22629 (653118), страница 2
Текст из файла (страница 2)
Часть IV.
Часть IV называется . В ней проводится основная идея диссертации - зависимость финансово-экономической оценки месторождения от многих параметров. Не последнюю роль в такой оценке играет величина принятых бортовых и минимальных промышленных значений основных параметров месторождений. В современном варианте приходится делать десятки вариантов расчетов запасов полезных ископаемых, поэтому важно, чтобы такие повариантные расчеты были не только полностью автоматизированы, но и проводились новыми геостатистическими методами.
Глава IV.1. Подсчет запасов участка проводился в последовательности: построение вариограмм → подгонка модельных вариограмм → кригинг → собственно подсчет запасов. Вариограммы строились только для мощностей, поскольку данных по содержаниям P2O5 явно недостаточно для построения вариограммы. Содержания P2O5 оценивались интерполяцией по методу обратных расстояний. По простоте интерпретации лучше всего выглядит вариограмма мощности горизонта кварц-глауконитовых песков. Неплохо интерпретируется и вариограмма мощности нижнего фосфоритного слоя. Изменчивость дисперсии мощности верхнего фосфоритного слоя с расстоянием между выработками интерпретируется хуже. Это понятно - ведь верхний фосфоритный слой размыт и эродирован значительно сильнее двух других, лежащих под ним. Для всех трех фосфоритных слоев была выбрана сферическая модельная функция. Во всех случаях отмечается эффект самородков, примерно равный половине значения порога. Глава иллюстрируется картами (для всех трех членов фоссерии): кригинговых оценок мощности, дисперсий кригинга, стандартных ошибок. Разбраковку блоков проводить не понадобилось.
По существующим кондициям запасы месторождения подсчитываются только там, где мощность верхнего фосфоритного слоя больше 30 см, а мощность вскрыши меньше 25 м. Если подсчитать запасы геостатистическим методом, точно следуя этим кондициям, то мы получим величину запасов руды 3 527 тыс. т. Эта цифра меньше ранее подсчитанных запасов (методом геологических блоков) всего на 4,6%. Так и должно быть. Общие запасы по месторождению, подсчитанные геостатистическими методами и традиционными способами российских геологов, должны быть очень близкими. Но только в геостатистическом подсчете запасов мы получаем: запасы в каждом из 14 тысяч блоков; дисперсию кригинга; количество точек, по которым оценивались параметры блока.
Глава IV.2. Зная запасы месторождения, можно произвести стандартную финансово-экономическую оценку проекта разработки месторождения. В этой главе представлена одна из конечных таблиц подобных оценок. На самом деле их было просчитано несколько десятков вариантов, отличающихся значениями многих параметров рудных тел и производственных расходов. В числе наиболее важных величин, значения которых удалось такими многовариантными расчетами, находится возможная цена фосфоритной муки. В СССР егорьевская фосмука стоила 8-12 рублей за тонну. С тех пор, как была прекращена добыча фосфоритов, представление о возможной стоимости фосмуки было утрачено. После произведенных расчетов стало ясно, что рентабельным производство может быть только тогда, когда цена фосфоритной муки будет находиться на уровне 40 долларов США за одну тонну. Для сравнения можно назвать сегодняшнюю цену за 1 т апатитового концентрата - 44 доллара.
Глава IV.3 посвящена теории бортовых и минимальных промышленных содержаний. С одной стороны, Российские геологи разделяют понятия и . С другой стороны, они признают, что во многих случаях смысл обоих понятий совпадает. В странах с рыночной экономикой эти два понятия вообще не различаются. Точнее говоря, там термин практически не используется. Поэтому в этой главе мы ограничимся бортового содержания.
Бортовое содержание выражается содержанием полезного компонента, а в месторождениях комплексных руд - суммой имеющих промышленное значение содержаний полезных компонентов, приведенных к содержанию условного основного компонента, имеющего максимальную извлекаемую стоимость.
