16127 (650287), страница 3
Текст из файла (страница 3)
Следующим шагом, видимо, должна быть организация вексельной торговой площадки в рамках ассоциации. Ее создание повысит ликвидность обращающихся векселей, ускорят торговые операции, снизят риск совершаемых сделок, сократит издержки для конечных участников, это приведет к повышению "прозрачности" вексельного рынка.
Одной из операций, получающих развитие, является авалирование коммерческими банками векселей сторонних векселедателей. При этом банк становится солидарно обязанным по векселям и в виде компенсации за риск получает комиссионный вознаграждения. Такая операция не влечет за собой отвлечение ресурсов, но требует тщательной проработки обеспечения сделки. Чаще всего в его роли выступает залог ликвидных материальных ценностей. Тогда уровень риска по сделке для банка определяется найденным механизмом перехода права собственности или реализации залога.
Вексельный рынок в России очень подвижен, поэтому и операции банков с векселями отличаются высокой динамичностью. Представляется, что чисто портфельные операции на вексельном рынке теряют значимость в силу снижения объемов вексельного кредитования и выравнивания доходности по региону.
Перспективным направлением становится ориентация банков на корпоративную клиентуру, разработка и внедрение различных расчетных схем с использованием как собственных векселей, так и обращающихся на рынке других долговых обязательств.
В зависимости от конкретной ситуации банк может брать на себя выполнение ряда функций – от разработки схемы до совершения комиссионных операций по поручению клиента, выполнение функций платежного агента. При этом банк, как посредник имеет ряд преимуществ относительно других финансовых институтов, представляемых на вексельном рынке. Прежде всего, они заключаются в более жестком контроле за финансовым состоянием со стороны Центробанка России, опыте работы на вексельном рынке, широком круге контрагентов, информационной обеспеченности и наличии финансовых ресурсов5.
1.4. Анализ операций с векселями.
Вексель может быть выпущен как с дисконтом, так и с выплатой фиксированного процента к номиналу в момент погашения (процентный вексель).
С
точки зрения количественного анализа в первом случае вексель представляет собой дисконтную бумагу, доход по которой представляет разницу между ценой покупки и номиналом. Поэтому доходность такого векселя определяется аналогично доходности любого обязательства, реализуемого с дисконтом и погашаемого по номиналу:
где t –число дней до погашения;
Р – цена покупки;
N – номинал;
К – курсовая стоимость;
В – используемая временная база;
Как правило, в операциях с векселями используются обыкновенные проценты (360/360).
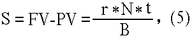
Абсолютный дисконт по дисконтному векселю S равен:
S=FV-PV=N-P=100-K. (2)
Если вексель продается (покупается) до срока погашения, доход будет поделен между продавцом и покупателем с учетом величины рыночной ставки процента и числа дней, оставшихся до погашения:
где Y - рыночная ставка (норма доходности покупателя);
t - число дней от момента сделки до срока погашения;
Соответственно, доход продавца будет равен:
Sпрод = S - Sпок , (4)
Если вексель размещается по номиналу, его доход определяется объявленной процентной ставкой r. В этом случае вексель представляет собой ценную бумагу с выплатой фиксированного дохода в момент погашения.
С учетом введенного выше обозначения r абсолютный размер дохода по векселю может быть определен, как:
где r - ставка по векселю;
N - номинал;
t - срок погашения в днях;
B - временная база;
Соответственно, годовая доходность погашения Y, исчисленная по простым процентам, будет равна:
Из (5) и (6) следует, что если обязательства размещено по номиналу и держится до срока погашения его доходность будет равна указанной в контракте ставки процента (т.е. Y=r).
Если вексель продается (покупается) между датами выпуска и погашения, абсолютная величина дохода S будет распределена между продавцом и покупателем в соответствии с рыночной ставкой (нормой доходности покупателя) Y на данный момент времени и пропорционально сроку хранения ценной бумаги каждой из сторон. Часть дохода, причитающаяся покупателю за оставшийся до погашения срок t2, будет равна:
где t2 - число дней от момента покупки до погашения векселя.
