14375 (648409), страница 3
Текст из файла (страница 3)
Для этого в основу такого механизма должен быть заложен объективный экономический закон рыночных отношений «время = деньги». Сущность этого закона заключается в том, что получение больших доходов в рыночной экономике достигается не высокими ценами реализации продукции, работ и услуг, а, прежде всего, высокой скоростью оборачиваемости капитала.
В такой ситуации, отрасли с низкой скоростью оборачиваемости капитала находятся в заведомо худших условиях по сравнению с другими отраслями. Прежде всего, это касается сельскохозяйственного производства, где скорость оборачиваемости капитала ограничена природными факторами.
Доказательство этого закона выглядит следующим образом: скорость оборачиваемости оборотных средств определяется делением выручки от реализации продукции на среднегодовую сумму оборотных средств, а длительность одного оборота делением периода на коэффициент оборачиваемости:
где Коб - скорость оборачиваемости оборотных средств; В - выручка от реализации продукции, работ и услуг; Об.ср. - среднегодовая сумма оборотных средств; Д - длительность одного оборота оборотных средств.
Отсюда справедливо равенство:
Чем меньше длительность одного оборота оборотных средств и соответственно быстрее совершается кругооборот оборотных средств, а с ними и всего авансированного капитала, тем больше величина выручки в расчете на единицу задействованных в производственном процессе оборотных средств, и, соответственно, авансированного капитала. Сущность процесса кругооборота капитала состоит, в том, что каждый оборот способствует созданию дополнительной стоимости, которая выражается прибылью, что, доказывает равенство «время = деньги».
Поэтому, целесообразно с целью компенсации роста цен на потребляемые в сельскохозяйственном производстве ресурсы рассчитывать воспроизводственную себестоимость производимой продукции.
Для этого стоимость потребленных в процессе производства оборотных средств необходимо учитывать не по фактической цене их приобретения в течение производственного периода, а по цене, сложившейся на момент реализации готовой продукции. Это позволит сельскохозяйственным предприятиям приобретать необходимые производственные запасы для следующего производственного цикла без вовлечения дополнительных ресурсов в кругооборот.
Однако учет затрат материалов промышленного происхождения в себестоимости сельскохозяйственной продукции по ценам закупки на момент реализации произведенной продукции требует мониторинга за изменением цен на покупные материалы. Это ведет к значительным затратам труда и времени. К тому же цены на приобретаемые материалы у различных поставщиков могут отличаться.
Еще одним из вариантов является учет в себестоимости уровня инфляции в стране. Но все же целесообразней в уровень воспроизводственной себестоимости закладывать среднюю доходность по банковским депозитным вкладам.
Сельскохозяйственное производство в большей степени, чем другие отрасли подвержено риску не получения запланированного результата. В основном это касается отрасли растениеводства, где конечный результат зависит от погодных условий. Поэтому в воспроизводственную себестоимость наряду с уровнем доходности необходимо закладывать риск в виде определенной процентной ставки.
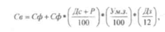
В основе расчета воспроизводственной себестоимости должны учитываться скорость оборачиваемости капитала, уровень риска, удельный вес материальных затрат в структуре себестоимости продукции и средний уровень доходности по банковским депозитным вкладам.
Отсюда формула определения воспроизводственной себестоимости будет иметь следующий вид:
где Св - воспроизводственная себестоимость продукции, грн./ц.; Сф - фактическая себестоимость продукции, грн./ц.; Дс - средняя банковская ставка по депозитным вкладам, %; Р - доплата за риск, %;
Ум.з. - удельный вес материальных затрат в структуре себестоимости продукции, %;
Дз - средняя длительность закрепления средств в кругообороте;
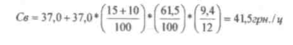
В качестве примера, рассчитаем воспроизводственную себестоимость озимой пшеницы в 2005 году. Средняя фактическая себестоимость 1 ц озимой пшеницы в сельскохозяйственных предприятиях Луганской области в 2005 году составила 37,0 грн./ц. средняя банковская ставка по депозитным вкладам составляла 15 % годовых, доплата за риск принята в размере 10 %, удельный вес материальных затрат в структуре себестоимости составил 61,5 %, средняя длительность закрепления средств в кругообороте при выращивании озимой пшеницы составляет 9,4 месяца. Имея такие данные, получили следующий результат:
Воспроизводственная себестоимость 1 ц озимой пшеницы в среднем по Луганской области в 2005 году составила 41,5 грн./ц., что на 4,5 грн. выше фактической себестоимости. В результате чего уровень рентабельности производства и реализации озимой пшеницы, при той же цене реализации составил -10,6 %, вместо фактических 0,4 %. Это свидетельствует о том, что цена реализации озимой пшеницы, которая сложилась в 2005 году, не способствует даже простому воспроизводству авансированных ресурсов.
Расчет воспроизводственной себестоимости еще не гарантирует простого воспроизводства, поскольку главным элементом воспроизводственного механизма ресурсов являются цены на сельскохозяйственную продукцию. Поэтому вторым этапом должно стать формирование условий для осуществления расширенного воспроизводства авансированных в производство ресурсов, в том числе и оборотных средств.
Эффективность продвижения сельскохозяйственной продукции от производителей к потребителям и наполнение соответствующих продовольственных рынков в значительной мере зависит от сбалансированного развития всех звеньев интегрированного производства, обеспечение рационального соотношения между ценами и доходами партнеров производственного процесса.
Несовершенство экономических отношений между субъектами продуктовых подкомплексов (масложирового, свеклосахарного, молоко- и мясопродуктового) негативно сказывается прежде всего на интересах сельскохозяйственных товаропроизводителей, так как они полностью отстранены от формирования цен на производимую продукцию.
