22660 (653126), страница 2
Текст из файла (страница 2)
где знак “+” для северного полушария, “” – для южного.
Одно из важнейших геофизических следствий эффектов причинной механики – гипотеза, что вертикальная составляющая Qr должна быть ответственна за деформацию равновесной фигуры Земли. В силу того, что за фигуру Земли принимается потенциал силы тяжести кривая Qr описывает фигуру, обратную геодезической, но потенциал U этой силы
(8)
совпадает по знаку с геодезической кардиоидой (рис. 1).
Выделение в процессе дифференциации вещества мантии более легкой гранитоидной фракции, контролируемое в основном реакцией MgSiO3® Mg2SiO4+SiO2 [20], идет быстрее при уменьшение давления, т.е. в условиях вертикального растяжения (divQr>0). Следовательно, зоны где divQr>0 более благоприятны для формирования коры материкового типа, чем зоны, где divQr<0. В свою очередь, зоны с divQr<0 более благоприятны для обратного процесса – базификации. Эти соображения наиболее просто могут быть подтверждены кривой распределения суши в сравнении с распределением, как функции широты, кривой divQr. Эти кривые приведены на рис. 1. Как видно они достаточно близки. Учитывая их нетривиальный вид, с большой вероятностью можно говорить, что именно “поле” силы причинности, влияя на процессы дифференциации, оказало решающее влияние на формирование зонального распределения типов коры.
Выражение для divQr позволяет дать физическое обоснование ранее морфологически выделенным признакам антисимметрии Земли относительно экватора: кругам антисимметрии полярных стран (± 71о), северному эпейрогеническому (+62о) и южному талассогеническому (62о) кругам [10].
Поскольку сила причинности перманентный фактор, можно ожидать концентрации подвижных материковых масс в зонах конвергенции горизонтальной силы (divQj0). Зависимость divQj от широты показана на рис. 1, где действительно материковые зоны качественно соответствуют зонам конвергенции горизонтальной компоненты силы, океанические – зонам дивергенции.
До настоящего времени нет однозначного мнения о физическом механизме образования орогенических поясов и зон глубинных разломов. С этой точки зрения рассмотрен ротор силы
:
, (9)
где положительное направление вектора rot
на восток (рис. 2). Ротор силы определяет интенсивность сдвиговых деформаций и, следовательно, экстремальным значениям ротора, как функции широты, должны на Земле соответствовать орогенические пояса или зоны глубинных разломов. На рис. 2 видно, что экстремумы rot
действительно соответствуют, в частности, известным критическим параллелям ± 35о и экватору: первая на материках является орогеническим поясом, вторая выражена зоной разломов [10].
Рис. 1. Зональное распределение суши (1), вертикальной составляющей (2), дивергенции
вертикальной (2) и горизонтальной (3) составляющих и потенциала (2) силы причинности
(для r = 1кг/м3 ).
Факт тепловой асимметрии полушарий и смещение теплового экватора относительно географического к северу » на 10о, был зафиксирован по наблюденным многолетним данным [21]. Однако, этот факт не получил удовлетворительного объяснения. Рассмотрим явление тепловой асимметрии полушарий с позиций причинной механики. Ротор силы
в атмосфере
(10)
определяет интенсивность меридиональной циркуляции. Из кривой зависимости rot
от широты (рис. 2) видно, что в целом в атмосфере преобладают положительные значения. Это означает существование в нижних слоях атмосферы интегрального переноса из южного полушария в северное и обратного переноса в верхних. В результате, в северном полушарии приземная температура должна быть выше, чем в южном полушарии.
Другой факт, не нашедший в метеорологии убедительного объяснения – это сам факт существования внутритропической зоны конвергенции (ВЗК) и ее некоторое смещение, в среднем за год, в северное полушарие [6,7]. На рис. 1 можно видеть, что дивергенция divQj горизонтальной составляющей силы причинности Qj терпит разрыв на экваторе и отрицательна для атмосферы в зоне от 0о до 24о с.ш. С позиций постоянно действующей асимметричной силы в механизме общей циркуляции атмосферы такое распределение divQj объясняет как само существование ВЗК, так и некоторое ее смещение относительно экватора в северное полушарие.
Следующий очевидный шаг учета козыревской силы, возникающей в гироскопической системе, это ее введение в гидродинамические модели, в частности, в модели атмосферы [4]. Для этого воспользуемся простейшей полусферной баротропной моделью.