Бортовое содержание, как правило, должно определяться на основе повариантных технико-экономических расчётов, позволяющих учесть всю совокупность горно-геологических, технологических и экономических факторов оценки месторождения. В действительности, это - последовательный просчет нескольких вариантов оценки месторождения при различных значениях бортового содержания. При этом решающими показателями являются прирост или потеря запасов руды и конечного продукта, годовая выдача продукции, рентабельность, величина капитальных затрат на строительство горнорудного предприятия. Количество вариантов бортового содержания должно быть достаточным для однозначного технико-экономического обоснования оптимального его значения.
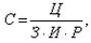
В этой главе автор на концептуальном уровне демонстрирует принцип оптимизации бортового содержания в зависимости от геологических, технологических и экологических факторов. Бортовое содержание (БС) является таким содержанием полезного компонента в руде, при котором обеспечивается безубыточная добыча и переработка данного сырья в промышленный продукт. Геологи России обычно используют упрощенную формулу расчета БС:
в которой фигурируют затраты (З), связанные с добычей, переработкой и транспортировкой 1 т руды, цена (Ц) за единицу полезного компонента, коэффициент извлечения полезного компонента из руды (И) и коэффициент разубоживания (Р).
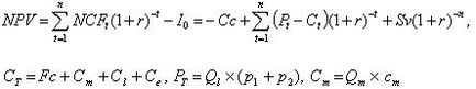
Горняки часто оптимизируют БС, максимизируя NPV - чистую дисконтированную прибыль (Net Present Value):
(для Cl и Ce - аналогично), где NCF=(P-C) - чистая прибыль; Io=Cc -начальные капитальные затраты; r - ставка дисконта; n - срок осуществления проекта; CT, Cm, Cl, Ce, Fc - общая стоимость, затраты на добычу, обогащение и экологию, фиксированная стоимость; Sv - современная величина остаточной стоимости оборудования.
Но, на самом деле, БС определяется большим числом факторов: средним содержанием полезных компонентов, запасами руды, технологией добычи и переработки, ставкой дисконта, продолжительностью работы рудника, производительностью обогатительной фабрики, правовыми условиями, географическим положением, возникающими экологическими проблемами и многим другим. Каждый из этих факторов не является постоянной величиной, а меняется в пространстве и времени. Многие из них связаны друг с другом.
Рассматривая на качественном уровне взаимосвязь некоторых из них со средним содержанием основного полезного компонента, можно обнаружить существование 3 границ: 1 - геологической; 2 - технологической; 3 - экологической.
В горнорудном производстве существуют 3 стадии: добыча, обогащение и передел. Примем, что Qm, Ql, Qe - количество руды, концентрата и полезного компонента, а g - содержание компонента в руде. Тогда Qm=kmQ(g)-a ( для Cl и Ce - аналогично), где Зависимость между запасами руды и средним содержанием выглядит следующим образом - чем беднее руда, тем больше запасы. Но на определенном интервале образуется некоторая - среднее содержание в этом интервале меняется, а запасы остаются одними и теми же. Этот интервал называется , потому что ее появление обязано геологическим особенностям месторождения. При меньших содержаниях запасы заметно увеличиваются, но отработка их становится нерентабельной. Еще ярче эта граница проявляется на графике . Слева от этой границы мы будем иметь убытки. Вряд ли будет выгодна отработка очень богатых по содержаниям, но очень маленьких по запасам месторождений.
Затраты на обогащение руды увеличиваются со снижением среднего содержания. Здесь, как и в предыдущем случае, появляется - при переработке больших объемов руды с бедными содержаниями затраты резко возрастают. Прибыль можно получить только в том случае, когда среднее содержание превышает эту .
Затраты на ликвидацию экологических последствий деятельности горнорудных предприятий также явно зависят от значения среднего содержания. В частности затраты на рекультивацию и восстановление земель, занятых отвалами бедных руд и пустых пород могут быть столь велики, что возникает своеобразная в содержаниях полезных компонентов, ниже которой предприятие будет терпеть убытки.