В то время, когда сельское хозяйство в целом и все основные виды продукции остаются убыточными, большинство предприятий пищевой и перерабатывающих отраслей промышленности, производя разнообразную продукцию, имеют возможность ценами возмещать собственные затраты, вести производство рентабельно и получать достаточные доходы.
В сложившейся ситуации повышение цен на продукты питания -объективное явление, когда большая часть сельскохозяйственных предприятий являются убыточными. Снижение цен до определенного уровня может осуществляться лишь при условии роста производства продукции растениеводства и животноводства, увеличения предложения до определенного уровня платежеспособного спроса населения.
Многие ученые-аграрии Украины сходятся во мнении, что на протяжении всего периода развития аграрного производства Украины и проведения аграрной реформы так и не были созданы благоприятные условия для осуществления нормального воспроизводственного процесса экономических ресурсов в сельском хозяйстве.
Незавершенность начатых преобразований в аграрном секторе экономики породили ситуацию, когда в сельском хозяйстве не соблюдается главный экономический закон, являющийся движущей силой роста экономики - закон стоимости, который предусматривает возмещение ценой общественных затрат и получение прибыли. В сельском хозяйстве этот закон не действует на протяжении долгого периода времени. Следствием этого является отсутствие в сельскохозяйственном производстве не только расширенного, а и простого воспроизводства авансированных в производство ресурсов.
На спад сельскохозяйственного производства, снижение его интенсивности значительно повлияло нарушение интеграционных межотраслевых связей, при которых вновьсозданные в процессе приватизации организационно-правовые структуры в перерабатывающей отрасли, занимая монопольное положение, пытаются обеспечить результативность своей деятельности за счет сельскохозяйственных товаропроизводителей, устанавливая в одностороннем порядке заниженные цены на сырье.
В этой связи создание крупных агропромышленных формирований, путем сосредоточением капитала и агропромышленного производства в одних центрах (одних руках), которым ознаменовался третий этап реструктуризации аграрных предприятий, должно было стать решающим в формировании реальных условий для расширенного воспроизводства ресурсов в сельском хозяйстве.
Однако, при существующей системе распределения доходов между тремя сферами (сельскохозяйственное производство, переработка и торговля) сельскохозяйственные товаропроизводители всегда остаются в проигрыше.
Таким образом, отсутствие четкого рыночного механизма экономической автономии сельского хозяйства придает процессу капитализации однобокую направленность, главной целью которой является не выведение аграрного сектора из затяжного кризиса, а дальнейшее обогащение других отраслей за счет сельского хозяйства.
Одним из примеров таких агропромышленных формирований, созданных в Луганской области является ЗАО «Агротон», в состав которого наряду с сельскохозяйственным производством входят сыродельный завод, мельница, макаронный цех, хлебопекарня, маслобойня, цех по производству майонезов, а также имеется собственная торговая сеть.
Следует отметить (табл. 1), что использование современной техники и технологий выращивания сельскохозяйственных культур и животных, которые применяются в агропромышленных формированиях, способствует снижению такого показателя как себестоимость продукции. Так, в ЗАО «Агротон», типичном представителе агропромышленных формирований в Луганской области практически по всем видам продукции себестоимость производства Ниже средних показателей по Луганской области. Однако, и цены реализации, по которым продукция передается перерабатывающим предприятиям, входящим в объединение, также ниже среднеобластных показателей.
Таблица 1
Себестоимость, цены реализации и уровень рентабельности сельскохозяйственной продукции в 2005 году
Достаточно проанализировать структуру прибыли ЗАО «Агротон» полученную в 2005 году (рис.11), из которой видно, что львиная доля прибыли, полученная акционерным обществом, сформировалась на перерабатывающих предприятиях. В отрасли растениеводсгва получено около четверти всей прибыли, а отрасль животноводства и вовсе является убыточной.
Рис.11 Структура прибыли в ЗАО «Агротон» в 2005 году,%
То есть, формирование прибылей в отрасли переработки сельскохозяйственного сырья достигается за счет заниженных цен на сельскохозяйственную продукцию.
Поэтому необходимо создать такие условия хозяйствования, при которых сельскохозяйственный товаропроизводитель сможет вступать в такие объединения на равных условиях и претендовать на справедливое распределение общей прибыли агропромышленных формирований. Прибыль, получаемая сельскохозяйственными производителями должна обеспечивать не только простое, а и расширенное воспроизводство авансированных в производственный процесс ресурсов.
Для создания таких условий должен быть на уровне государства формирован экономический «механизм межотраслевых отношений, который °ы заставил перерабатывающие и сервисные предприятия «поделиться» частью прибыли с аграрными предприятиями. А этого можно достигнуть, если данные структуры будут заинтересованы в интеграции и кооперации своих ресурсов с аграрным сектором и установлении эквивалентных межотраслевых отношений».
Существующий механизм межотраслевых отношений и ценообразования на продукцию сельского хозяйства, который сейчас действует в агропромышленном производстве, лишь только усугубляет и без того тяжелое состояние сельскохозяйственных товаропроизводителей и не обеспечивает не только расширенного, а и простого воспроизводства, вложенных ресурсов.
Поэтому приоритетным моментом в осуществлении дальнейшего развития аграрного производства в Украине должна стать объективная необходимость обеспечения эквивалентного обмена в сфере межотраслевых отношений, который бы способствовал укреплению материально-технической базы сельского хозяйства, реанимации социальной инфраструктуры и улучшению жизни на селе.















