27945-1 (652185), страница 2
Текст из файла (страница 2)
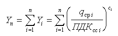
Предложен ряд комплексных показателей загрязнения атмосферы (совместно несколькими загрязняющими веществами); наиболее распространенным и рекомендованным методической документацией Госкомэкологии, является комплексный индекс загрязнения атмосферы (ИЗА). Его рассчитывают как сумму нормированных по ПДКсс и приведенных к концентрации диоксида серы средних содержаний различных веществ:
,
где Yi — единичный индекс загрязнения для i-ого вещества;
qcpi — средняя концентрация i-ого вещества;
ПДКcсi — ПДКсс для i-ого вещества;
ci — безразмерная константа приведения степени вредности i-ого вещества к вредности диоксида серы, зависящая от того, к какому классу опасности (см. ниже) принадлежит загрязняющее вещество.
| Классы опасности | 1 | 2 | 3 | 4 |
| Константа сi | 1,7 | 1,3 | 1,0 | 0,9 |
Для сопоставления данных о загрязненности несколькими веществами атмосферы разных городов или районов города комплексные индексы загрязнения атмосферы должны быть рассчитаны для одинакового количества (n) примесей. При составлении ежегодного списка городов с наибольшим уровнем загрязнения атмосферы для расчета комплексного индекса Yn используют значения единичных индексов Yi тех пяти веществ, у которых эти значения наибольшие [5].
В последнее время растет число публикаций, описывающих эффекты действия загрязняющих веществ на биоту, в том числе атмосферных примесей на растительность. Так, установлено, что хвойные породы деревьев, лишайники чувствительнее прочих видов реагируют на присутствие в воздухе кислых газов, в первую очередь, сернистого ангидрида. Исследователи предлагают установить предельно допустимые концентрации для диких видов с тем, чтобы использовать эти нормативы при оценке ущерба и ограничении воздействия на особо охраняемые природные объекты. Однако широкое применение чувствительность растений нашла лишь в биологическом мониторинге; экологическое нормирование состояния атмосферного воздуха на практике фактически не реализовано.
Нормирование качества воды
В соответствии с Санитарными правилами и нормами СанПиН 2.1.4.559-96 [15] питьевая вода должна быть безопасна в эпидемическом и радиационном отношении, безвредна по химическому составу и должна иметь благоприятные органолептические свойства. Под качеством воды в целом понимается характеристика ее состава и свойств, определяющая ее пригодность для конкретных видов водопользования; при этом показатели качества представляют собой признаки, по которым производится оценка качества воды [16].
По санитарному признаку устанавливаются микробиологические и паразитологические показатели воды (число микроорганизмов и число бактерий группы кишечных палочек в единице объема). Токсикологические показатели воды, характеризующие безвредность ее химического состава, определяются содержанием химических веществ, которое не должно превышать установленных нормативов. Наконец, при определении качества воды учитываются органолептические (воспринимаемые органами чувств) свойства: температура, прозрачность, цвет, запах, вкус, жесткость.
Требования к качеству воды нецентрализованного водоснабжения определены Санитарными правилами и нормами СанПиН 2.1.4.544-96 [17], причем нормируются запах, вкус, цветность, мутность, коли-индекс, а также указывается, что содержание химических веществ не должно превышать значений соответствующих предельно допустимых концентраций (ПДК).
Предельно допустимая концентрация в воде водоема хозяйственно-питьевого и культурно-бытового водопользования (ПДКв) — это концентрация вредного вещества в воде, которая не должна оказывать прямого или косвенного влияния на организм человека в течение всей его жизни и на здоровье последующих поколений, и не должна ухудшать гигиенические условия водопользования [11].
