5266 (643581), страница 2
Текст из файла (страница 2)
R– газова стала.
Самоприскорені перетворення при горінні можуть відбуватися за ТЕПЛОВИМ та ЛАНЦЮГОВИМ механізмами.
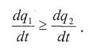
Суть теплового механізму полягає в зростанні W зі збільшенням Т, а збільшення Т, в свою чергу, зумовлене екзотермічністю реакції окиснення-відновлення. Згідно з теорією «теплового вибуху», розігрів у горючій суміші при її послідовному нагріванні зовні зумовлюється співвідношенням швидкостей процесів тепловиділення
та тепловідведення з зони реакції
і виникає при досягненні умови:
(2.4)
Оскільки
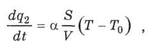
змінюється згідно з рівнянням (2.3) за температурою експоненціально (де Q – тепловий ефект реакції; W – швидкість реакції), а
змінюється з температурою лінійно, то зі зростанням температури інтенсивність тепловиділення починає випереджати інтенсивність тепловідведення.
У виразі (2.5):
α – коефіцієнт тепловіддачі в стінки реакційної посудини;
S – поверхня посудини;
V – об’єм посудини;
Т, Т0 – температури поточна та початкова.
Таким чином, при безперервному нагріванні горючої суміші обов’язково повинна досягатися умова, що визначена нерівністю (2.4). Найнижча температура, за якої досягається ця умова, є температурою самозаймання. Прискорення реакції може досягатися не тільки через підвищення температури при саморозігріванні протягом екзотермічної реакції, але й в результаті особливого характеру хімічних перетворень при горінні – ЛАНЦЮГОВИХ РЕАКЦІЙ. Носіями таких реакцій є особливо активні частинки: радикали та атоми, які мають вільні валентні зв’язки. Коли ці частинки зштовхуються з вихідними молекулами або продуктами перетворювання, взаємодія між ними має місце при значно менших значеннях енергії активації, ніж при молекулярних процесах. В особливого роду ланцюгових реакціях, що називаються РОЗГАЛУЖЕНИМИ, швидкість реакції бурхливо зростає за рахунок того, що внаслідок взаємодії активного центра з молекулою утворюється декілька активних центрів. Від додатково створених активних частинок виникають власні ланцюги перетворень, які призводять до ще більшого накопичення активних центрів та лавиноподібного зростання швидкості сумарного процесу. У той же час в деяких реакціях активні частинки можуть взаємодіяти з іншими частинками таким чином, що активні центри взагалі не будуть утворюватися, що призведе до розірвання ланцюгової реакції. Кінцевий результат залежить від співвідношення швидкостей реакцій розгалуження та розірвання ланцюгів.
Характерним прикладом розгалуженої ланцюгової реакції є окиснення водню, що проходить за такою схемою:
З наведеної схеми видно, що протягом одного циклу перетворень кожний атом водню, що вступає в реакцію, призводить до утворення трьох нових активних частинок, позначених точками над відповідними хімічними символами. Якщо розгалуження проходить частіше, ніж обривання ланцюга, то швидкість реакції буде безперервно зростати, що призведе кінець кінцем до самозаймання. При цьому в даному випадку для прискорення реакції не потрібно нагрівати суміш. Екзотермічний хімічний процес, що розпочався ланцюговим шляхом, супроводжується виділенням тепла, яке призводить до теплового самоприскорення.
Слід відзначити, що в умовах реальної пожежі горіння проходить за комбінованим ланцюгово-тепловим механізмом.
Надзвичайно швидке хімічне перетворення речовини, що супроводжується виділенням енергії та утворюванням стиснених газів, здатних виконувати механічну роботу, називається ВИБУХОМ. Під час вибуху відбувається процес вивільнення великої кількості енергії в обмеженому об’ємі за короткий проміжок часу.
Вибухонебезпечна (або вибухова) суміш, яка заповнює об’єм, в якому була виділена енергія, перетворюється в сильно нагрітий газ з високим тиском. Цей газ з великою силою діє на навколишнє середовище, здійснює утворювання вибухової хвилі. З віддаленням від місця вибуху механічна дія вибухової хвилі послаблюється.
Реальні вибухи газопилоповітряних сумішей мають здебільшого дефлаграційний характер. Як приклад розглянемо процес розвитку вибуху стехіометричної вуглеводнеповітряної суміші в обмеженому просторі. Стехіометричний склад суміші зумовлює розвиток рівномірно поширюваного на всі боки сферичного полум’я. Припустимо, що після займання в центрі хмари цієї суміші полум’я поширюється з постійною швидкістю відповідно до формули (2.1). При цьому буде розвиватися надлишковий тиск, швидкість збільшення якого буде визначатися швидкістю накопичення продуктів горіння, тобто швидкістю розширення сфери, обмежованої фронтом полум’я:
(2.6)
де q – об’єм продуктів горіння, м3;
V – об’єм об’єкта, м3.
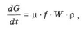
(2.7)
Разом з накопиченням продуктів горіння проходить витікання газів з об’єкта через нещільності та отвори. Витрата газу при цьому визначається за формулою
де µ – коефіцієнт витрати;
f – сумарна площа нещільностей, м2;
W – швидкість витікання газів, м·с-1;
ρ – густина газів, що витікають, кг·м-3.
Підсумований тиск вибуху в кожний момент часу можна визначити спільним розв’язанням обох рівнянь.
Види горіння. Зони й класи пожеж
Залежно від агрегатного стану пального та окисника розрізняють три види горіння:
ГОМОГЕННЕ ГОРІННЯ газів і пароподібних горючих речовин в середовищі газоподібного окисника;
ГЕТЕРОГЕННЕ ГОРІННЯ твердих горючих речовин в середовищі газоподібного окисника;
ГОРІННЯ ВИБУХОВИХ РЕЧОВИН ТА ПОРОХІВ.