Как известно из классической механики жидкости и газов в баротропной атмосфере уравнение вихря скорости имеет вид [5]
Рис.2. Зональное распределение ротора силы причинности в литосфере (1, g~ r) и атмосфере
(2, g=const,) (для r = 1кг/м3 ).
(11)
где
относительный вихрь скорости, l=2 wSinj параметр Кориолиса, Н высота изобарической поверхности, u, v, горизонтальные составляющие скорости ветра.
В предположении квази-геострофичности движения компоненты ветра представляются соотношениями
(12)
где g ускорение свободного падения. Подставляя (12) в (11) получим выражение для баротропного уравнения вихря
(13)
где
В отличие от классической механики, причинная механика, построенная на непреложном факте необратимости времени, вводит понятие силы причинности. В результате в правой части уравнения (13) появляется член, представляющий вихрь силы причинности (10).
Уравнение (13) с учетом (10) принимает вид
(14)
где AQ=
.
Для выяснения вклада силы причинности в уравнения (14) были выполнены численные эксперименты с целью получения эволюции начального поля, заданного над северным полушарием в трех вариантах: невозмущенное, циклоническое и антициклональное поле геопотенциала поверхности 500гПа. Последние задавались с центром в полюсе.
Уравнение Гельмгольца (14) решалось конечноразностным методом с применением экстраполяционной процедуры Либмана на квадратной сетке с горизонтальным шагом 300км по территории Северного полушария. На границах моделируемой области задавались нулевые граничные условия.
В классическом варианте баротропного уравнения вихря (13) невозмущенное начальное состояние поля с течением времени не изменяется. С учетом силы причинности происходит эволюция поля геопотенциала, в результате которой возникает планетарная область пониженного давления с центром в полюсе (рис. 4).
Циклонический вихрь с центром в полюсе полностью не заполняется и представляет из себя устойчивую во времени барическую систему.
Антициклонический вихрь с центром в полюсе полностью разрушается. На его месте возникает циклонический вихрь устойчивый во времени.
Во всех трех рассмотренных случаях возникает субтропическая область повышенного давления. Эволюционная картина моделируемых полей по трем сценариям полностью соответствует климатическому полю геопотенциала поверхности 500 гПа (рис. 3). Это соответствие однозначно указывает на существование в Природе силы, выступающая, в нашем случае, как источник, и ранее никоим образом неучтенная классической механикой.
Таким образом, сила причинности, предсказанная причинной механикой и экспериментально обнаруженная Н. А. Козыревым и другими исследователями, является определяющей силой, приводящей состояние атмосферы в устойчивое. Действительно, с точки зрения атмосферы все три заданные начальные состояния являются неустойчивыми (даже в случае отсутствия источника!). С течением времени (в наших экспериментах 5 суток) эти неустойчивые состояния в результате наличия силы причинности переходят в одно устойчивое в виде циклонического вихря с центром в полюсе и субтропическим кольцом повышенного давления. Это состояние качественно соответствует климатическому полю. Важно отметить, что классические уравнения не позволяют получить эволюционную картину поля в отсутствии источника.
На основании (14) были выполнены прогнозы поля геопотенциала изобарической поверхности 500 гПа с интервалом интегрирования от 24 ч до 240 ч и пространственным шагом h=300 и 150 км по данным для северного полушария в коде GRIB за период январь апрель 2003 г.
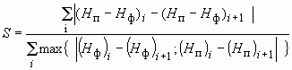
В качестве оценок точности прогнозов использовались:
коэффициент корреляции Rфп между прогностическими и фактическими изменчивостями геопотенциала
; (15)
Рис. 3. Динамика поля геопотенциала поверхности 500 гПа (г,д,е) под действием силы причинности от невозмущенного (а), циклонического (б) и антициклонального (в) состояний. ж) климатическое поле геопотенциала поверхности 500 гПа.