Предельно допустимая концентрация в воде водоема, используемого для рыбохозяйственных целей (ПДКвр) — это концентрация вредного вещества в воде, которая не должна оказывать вредного влияния на популяции рыб, в первую очередь промысловых [11]
| Вещество | ПДKвр, мг/дм3 | ПДKв, мг/дм3 |
| Ртути неорганические соединения (по Hg) | 0,0001 | 0,0005 |
| Аммония фторид (по фтору) | 0,05 | 0,7 |
| Триэтаноламин | 0,01 | 1,0 |
Таблицы ПДКв, ПДКвр, а также некоторые международные нормативы и стандарты качества воды приведены в Приложении 2 (раздел 2.3).
При интерпретации результатов мониторинга состояния водной среды важно знать, к какому типу водных объектов отнесены река, озеро, водохранилище, и использовать для оценки ситуации соответствующие нормативы.
В гидрохимической практике используется и метод интегральной оценки качества воды, по совокупности находящихся в ней загрязняющих веществ и частоты их обнаружения.
В этом методе для каждого ингредиента на основе фактических концен-траций рассчитывают баллы кратности превышения ПДКвр — Кi и повторяемости случаев превышения Нi, а также общий оценочный балл — Bi :
| Ki=Ci/ПДКi ; |
| Hi=NПДКi/Ni ; |
| Bi=Ki·Hi, |
где Сi — концентрация в воде i-го ингредиента;
ПДКi — предельно допустимая концентрация i-го ингредиента для водоемов
рыбохозяйственного назначения [11;5];
NПДКi — число случаев превышения ПДК по i-му ингредиенту;
Ni — общее число измерений i-го ингредиента.
Ингредиенты, для которых величина общего оценочного балла больше или равна 11, выделяются как лимитирующие показатели загрязненности (ЛПЗ). Комбинаторный индекс загрязненности рассчитывается как сумма общих оценочных баллов всех учитываемых ингредиентов. По величине комбинаторного индекса загрязненности устанавливается класс загрязненности воды [5].
Также оценка качества воды и сравнение современного состояния водного объекта с установленными в прошлые годы характеристиками проводятся на основании индекса загрязнения воды по гидрохимическим показателям (ИЗВ). Этот индекс представляет собой формальную характеристику и рассчитывается усреднением как минимум пяти индивидуальных показателей качества воды. Обязательны для учета следующие показатели: концентрация растворенного кислорода, водородный показатель рН и биологическое потребление кислорода БПК5 (Приложение 5).
Нормирование качества почвы
В СССР был установлен лишь один норматив, определяющий допустимый уровень загрязнения почвы вредными химическими веществами — ПДК для пахотного слоя почвы. Принцип нормирования содержания химических соединений в почве основан на том, что поступление их в организм происходит преимущественно через контактирующие с почвой среды. Основные понятия, касающиеся химического загрязнения почв, определены ГОСТом 17.4.1.03-84. Охрана природы. Почвы. Термины и определения химического загрязнения [18].
Предельно допустимая концентрация в пахотном слое почвы (ПДКп) — это концентрация вредного вещества в верхнем, пахотном слое почвы, которая не должна оказывать прямого или косвенного отрицательного влияния на соприкасающиеся с почвой среды и на здоровье человека, а также на самоочищающую способность почвы [11].
Нормативы ПДКп разработаны для веществ, которые могут мигрировать в атмосферный воздух или грунтовые воды, снижать урожайность или ухудшать качество сельскохозяйственной продукции. Таблицы ПДКп, а также некоторых нормативов, принятых в Германии, приведены в разделе 2.4 Приложения 2.
В настоящее время в Институте экологии человека проводятся исследования, направленные на обоснование индивидуальных нормативов ПДКп для различных типов почв. Таким образом, в ближайшее время следует ожидать того, что особенности миграции и трансформации вредных веществ в почвах будут отражены в системе нормирования.
Оценка уровня химического загрязнения почв населенных пунктов проводится по показателям, разработанным при сопряженных геохимических и гигиенических исследованиях окружающей среды городов. Такими показателями являются коэффициент концентрации химического элемента Кс и суммарный показатель загрязнения Zc [5].
