравнен с ключом проверки подписи, если коды одинаковы, подпись считается верной, иначе – неверной.
Заключение.
Стойкость предложенной схемы цифровой подписи определяется стойкостью использованного блочного шифра, а устойчивость ко вскрытию переборными методами –наименьшим из чисел n, nK. Ключевой комплект в данной схеме рассчитан на определенное число подписей, что, с одной стороны, может восприниматься как недостаток схемы, но с другой позволяет лицензировать количество подписей, облегчая тем самым ее коммерческое использование. Рассматриваемая схема подписи не соответствует стандарту России на цифровую подпись, а алгоритм вычисления MDC – стандарту на выработку хэш-кода массива данных, что делает невозможным аттестацию в соответствующих организациях устройств и программных продуктов, их реализующих. Однако изложенные схемы вполне могут быть использованы там, где спорные вопросы не могут быть вынесены на уровень арбитражных и судебных разбирательств, например, в системах автоматизации внутреннего документооборота учреждений, особенно если электронный документооборот не заменяет бумажный, а существует в дополнение к нему для ускорения прохождения документов.
В качестве приложения к настоящей статье приведены исходные тексты на языке ассемблера для процессоров клона Intel 8086 функции вычисления MDC для блоков данных и функции, реализующие алгоритмы описанной схемы цифровой подписи. Функция выработки хэш-кода (MDC) написана таким образом, что позволяет обрабатывать блоки данных по частям, то есть за несколько вызовов. Все функции используют в качестве основы алгоритм зашифрования по ГОСТ 28147–89. Также прилагаются тексты тестовых программ на языке Си для проверки неизменности файлов на основе MDC и цифровой подписи.
Литература.
-
А.Ю.Винокуров. ГОСТ не прост...,а очень прост, М., Монитор.–1995.–N1.
-
А.Ю.Винокуров. Еще раз про ГОСТ., М., Монитор.–1995.–N5.
-
А.Ю.Винокуров. Алгоритм шифрования ГОСТ 28147-89, его использование и реализация для компьютеров платформы Intel x86., Рукопись, 1997.
-
А.Ю.Винокуров. Как устроен блочный шифр?, Рукопись, 1995.
-
М.Э.Смид, Д.К.Бранстед. Стандарт шифрования данных: прошлое и будущее. /пер. с англ./ М., Мир, ТИИЭР.–1988.–т.76.–N5.
-
Системы обработки информации. Защита криптографическая. Алгоритм криптографического преобразования ГОСТ 28147–89, М., Госстандарт, 1989.
-
Б.В.Березин, П.В.Дорошкевич. Цифровая подпись на основе традиционной криптографии//Защита информации, вып.2.,М.: МП "Ирбис-II",1992.
-
W.Diffie,M.E.Hellman. New Directions in cryptography// IEEE Trans. Inform. Theory, IT-22, vol 6 (Nov. 1976), pp. 644-654.
-
У.Диффи. Первые десять лет криптографии с открытым ключом. /пер. с англ./ М., Мир, ТИИЭР.–1988.–т.76.–N5.
1 Протоколов в криптографии называется набор правил и алгоритмов более высокого порядка, регламентирующих использование алгоритмов низшего порядка. Его основное назначение – гарантировать правильное использование криптографических алгоритмов.
2>2>
.
, 0lL, 0i<2L–l, которые могут храниться в системе и использоваться при формировании подписи.
Рис. 6. Алгоритм проверки подписи.














