182230 (632253), страница 6
Текст из файла (страница 6)
• Отраслевые (слабое экономическое положение и низкая инвестиционная привлекательность отрасли, давление импорта)
• Рыночные (колебания платежеспособного спроса на продукты и услуги фирмы, влияние конкурентной среды, неустойчивость рынка поставщиков сырья, энергоресурсов, комплектующих, процентные ставки по кредитам, депозитные ставки банков, дефицит рабочей силы)
• Форс-мажор (непредвиденные ситуации, стихийные бедствия, ЧП)
Внутренние источники рисков (внутри фирмы)
• Организационные (недостаточный опыт работы и низкая квалификация менеджеров, слабость системы управления, негибкая организационная структура, частая смена руководителей)
• Технологические (низкое качество технологических решений, физический и моральный износ основных фондов, низкая технологическая дисциплина)
• Проектные (низкое качество проработки проекта, несогласованность проекта с окружением, вынужденные отклонения от проекта, как по срокам, так и по объемам финансирования)
• Маркетинговые (узкий ассортимент выпускаемой продукции, снижение качества продукции, фирма производит конечный или промежуточный продукт, неадекватность оценки платежеспособного спроса, ценовая политика, неадекватность оценки возможностей конкурентов, отсутствие альтернативных поставщиков)
• Финансовые (недостаточность собственных финансовых ресурсов для инвестиций, недостаточный контроль и управление финансами, дефицит необходимых оборотных средств, слабое управление дебиторской и кредиторской задолженностью)
• Юридические (отсутствие правового сопровождения бизнеса, действия менеджеров за пределами правового поля, низкая надежность контрактов с поставщиками и потребителями)
• Персонал (низкая квалификация и мотивация персонала, низкая трудовая дисциплина и приверженность персонала, не укомплектованность штата, высокая текучесть кадров).
Источники риска, рисковые события, риск-параметры проекта.
Источники рисков существуют практически всегда и могут порождать или не порождать соответствующие рисковые события.
Влияние рискового события рассматривается как своеобразное воздействие на экономическую систему (фирму, реализующую ИП), которое порождает реакцию, представленную той или иной выбранной целевой функцией. Здесь SQ – это исходное состояние (статус-кво) ИП до воздействия рисковых событий. Коррекция проекта производится в случае, если необходимо снизить отклонение целевой функции (ослабить влияние риска) при заданном отклонении риск-параметра. Это возможно если проект имеет определенные степени свободы.
Риск-параметры включают в себя:
-
Цены
-
Объем продаж
-
Условно-постоянные затраты
-
Условно-переменные затраты
-
Темп инфляции
-
Ставки налогов
Мероприятия по минимизации влияния рисковых событий на инвестиционный проект.
Для минимизации влияния рисковых событий могут быть предложены мероприятия:
-
Изменение схемы погашения кредитов, т.е. желательно распределение резерва финансовых средств по периодам, его увеличение в периоды наиболее сильного (возможного) влияния рисков. В данном случае риск будет минимизирован, однако процентов по кредиту придётся заплатить больше, т.е. прибыльность проекта в данный период снизится.
-
Союзы с сильными партнерами и инвесторами. Оптимизация договорных отношений.
-
Поиск новых технологий управления/ведения бизнеса и снижение себестоимости услуг.
-
Инвестиции в развитие.
13. Факторы, влияющие на принятие решения банком о кредитовании инвестиционного проекта. Оценка риска кредиторов
Факторы, влияющие на принятие решения банком о кредитовании инвестиционного проекта.
-
Платёжеспособность и финансовое состояние заёмщика (расчёт коэффициентов ликвидности, коэффициентов обеспеченности собственными средствами, показателей финансовой устойчивости клиента, а также коэффициентов оборачиваемости и рентабельности).
-
Кредитная история заёмщика.
-
Качественные факторы (деловая репутация потенциального заемщика (честность, порядочность, квалификация руководства, опыт работы в соответствующей отрасли, текучесть кадров) и экономическое окружение кредитополучателя (основные деловые партнеры, конкурентоспособность продукции, устойчивость рынков сбыта и т.д.).
Оценка риска кредиторов.
Если при реализации проекта используются заемные средства в форме кредитов, то для кредиторов важны гарантии возврата заемных средств, в соответствии с рассчитанной кредитной линией, на основе которой составляется кредитное соглашение (договор). Воспользуемся показателями, которые наиболее часто используются в практике кредитования инвестиционных проектов для оценки финансовой устойчивости (платежеспособности) компании. Все эти показатели являются динамическими, т.е. функциями времени или номера периода планирования и генерируются финансовой моделью в процессе разработки финансового прогноза.
При оценке финансовой устойчивости (платежеспособности) обязательными для расчета являются следующие показатели:
• коэффициент покрытия погашения ссуды и процентов
• коэффициент покрытия погашения процентов
• коэффициент текущей задолженности.
По этим показателям кредитор может судить о риске невыполнения кредитного соглашения (первый и второй показатели) и риске не возврата долга при банкротстве компании (третий показатель).
Коэффициент покрытия погашения ссуды и процентов (коэффициент покрытия долгосрочных обязательств)
Коэффициент показывает, насколько предприятие способно осуществлять в текущем периоде запланированные платежи по кредитам (погашение ссуды и уплата процентов) в соответствии с кредитным договором.
Данный показатель рассчитывается по формуле:
где: КППСиПt – коэффициент покрытия погашения ссуды и процентов в t-м периоде; НСt – накопленное сальдо финансовых потоков на начало периода t ; ЧПt – чистая прибыль в t-м периоде после уплаты процентов; Пt – процентные платежи в t-м периоде; Аt – амортизационные отчисления в t-м периоде; ПЗСt – получение заемных средств в t-м периоде; ВУКt – вложения в уставный капитал в t-м периоде; Иt – инвестиции, осуществленные в t-м периоде; ПДt –погашаемая часть долга в t-м периоде.