Соответственно, продавец получит величину:
Sпрод = S – Sпок (8)
Соотношение (7) и (8) отражают ситуацию равновесия на рынке (т.е. "справедливое" распределение доходов в соответствии с рыночной ставкой Y и пропорционально сроку хранения бумаги каждой из сторон). Любое отклонение в ту или иную сторону повлечет за собой перераспределение дохода в пользу одного из участников сделки.
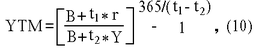
Предельная величина рыночной ставки Y, при которой продавец бумаги получит доход, должна удовлетворять неравенству:
Y - рыночная ставка;
t1 - число дней до погашения в момент покупки;
t2 - число дней до погашения в момент перепродажи;
П
ри этом доходность операции будет равна:
где YTM - эффективная доходность.
Оценка стоимости финансовых векселей.
Процесс оценки стоимости векселя, выпущенного с дисконтом, заключается в определении современной величины элементарного потока платежей по формуле простых процентов исходя из требуемой нормы доходности Y.
С учетом используемых обозначений формула текущей стоимости (цены) подобного обязательства будет иметь вид:
Поскольку номинал дисконтного векселя принимается за 100%, его курсовая стоимость равна:
Определение современной стоимости процентных векселей. С учетом накопления на момент проведения операции дохода стоимость обязательства (Р), соответствующая требуемой норме доходности Y может быть определена из соотношения:
где – t число дней до погашения.
При Y=r рыночная стоимость обязательства на момент выпуска будет равна номиналу (т.е. Р=N). Соответственно, при Y>r будет Р Таким образом, рыночная стоимость векселя с учетом накопленного дохода, определяемая из (14), может отклоняться от номинала. Однако в биржевой практике принято котировать в процентах к номиналу, т.е. за 100 единиц на дату сделки. При этом ставка дохода по обязательствам r показывается отдельно. Курсовая стоимость обязательства К, проводимая в биржевых сводках, определяется как: где t - число дней до погашения; S1 – абсолютная величина дохода, накопленная к дате совершения сделки. В свою очередь величина S1 может быть найдена из следующего соотношения: где t1 - число дней от момента выпуска до даты сделки. Таким образом, полная рыночная стоимость векселя Р может быть так же определена как: P = K + S1 Анализ учета векселей. При учете вексель выполняет две функции: коммерческого кредита и средства платежа. Абсолютная величина дисконта определяется как разность между номиналом векселя и его современной стоимостью на момент проведения операции. При этом дисконтирование осуществляется по учетной ставке d, устанавливаемой банком: где t - число дней до погашения; d - учетная ставка банка; P - сумма, уплаченная владельцу при учете векселя; N - номинал; С Суть данного метода заключается в том, что проценты начисляются на сумму, подлежащую уплате в конце срока операции. При этом применяется учетная ставка d. При дисконтировании по учетной ставке чаще всего используют временную базу 360/360 или 360/365. Используемую при этом норму приведения называют антисипативной ставкой процентов6. Учетная ставка d иногда применяется и для наращивания по простым процентам. Необходимость в таком наращивании возникает при определении будущей суммы контракта, например, общей суммы векселя. Формула определения будущей величины в этом случае имеет вид:7 2 2.1 Формы векселей и платежи по ним. Для целей бухгалтерского учёта операций с векселями можно разделить на две группы: -покупатель БМПГЭТС от своего имени выдаёт поставщику теплоэнергии ЗАО «з-д Бежецксельмаш» вексель для оформления отсрочки платежа за теплоэнергию (см приложение №2). Этот вексель покупатель приобрел в Бежецком отделении №1558 АК СБ РФ ОАО (см. приложение №1). Такая отсрочка согласно статье 823 ГК РФ называется договором комерческого кредита. Учёт в одном случае ведётся согласно письму Министерства финансов России от 31.10.94 года. №142 (в редакции от 15.07.96 года №62); -все остальные операции с векселями. В