Коэффициент концентрации определяется как отношение реального содержания элемента в почве С к фоновому Сф:
| Кс=С/Сф. |
Поскольку часто почвы загрязнены сразу несколькими элементами, то для них рассчитывают суммарный показатель загрязнения, отражающий эффект воздействия группы элементов:
,
где Ксi — коэффициент концентрации i-ого элемента в пробе;
n — число учитываемых элементов.
Суммарный показатель загрязнения может быть определен как для всех элементов в одной пробе, так и для участка территории по геохимической выборке.
Оценка опасности загрязнения почв комплексом элементов по показателю Zc проводится по оценочной шкале, градации которой разработаны на основе изучения состояния здоровья населения, проживающего на территориях с различным уровнем загрязнения почв.
Таблица 5. Ориентировочная оценочная шкала опасности загрязнения почв по суммарному показателю [5]
| Kатегории загрязнения почв | Величина Zс | Изменение показателей здоровья населения в очагах загрязнения |
| Допустимая | меньше 16 | Наиболее низкий уровень заболеваемости детей и минимум функциональных отклонений |
| Умеренно опасная | 16-32 | Увеличение общего уровня заболеваемости |
| Опасная | 32-128 | Увеличение общего уровня заболеваемости, числа часто болеющих детей, детей с хрони-ческими заболеваниями, нарушениями функционирования сердечно-сосудистой системы |
| Чрезвычайно опасная | больше 128 | Увеличение заболеваемости детского населения, нарушение репродуктивной функции женщин (увеличение случаев токсикоза при беременности, преждевременных родов, мертворождаемости, гипотрофий новорожденных). |
Предельно допустимые концентрации вредных веществ в продуктах питания
При разработке нормативов предельно допустимых концентраций вредных веществ в продуктах питания учитываются материалы по токсикологии и гигиеническому нормированию данных веществ в различных объектах природной среды (в воздухе, воде, почве), а также информация о естественном содержании различных химических элементов в пищевых продуктах.
Предельно допустимая концентрация (допустимое остаточное количество) вредного вещества в продуктах питания (ПДКпр) — это концентрация вредного вещества в продуктах питания, которая в течение неограниченно продолжительного времени (при ежедневном воздействии) не вызывает заболеваний или отклонений в состоянии здоровья человека [11].
Санитарно-гигиеническое нормирование загрязненности пищевых продуктов касается главным образом пестицидов, а также тяжелых металлов и некоторых анионов (например, нитратов). Значения ПДКпр для некоторых хлорорганических соединений приведены в разделе 2.5 Приложения 2. Отметим, что при интерпретации результатов не следует использовать ПДКпр как стандарт, принятый для любых объектов биоты. Например, описание исследования накопления соединений ртути в тканях чаек не может заканчиваться выводами о превышении ПДКпр. Целесообразнее обращаться к литературным сведениям о накоплении ртути в аналогичных объектах в фоновых и в хорошо изученных загрязненных районах.
Таблица 6. Классы опасности химических соединений в зависимости от характеристик их токсичности [11]
| Показатели | Kлассы опасности | |||
| I | II
| III | IV | |
| ПДKрз, мг/м3 | меньше 0,1 | 0,1-1,0 | 1-10 | больше 10 |
| ЛД50 при введении в желудок, мг/кг массы тела | меньше 15 | 15-150 | 150-5000 | больше 5000 |
Классы опасности химических соединений
В зависимости от токсичности все химические соединения могут быть подразделены на 4 класса опасности (табл. 6). Учет класса опасности позволяет дифференцированно подходить к обоснованию необходимых профилактических мероприятий (например, к мерам безопасности при работе с различными веществами), а также предварительно оценивать сравнительную опасность воздействия тех или иных веществ на организм человека.
Нормирование воздействия
Научно-технические нормативы воздействия на окружающую среду разрабатываются для хозяйственных объектов в форме проектов томов предельно допустимых выбросов (ПДВ) и сбросов (ПДС) [19].