относительная ошибка e
(16)
где
В (15), (16) Hп, Hф, Hисх прогностические, фактические на момент прогноза и исходные поля геопотенциала, соответственно;
оценка совпадения градиентов S между фактическими и прогностическими полями геопотенциала оценка Шумана
. (17)
Оценки прогнозов, полученные по численным схемам, реализующие модели (13) и (14) с пространственным шагом h=300 и 150 км, выполнялись для четырех секторов северного полушария (рис.4) и по полушарию в целом. Результаты оценок 80 выполненных прогнозов в виде средних по этой выборке представлены на рис. 5. Как видно из рис. 5 во всех без исключения видов оценок, независимо от сектора и по полушарию в целом, наблюдается значимое улучшение прогнозов изобарической поверхности 500 гПа для модели (14) относительно классической модели (13).Причем, уменьшение пространственного шага в два раза улучшает в большей степени прогноз, выполненной по модели (14). Чрезвычайно важным является тот факт, что в случае модели (14) с увеличением срока прогноза его ошибка относительно модели (13) заметно уменьшается. С математической точки зрения это указывает, при прочих равных факторах, на большую устойчивость первой относительно второй. Более важна физическая причина. Она состоит в следующем.
Рис. 4. Сектора северного полушария, по которым выполнялась количественная оценка прогнозов поля геопотенциала изобарической поверхности 500 гПа.
В классической механике состояние системы точечных частиц описывается координатами х1 , х2 , …, хk и импульсами р1, р2, рk. Энергия системы, записанная в этих координатах, имеет вид
,
где Еk - кинетическая энергия (зависит только от импульсов), Ер – потенциальная энергия (функция только координат), Н – гамильтониан. Если известен Н, то движение системы полностью определено. Однако выражение гамильтониана получено путем игнорирования фундаментального свойства времени – его необратимости: гамильтоновы уравнения инварианты относительно подстановки t ® t. Последнее означает абсолютную симметрию причинности (иначе, ее отсутствие) относительно фиксированного момента времени to, а значит выражение Н строго применимо только к замкнутым системам. Значительные успехи, достигнутые в гидродинамическом краткосрочном прогнозе погоды и отсутствие таковых в гидродинамическом долгосрочном прогнозе, есть следствие игнорирования направленности времени. Действительно, в случае краткосрочного прогноза с достаточной точностью атмосферу можно рассматривать как изолированную среду, для которой справедливы уравнения Гамильтона. В случае долгосрочных прогнозов определяющими являются источники энергии, так как главенствующую роль приобретают неадиабатические процессы, и атмосфера категорически должна рассматриваться как открытая система, для которой
Рис. 5. Средние по 80 случаям оценки прогноза геопотенциала изобарической поверхности 500 гПа с заблаговременностью от 24 ч до 240 ч, выполненные по модели атмосферы с использованием баротропного уравнения вихря скорости с учетом и без учета силы причинности по данным для северного полушария в коде GRIB за период январь апрель 2003 г.
строго уравнения Гамильтона не выполняются. В противном случае, игнорируется свойство необратимости времени, а вместе с тем вопрос причинности событий. Из-за невозможности “прослеживания” в рамках детерминизма причинно-следственных связей на достаточно длительном интервале времени применяется феноменологический
принцип, широко распространенный еще с древних времен. Его суть состоит в определении причин по наблюдаемым следствиям. Этот подход создает иллюзию возможности обойти проблему предсказуемости, которая неизбежно возникает в рамках классического детерминизма. По сути же, как только мы выходим из рамок классического детерминизма и во главу угла ставятся причинные связи, она становится искусственной. Именно поэтому, оставаясь в рамках классической гидродинамики, никакими формальными способами “проблему предсказуемости” обойти невозможно, ибо реально ее просто нет, а на лицо принципиальная некорректность применения законов классической гидротермодинамики к открытым системам, в частности, к среднесрочному и долгосрочному прогнозу погоды. В работе [19] Э. Лоренц, обсуждая проблему предсказуемости, заметил: “… рассматриваемая предсказуемость скорее связана с ограничением наших знаний о системе, чем с внутренними ее свойствами”. Это замечание Э. Лоренца оказывается весьма актуальным.
Список литературы
А р у ш а н о в М. Л., К о р о т а е в С. М. Причинный анализ и его применение для изучения физических процессов в атмосфере Метеорология и гидрология.N6,1994, с. 1522.
А р у ш а н о в М. Л., К о р о т а е в С. М., От реляционного времени к субстанциональному.– Ташкент: САНИГМИ,1995, 233с.
А р у ш а н о в М. Л. Моделирование формирования фигуры Земли и некоторых геофизических полей на основе положений причинной механики. Узбекский журнал Проблемы Информатики и Энергетики, 2000. N1, с. 58-64.
А р у ш а н о в М. Л. Г о р я ч е в А. М. О необходимости учета эффектов причинной механики в гидродинамических моделях прогноза и климата. ДАН РУз, 2002, N6, c. 38-40.