этих случаях учёт ведётся по правилам учёта финансовых вложений . При вексельной оплате поступающих ресурсов или продаваемой продукции (работ, услуг) в организации используются простые и переводные векселя. ПРОСТОЙ ВЕКСЕЛЬ – это письменное долговое денежное обязательство одной стороны (векселедателю) по совершённым сделкам или в уплату за выполненные работы или оказанные услуги. (см. приложение №6) ПЕРЕВОДНОЙ ВЕКСЕЛЬ - (тратта) выписывается кредитором (трассантом) и сдержит приказ дебитору (трассату) уплатить указанную в векселе сумму третьему лицу (ремитенту) или предприятию ( см. приложения №№ 3;4;5.). этот документ превращается в долговое обязательство после его акцепта трассантом. С помощью передаточной надписи (индосамента) вексель может использоваться неоднократно, выполняя функцию универсального кредитно-расчётного документа. Существенно ускоряя оборот средств учёта (дисконтирование) векселей в банках. В этом случае векселедержатель по средством индоссамента передаёт вексель банку до наступления срока платежа и получает вексельную сумму за вычетом учётного процента в пользу банка, называемого дисконтом. Учёт расчётов векселями у покупателей В настоящее время учёт расчётов с использованием векселей ведётся по упрощённой схеме на тех же счетах, на которых отражаются расчёты без использования векселей. Выделение расчётов с использованием векселей осуществляется в аналитическом учёте. Выданные векселя под приобретение товарно-материальных ценностей отражают по К60 «Расчёт с поставщиками и потребителями» (по старому и новому плану счетов). Или других подобных счетов. На этих счетах задолженность, обеспеченная векселем, числится до момента её получения. По мере погашения задолженности по векселям она списывается с Д60 с кредита счетов по учёту денежных средств (50;51;52-по старому и новому плану счетов). Векселя с просроченным сроком оплаты отражаются в аналитическом учёте отдельно. Учёт векселей у поставщика. Организации, получившие векселя от покупателей, учитывают полученные векселя на счёт 62 «расчёты с покупателями и заказчиками» (по старому и новому плану счетов), субсчёт 3 «Векселя полученные». Счёт 62 дебетуется на указанные в векселях суммы с кредитом счетов учёта реализации готовой продукции 46 (по новому плану счетов сч.90 «Продажи») или другого вида имущества ( сч. 47 и 48 –по новому плану счетов сч.91 «Прочие доходы и расходы»). Оплаченные векселя отражаются по Д-ту счетов учета денежных средств и К 62. Проценты по векселю обычно включают в его номинальную цену. Если %% по векселю оплачивают сверх номинальной суммы векселя, то величину начисленных %% отражают по К 80 «Прибыли и убытки» (по новому плану счетов сч.99 « Прибыли и убытки») и Д 62. До наступления срока оплаты по векселю организация-векселедержатель может получить в банках ссуды под вексель. При включении %% по векселю в его номинальную цену операция учета (дисконта) векселей и иных долговых обязательств отражается организацией-векселедержателем по номинальной стоимости векселей по К 90 «Краткосрочные кредиты банков» ( по новому плану счетов К 66 «Расчеты по краткосрочным кредитам и займам» ) или К 92 «Долгосрочные кредиты банков» (по новому плану счетов К 67 «Расчеты по долгосрочным кредитам и займам») и Д 50;51;52 в фактически полученных суммах, а также сч.80 (по новому плану счетов – сч.99) на сумму учетного %, уплаченного банку. При этом задолженность по расчетам с покупателями, обеспеченная векселями, продолжает учитываться по счетам дебиторской задолженности (сч.62 и др.). При невыполнении векселедателем или другим плательщиком долговых обязательств организация-векселедержатель обязана возвратить полученные в результате дисконтирования векселей денежные средства банку. Перечисленные средства списываются с К 50;51 в Д 90 или Д92. Просроченные обязательства по векселям остаются на счетах учета дебиторской задолженности. БМПГЭТС приобретало векселя в банке как объект финансовых вложений. В дальнейшем их можно погасить, реализовать до наступления сроков погашения, а также произвести векселем расчет за товары (работы, услуги). Рассмотрим эти операции. 