Горіння рідких горючих речовин в рідких окисниках є різновидом гетерогенного горіння.
За швидкістю поширення полум’я горіння поділяється на:
ДЕФЛАГРАЦІЙНЕ – швидкість полум’я в межах декількох м·с-1;
ВИБУХОВЕ – швидкість полум’я до сотень м·с-1;
ДЕТОНАЦІЙНЕ – поширюється із надзвуковими швидкостями порядку тисяч м·с-1.
Дозвукове горіння поділяється на ламінарне та турбулентне.
ЛАМІНАРНЕ горіння характеризується пошаровим поширенням фронту полум’я по свіжій горючій суміші, ТУРБУЛЕНТНЕ – змішуванням шарів потоку.
Як нам уже відомо, в процесі горіння утворюються продукти горіння. Крім диму, до них належать:
САЖА – тонкодисперсний аморфний вуглецевий залишок, що утворюється під час неповного згоряння;
ЗОЛА – неорганічні залишки після повного згоряння;
ШЛАК (ЖУЖІЛЬ) – твердий агломерат залишків часткового або повного плавлення матеріалу як результат його повного або неповного згоряння.
Залежно від видів горіння визначаються й типи пожеж (табл. 2.1).
Таблиця 2.1 Типи та умови пожежі
| Найменування | Температура, що спостерігається, °С |
| Тління Окиснюючий безполуменевий терморозклад Безполуменевий піроліз Полуменеве горіння, що розвивається Полуменеве горіння, що повністю розвинулось при низькій швидкості газообміну Розвинене полуменеве горіння при високій швидкості газообміну | 100 і більше до 500 1000 400–600 600–1000 600–1000 |
Етапи розвитку пожежі розглянемо на прикладах пожежі у звичайному приміщенні:
I етап пожежі – перетворення загоряння в пожежу, тривалість – 1–3 хв.
II етап пожежі – зростання зони горіння – 5–6 хв.
-
етап пожежі – бурхливий процес горіння, температура всередині приміщення досягає 250–300 °С, починається об’ємний розвиток пожежі, коли полум’я заповнює весь об’єм приміщення і поширення полум’я проходить вже не по поверхні, а дистанційно – через розриви. Руйнування засклення. Тривалість – 6–9 хв.
-
етап – як результат руйнування засклення, приплив свіжого повітря різко сприяє розвитку пожежі. Температура всередині приміщення підвищується з 500–600 °С до 800–900 °С. Швидкість вигоряння максимальна. Тривалість – 9–12 хв.
Рис. 2.4. Зони пожежі
V етап – стабілізація пожежі на 20–25 хв від початку горіння.
VI етап – зниження інтенсивності горіння.
Протягом перших двох етапів проходить лінійне поширення вогню. Тому дуже важливо в цей час викликати пожежні підрозділи та вжити заходів щодо гасіння пожежі до початку етапу її бурхливого зростання.
Активна ділянка пожежі включає в себе чотири зони (рис. 2.5).
ЗОНА ГОРІННЯ – частина простору, в якій безпосередньо відбувається горіння. Вона може обмежуватися огороджувальними конструкціями будівель, споруд, приміщень, стінками технологічного устаткування.
ЗОНА ТЕПЛОВОГО ВПЛИВУ – прилеглий до зони горіння простір, в якому проходить тепловий обмін між зоною горіння та навколишнім середовищем, конструкціями та матеріалами. Межі даної зони визначаються гранично допустимими значеннями теплових потоків і температур для людини, конструкцій та горючих матеріалів. Теплопередача в навколишнє середовище здійснюється способами конвекції, теплового випромінювання та теплопровідністю.
ЗОНА ЗАДИМЛЕННЯ – простір, суміжний з зоною горіння, в якому можливе розповсюдження продуктів горіння.
ЗОНА ТОКСИЧНОСТІ – об’єм простору, заповнений димовими газами, що вміщують токсичні продукти горіння в концентраціях, небезпечних для життя та здоров’я людей.
Під час пожежі зони знаходяться в стані постійного динамічного переміщення та перекривають одна одну.
Залежно від агрегатного стану й особливостей горіння різних горючих речовин і матеріалів, пожежі поділяються за ГОСТ 27331-87 на відповідні класи та підкласи, що наведені на рис. 2.6 (див. с. 30).
Горіння твердих речовин та матеріалів
Спочатку розглянемо явища, що спричиняють пожежі з горінням твердих речовин. До них належать: полум’я, теплове випромінювання, розжарені матеріали.
Коли тверда речовина піддається впливу полум’я, його температура підвищується, що може викликати пожежу. Ймовірність виникнення пожежі залежить від таких факторів:
характеру твердої речовини, яка може бути горючою або негорючою;
маси твердої речовини – зрозуміло, що невелика кількість матеріалуне здатна виділити достатню кількість теплоти згоряння для розповсюдження пожежі;
стану твердої речовини – легко запалити за допомогою сірника деревну стружку або окремі листки паперу, оскільки у цих матеріалів більша площа поверхні, відкритої для доступу повітря, і, отже, висока швидкість окиснення, тоді як для займання колоди або щільної пачки паперу треба потужніше джерело запалювання;
спосіб, за допомогою якого запалюється тверда горюча речовина; якщо предмет з цієї речовини знаходиться над вогнем вертикально, він загориться швидше, ніж при горизонтальному розташуванні.
Рис. 2.6. Класи пожеж за ГОСТ 27331-87