Можно было бы рассмотреть еще несколько зависимостей между факторами, определяющими значение БС. Но, по смыслу, все они похожи. Если изобразить все эти зависимости на одном графике, то мы получим серию кривых сначала, показывающих, как прибыль, обусловленная геологическими Pvm, технологическими Pvl, экологическими Pve и другими причинами при росте содержаний сначала возрастает, пересекая при этом уровень нулевой рентабельности, а потом по мере увеличения содержаний начинает снижаться. По нашему мнению, величину БС нужно определять как минимаксное значение по всем этим кривым (рис. 1):
Глава IV.4. В этой главе показывается как концепция определения оптимального значения бортового содержания (БС) реализуется на практике.
| |
Строение продуктивной толщи Егорьевского месторождения наталкивает на мысль о том, как можно менять БС с тем, чтобы найти его оптимальное значение. Верхний и нижний фосфоритные слои разделены кварц-глауконитовыми песками. Этот горизонт - не абсолютно пустой по содержаниям P2O5. Содержания оксида фосфора варьируют здесь от 4% до 9%. Если последовательно включать в рудное тело кварц-глауконитовых песков мощностью 10 см, 20 см, 30 см и т.д., мы, тем самым, будем последовательно разубоживать руды верхнего и нижнего рудных слоев. Соответственно, будут меняться запасы руды, среднее содержание, выход концентрата и фосмуки. Каждый вариант будет просчитан по схеме финансово-экономической оценки горнорудных проектов. В Приложении к работе представлены результаты 22-х вариантов таких расчетов. В каждом варианте показаны объемные доли рудных и частей, соответствующие им средние и бортовые содержания, выход концентрата (фосмуки), и другая информация. Все графики данной главы построены по результатам расчетов, представленных в таблицах.
| |
Сначала рассмотрим, как меняются запасы руды в зависимости от БС. Ясно, что при высоком БС руда будет богатой, но ее будет мало. Со снижением БС будут расти запасы. Но существует момент, при котором БС будет снижаться, но запасы практически останутся теми же самыми. Образуется своеобразный перегиб графика (рис. 2) вблизи от 11%. Такой же отчетливый перегиб образуется на графике , но только на отметке 14%. Так в реальности выглядит излом на графике, названный в предыдущей главе .
Если мы построим график , то получим дугообразную кривую с максимальным значением около 11%. И левая, и правая ветви графика показывают отрицательную прибыль. И это понятно. Если обогащать очень бедную руду, то многие расходы уходят . А если руда очень богата, то это тоже не очень хорошо - руды мало, а, значит, и прибыль будет небольшой (рис. 3). Такой же горб, но только пологий, мы найдем на графике , но только вблизи от среднего содержания 14%. Этот перелом графика говорит о том, что при дальнейшем повышении среднего содержания запасы руды будут существенно меньше, а, значит, и запасы концентрата тоже будут меньше. Так мы получаем .
| |
Обратите внимание, что NPV очень маленькая. Она положительная только в области, непосредственно примыкающей к БС 11%.
Построим график . Получится вогнутая кривая (рис. 4). Чем беднее будет руда, тем больше будет добыто руды и тем больше будут затраты на рекультивацию земель. При росте содержаний от 15% до 16% будет получено почти в 2 раза меньше концентрата, а затраты на экологию останутся почти теми же. В результате резко возрастет на каждую тонну концентрата.
Куполовидная кривая получается на графике . Здесь две кривых (рис. 5). Одна показывает NPV без экологических затрат, а вторая - NPV с затратами на экологию. Закрашенная область отражает влияние экологии на рентабельность производства. Это - своеобразная .
| |
Черная кривая показывает, как меняется NPV при изменении БС в случае отсутствия затрат на экологию. Красная кривая отражает NPV с затратами на экологию.