1.Приобретение векселя. Учитывается как приобретение ценной бумаги (на сумму фактических затрат): Д 08 – К 76 Д 58 – К 08 Д 76 – К 51 2.Погашение векселя. Отражается проводками: Д 76 – К 48 на сумму векселя по номиналу (если вексель беспроцентный) Д 48 – К 58 списывается учетная стоимость векселя Д 48 (80) – К 80 (48) выявляется финансовый результат Д 51 – К 76. 3.Реализация векселя до наступления сроков погашения отражается в таком же порядке, как погашение векселя. 2.2. Документальное оформление поступления векселей. Приказом Минфина России от 15.01.97 г. №2 введен в действие Порядок отражения в бухгалтерском учете операций с ценными бумагами, который распространяется и на векселя (пункт 1). Пунктом 6 Порядка установлено, что все ценные бумаги, хранящиеся в организации, должны быть описаны в Книге учета ценных бумаг. В БМПГЭТС заведены Книга регистрации векселей и Книга движения векселей, которая сброшюрована, пронумерована, скреплена печатью организации и подписями руководителя и главного бухгалтера. В этой книге отражается приход и выбытие всех векселей (см. приложение №7). Кроме этого, на каждый вексель оформляется акт приема-передачи (см. приложения №№.1;2;5). Бухгалтерская служба организации очень ответственно относится к документальному оформлению движения векселей и к использованию их в качестве средства платежей. З А К Л Ю Ч ЕН И Е На вексельном рынке, как видно из средств массовой информации наметились чёткие тенденции к упорядочению. Так для банков [16] с 01.10.1997г. введен экономический норматив Н13, который ставит объём выпущенных в обращение векселей, а также выданных вексельных поручительств в прямую зависимость от величины собственного капитала банка (видимо стоит придерживаться подобной технике и предприятиям). Объём и качество учётных операций банка с векселями также регулируется со стороны ЦБ РФ. В зависимости от качества портфеля учтённых векселей банк обязан формировать резервы аналогично резервам на возможные потери по ссудам. Сверхприбыльности операций с векселями, которая наблюдалась год и два года назад теперь уже практически нет, что в свою очередь приводит равномерному развитию и установлению чётких связей на вторичном рынке. Фондовые фирмы стали объединятся в ассоциации, например - ассоциация участников вексельного рынка (АУВЕР), где принимаются единые стандарты раскрытия информации, выпуска, погашения и обращения векселей, обязательные для исполнения участниками. И всё это строится на чётком соблюдении закона. В рамках АУВЕР и подобных организаций будут созданы вексельные торговые площадки, благодаря чему повысится ликвидность обращающихся векселей, ускорятся торговые операции, снизится риск сделок, сократятся издержки для конечных участников. Это приведет к "прозрачности" вексельного рынка. Доступ на вексельный рынок несколько снизиться и уменьшится число подложных операций. Наверняка получит развитие система авалирования векселей предприятий банками, что разовьет факторинговые операции, при этом банки будут иметь дополнительный доход при тщательной проработке обеспеченности сделок или залоге материальных ценностей и имущества. На сегодняшний день основными вопросами вексельного рынка являются региональная замкнутость вексельных расчетов, технологическая не ликвидность документарных векселей, слабая регулируемость вексельного рынка со стороны государства, отсутствие информационной базы по надежности векселей и индоссантов. Подводя итог, назовем ряд причин, сдерживающих широкое распространение настоящих векселей: частое отсутствие должного доверия к деловым партнерам; неуверенность в возможности предельно быстрого удовлетворения своих интересов через процедуру судебного рассмотрения исков о погашении векселей (если партнеры оказались нечестными, либо неплатежеспособными); отсутствие