Если значение этого показателя меньше либо равно 1, средств для полного обслуживания задолженности не хватает. При значениях от 1 до 1,5 можно говорить о существовании зоны риска по выполнению кредитного соглашения. Если данный коэффициент больше 1,5, можно говорить о практическом отсутствии риска по исполнению кредитного договора.
В случае если по результатам расчетов в отдельные периоды наблюдается невыполнение указанных выше условий, то для повышения КППСиПt следует "растянуть" график погашения долга, т.е в проблемных периодах снизить величину возвращаемых заемных средств ПДt. Снижая, таким образом, риск по исполнению кредитного договора, мы увеличиваем срок кредитования, что ведет к росту процентных выплат банку. Это неизбежная плата за снижение данного вида риска.
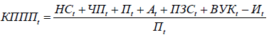
Коэффициент покрытия погашения процентов
Этот показатель отличается от предыдущего только знаменателем, в котором указаны лишь проценты по кредиту.
Данный показатель рассчитывается по формуле:
Этот коэффициент показывает, насколько фирма способна погасить проценты в соответствии с кредитным соглашением. В случае если КПППt < 1, собственных средств для уплаты процентов не хватает и погашение взятых обязательств возможно лишь за счет привлечения в данном периоде новых кредитов. При значениях 1< КПППt < 1.5 можно говорить о существовании зоны риска по выполнению кредитного соглашения. В случае если значение данного показателя больше 1,5, можно говорить о практическом отсутствии риска неуплаты процентов.
Заметим, что КПППt ≥ КППСиПt, ۷t, т.к. числители у обоих коэффициентов одинаковы, знаменатель КППСиПt больше, чем знаменатель КПППt. Если анализ КППСиПt говорит об отсутствии риска, то необходимость анализировать КПППt отпадает. При наличии зоны риска по суммарным обязательствам, полезно знать, существует ли риск неуплаты процентов.
Коэффициент текущей задолженности
Для каждого периода планирования КТЗt есть отношение остатка непогашенных ссуд (кредитов) ОНСt к стоимости собственных основных фондов СОФt с учетом их ликвидности, плюс ЧПt – чистая прибыль в t-м периоде после уплаты процентов, плюс Пt – проценты по кредитам уплачиваемые в текущем периоде, плюс накопленное сальдо финансовых потоков НСt проекта к началу данного периода t:
Если данный коэффициент меньше единицы во всех периодах горизонта планирования, то это означает, что для кредитора отсутствует риск понести убытки от фирмы, реализующей инвестиционный проект, т.к. даже в случае банкротства, кредитор вернет вложенные средства после продажи имущества фирмы. По европейским нормам этот показатель не должен превышать 0,75. В случае невыполнения данного условия следует изменить структуру финансовых источников в соответствующем периоде за счет увеличения собственных вложений в уставный капитал и снижения размеров кредитов.
14. Оценка чувствительности (устойчивости) инвестиционного проекта к отклонениям параметров. Свойства функций чувствительности. Глобальная и локальная функция чувствительности
Оценка чувствительности (устойчивости) инвестиционного проекта к отклонениям параметров. Свойства функций чувствительности.
Обозначим целевую функцию системы через Y(t,x), где t – время, а x – вектор варьируемых параметров.
Относительная чувствительность целевой функции есть отношение относительного отклонения функции к относительному отклонению варьируемого параметра, т.е.
В формулах опущено "t", т.е. относительные чувствительности являются функциями времени и должны рассчитываться в пределах всего горизонта планирования.
Численно, функция чувствительности показывает: на сколько процентов изменится целевая функция при изменении риск-параметра на один процент.
Если функция чувствительности положительна, то это означает, что увеличение (уменьшение) риск-параметра ведет к увеличению (уменьшению) целевой функции. Если функция чувствительности отрицательна, то это означает, что увеличение (уменьшение) риск-параметра ведет к уменьшению (увеличению) целевой функции.
Чем больше чувствительность, тем сильнее оказывает влияние соответствующий риск-параметр на целевую функцию ИП. В экономической теории имеется понятие аналогичное чувствительности, а именно: эластичность (спроса и пр.), которое вычисляется по формуле подобной (9.6). Эластичность, как показатель, характеризует внешнюю среду бизнеса и обычно не рассматривается как функция времени, а является статическим параметром. Мы будем придерживаться термина "чувствительность" во-первых, потому, что она характеризует внутреннюю среду бизнеса, а во-вторых, чтобы не путать известный контекст использования термина "эластичность" с динамическим анализом влияния рисков на инвестиционный проект.
В качестве целевой функции можно выбирать различные показатели ИП. Таковыми, например, могут быть:
• NPV(T) – чистая текущая стоимость проекта к моменту Т
• Накопленный чистый дисконтированный денежный поток ADNCF(T), генерируемый проектом к моменту Т
• Накопленный чистый денежный поток ANCF(T), генерируемый проектом к моменту Т (без учета дисконтирования)
• Накопленная чистая прибыль ANP(T), генерируемая проектом к моменту Т
• Накопленное сальдо финансовых потоков (состояние расчетного счета проекта) ASCF(T) к моменту Т и др.
Сравнение чувствительностей накопленного чистого денежного потока и его дисконтированного аналога показало, что они почти совпадают, т.к. различия составляли лишь доли процента. Это не удивительно, т.к. при расчете функции чувствительности дисконтированию подвергаются как числитель (ΔY), так и знаменатель (Y), что практически приводит к компенсации процедуры дисконтирования.