Б е л о в П. Н. Численные методы прогноза погоды. Л.: Гидрометеоиздат, 1976, 392с.
Б л ю т г е н И. География климатов. Т1. М.: Прогресс, 1973, 373с.
Б л ю т г е н И. География климатов. Т2. М.: Прогресс, 1973, 381с.
Д е м е н и ц к а я Р. М., К а р а с и к А. М. Проблемы генезиса Северного Ледовитого океана . История мирового океана. М.: Наука. 1971, c. 58-76.
Д р а г у н о в В. И. О транссибирской поперечной дислокации. Материалы по геологии и полезным ископаемым Сибирской платформы. Тр. ВСЕГЕИ, 1960, вып. 44, с.16-23.
К а т т е р ф е л ь д Г. Н. Лик Земли и его происхождение. М.: Наука, 1962, 152с.
К о з ы р е в Н. А. Возможная асимметрия в фигурах планет. ДАН,1950, Т. 40, N3, с.389 – 392.
К о з ы р е в Н. А. Причинная или несимметричная механика в линейном приближении. Л.: АО Пулково. 1958. 232с.
К о з ы р е в Н. А. Сборник трудов. Л.: ЛГУ, 1993. 450с.
К о р о т а е в С. М., Ш а б е л я н с к и й В. О. Обобщенный причинный анализ и его применение для изучения электромагнитного поля в море. Известия АН, Физика Земли, 1992, N6, с. 77-86.
К р а у з е Д. К. Экваториальная зона сдвига. Система рифтов Земли. М.:Наука.1970. С. 59-73.
Л а в р е н т ь е в М. М., Е г а н о в а И. А., Л у ц е т М. К. Ф о м и н ы х С. Ф. О регистрации реакции веществ на внешней необратимый процесс. ДАН, 1990, Т. 314, N3, с.635-638.
Л а в р е н т ь е в М. М., Г у с е в В. А., Е г а н о в а И. А., Л у ц е т М. К., Ф о м и н ы х С. Ф. О регистрации истинного положения Солнца. - ДАН, 1990, Т.315, N3, с. 368-371.
Л а в р е н т ь е в М. М., Е г а н о в а И. А., Л у ц е т. О дистанционном воздействии звезд на резистор. -ДАН, 1990, Т. 314, N2, с.352-355.
Л о р е н ц Э. Некоторые аспекты предсказуемости поведения атмосферы. / Долгосрочное и среднесрочное прогнозирование погоды. Проблемы и перспективы. М.: Мир, 1987.- С. 10-32.
М а г н и ц к и й В. А. К вопросу о происхождении и путях развития континентов и океанов. -Вопросы Космогонии, 1958, вып. 6, c. 152-161.
Х р о м о в С. П., К а ц А. Л., Б у р л у ц к и й Р. Ф. Структура внутритропической зоны конвергенции в Атлантическом океане. Квазидвухлетняя цикличность и циркуляция в атмосфере и океане. -Л.: Гидрометеоиздат ,1971, с.192-226.
Ш у б а е в Л. П. О зональности рельефа. -Ученые записки Ленингр. Гос. пед. института им. А. И. Герцена,1958, Т. 151, с. 17-26.
A r u s h a n o v M. L., K o r o t a e v S. M Geophysical effects of causal mechanics. - On the way to Under-standing the time phenomenon. The Construction of Time in Natural Science”.-World Scientific, Singapore, New Jersey, London, 1995, pp.101-108.
H a y a s a k a H. and T a k e u c h i S. Anomalies wight redaction on gyroscope right around the vertical axis of the Earth. - Phys. Rev. Lett., vol. 63, N25, 1990, pp. 2701-2704.
K i n g-H e l e D. G. and M e r s o n R. H. M. New value for the Earth’s flattening, derived from Measurements of Satellite Orbits. - Nature, 1959.-V. 183, N4665, PP.39-46.
K i n g E. R., S i e t z I., A l l r e d g e L. R. Genesis of the Arctic Ocean Basin. -Scince, 1964, Vol. 144, N3626, pp. 78-89.
K o z a i Y. Revised values for coefficients of zonal spherical harmonics in the geopotential, dynamics of satellites. -Berlin: Springer-Verlag, 1969, pp. 104-108.
Список литературы
Для подготовки данной работы были использованы материалы с сайта http://www.sciteclibrary.ru
0>