ускоренной процедуры внеочередного судебного рассмотрения исков о погашении векселей; отсутствие широко описанных прецедентов регрессных требований по векселям в случае отказа векселедателей от платежа, что насторожило бы нечистых на руку; отсутствие у большинства банков опыта учетно-ссудных операций с векселями и невозможность в настоящее время их переучета в ЦБ РФ; опасения получить фальшивый вексель - известны подделки векселей Сбербанка, Ленэнерго и др. Следует отметить- векселя в России необходимы, поскольку активизация вексельного обращения приводит: во-первых, к ускорению расчетов и оборачиваемости оборотных средств; во-вторых, уменьшается потребность в банковском кредите, соответственно снижаются процентные ставки за его использование и в результате сокращается эмиссия денег. Оборот векселей в ближайшее время должен оставаться массовым. Есть надежда, что в дальнейшем вексельное обращение в России примет более цивилизованные формы, когда досконально будут исполняться законы (п.1.3.) и не будут эмитировать векселя вместо обычных товарных обязательств (п.2.3.), предприятия-должники будут самостоятельно выпускать векселя, получать под них вексельное поручительство банка и расплачиваться авалированным векселем со своими кредиторами. Список используемой литературы. Нормативные документы: 1.Постановление Правительства РФ от 26.09.94 г. №1094 «Об оформлении взаимной задолженности предприятий и организаций векселями единого образца и развитии вексельного обращения»; 2.Письмо Минфина РФ от 31.10.94 г. №142 ( с изменениями и дополнениями, внесенными письмом Минфина РФ от 16.07.96 г. №62 ) «О порядке отражения в бухгалтерском учете и отчетности операций с векселями, применяемыми при расчетах организациями за поставку товаров, выполненные работы и оказанные услуги»; 3.Закон РФ от 22.04.96 г. № 39-ФЗ «О рынке ценных бумаг»; 4.Гражданский кодекс РФ (часть 1 и 2); 5.Федеральный закон «О бухгалтерском учете» от 21.11.96 г. №129-ФЗ с изменениями и дополнениями, внесенными Федеральным законом от 23.07.98 г. №123-ФЗ; 6.Закон РФ от 11.03.97 г. №48-ФЗ «О переводном и простом векселе»; 7.Программа реформирования бухгалтерского учета в соответствии с международными стандартами финансовой отчетности», утвержденная Постановлением Правительства РФ от 06.03.98 г. №283; 8.Положение по ведению бухгалтерского учета и бухгалтерской отчетности в РФ, утвержденное приказом Минфина РФ от 29.07.98 г. №34 н; 9.Российские стандарты – ПБУ, утвержденные Минфином РФ . Учебная литература. 1.Кондраков Н.П. «Бухгалтерский учет»-учебное пособие.1999. 2.Лукасевич И.Я. «Анализ финансовых операций» - М:1998. 3.Палий В.Ф., Палий В.В. «Финансовый учет» - ч.1 учебное пособие:1998. Периодическая литература. 1.Джаарбеков С.М. «Бухгалтерский учет и налогообложение операций с простыми векселями»//Консультант,2000. 2.Маневич В.Е., Перламутров В.Л. «Вексельное обращение и вексельный кредит»//Финансы,1996, №3. 3.Мешкова Е. «Скромное «обаяние» векселя и управление рисками»//Экономика и жизнь»,1997,№ 45. 4.Митин Б.М. «Проблемы налогообложения вексельных операций с учетом части 2 НК РФ // Российский налоговый курьер,2000. 5.Митин Б.М. «Учет операций с векселями по новому плану счетов» // Российский налоговый курьер, 2001, №1. 1 Грицун Ю.Н. Проблемы дефицита денег и особенности вексельного кредитования. Финансы №12, 1997 г. 2 Мешкова Е. Скромное "обаяние" векселя и управление рисками. Экономика и жизнь №45, 1997 г. 3 Маневич В.Е., Перламутров В.Л. Вексельное обращение и вексельный кредит. Финансы №5, 1996 г. 4 Сименкова Е.В. Операции с ценными бумагами. М. 1997 г. 5 Мешкова Е. Скромное "обаяние" векселя и управления рисками. Экономика и жизнь. №45, 1997 г. 6 7 Лукасевич И.Я. Анализ финансовых операций. М. 1998 г.
овременная стоимость PV (ценные обязательства Р) при учете векселя по формуле:
. Использование векселей на примере Бежецкого муниципального предприятия городских электрических и тепловых сетей (БМПГЭТС)















