172132 (631943), страница 8
Текст из файла (страница 8)
46. Спрос и предложение на рынке труда.
Факторы влияющие на спрос рабочей силы:
Ценовой фактор или зарплата.
Неценовой фактор:
- производительность труда работника.
- личностные качества.
- способность генерировать новые идеи или способность к творчеству.
Факторы влияющие на предложение рабочей силы:
Ценовой фактор или зарплата.
Неценовой фактор:
- состав семьи
- уровень квалификации и образования работника.
- престиж профессии.
- социальные ценности и общественные установки в обществе.
- местоположение работы, возможность профессионального роста.
До т. а на работника рост зарплаты действует как стимул продажи большего кол-ва труда – это называется эффектом замещения, т. е. работник предпочитает заменять свободное время рабочим временем, ради увеличения дохода.
После т. а проявляется эффект дохода, т. е. свободное время предпочитается рабочему, или потребление благ и восстановление рабочей силы – способу получения дохода, т. е. работе.
47. Земля, как фактор производства. Землевладение и землепользование. Рента и арендная плата.
Земля – это не только поверхность земли, но и её недра (топливо, сырьё, материалы, энергия и т. д. )
Различают:
- землевладение
- землепользование
Оба эти состояния приносят участникам экономических отношений в сельском хозяйстве определённую форму дохода.
В зависимости от урожайности и места положения к рынкам сбыта и источникам сырья, земельные участки разделяют на худшие, средние и лучшие.
Дифференциальная рента 1 – это сверхприбыль, получаемая от участка земли с естественным плодородием.
Дифференциальную ренту 1 присваивают собственники, включая её в размер арендной платы, а арендатор получает нормальную или нулевую экономическую прибыль.
Дифференциальная рента2 – это доход получаемый с любого участка земли, в который был вложен дополнительный капитал для искусственного или экономического плодородия.
Т. к. вложение капитала осуществляется арендатором, то для окончания срока аренды дифференциальной рентой2 он её присваивает, а по истечению арендного срока собственник земли включает её в арендную плату, а он превратится в дифференциальную ренту1.
Таким обозом, условием образования ренты является её ограниченность, альтернативность применения и монопольное право распоряжения.
А причина образования дифференциальной ренты является естественное и экономическое плодородие земли. Возможность образования формирования цен на сельскохозяйственную продукцию на худших участках земли.
48. Спрос и предложение земли. Цена земли.
Спрос на землю достаточно эластичен, носит производный характер, находится под воздействием ценовых и неценовых факторов.
К неценовым факторам влияющим на спрос земли относят:
- качество земли
- спрос на конечную продукцию от использования земли как фактора.
Если спрос на землю эластичен, то предложение земли стремится к жесткому предложению (т. е. слабая реакция на изменение цены).
Жесткое предложение земли вызвано следующим:
- земля ограничена
- земля абсолютно не мобильна
- земля занята в экономическом обороте
- у земли есть собственник или пользователь, без разрешения которого не возможно приложить капитал к земле.
- до окончания арендного срока, даже собственник не имеет права на куплю – продажу земли.
49. Оптимальный выбор фирмы на ресурсном рынке. Закон убывающей отдачи.
Оптимальным выбором считается выбор такой комбинации KL которая соответствует точке касания самой высокой изокванты и самой низкой изокосты (т. а).
В т. а предельная норма технологического замещения (MRTS) равно такому отношению капитала к труду и обратному отношению труда к капиталу.
Условие оптимального выбора означает, что последние замыкающие единицы труда и капитала в расчёте на 1 затраченный рубль приносят одинаковый предельный доход.
MRPк (предел. доход) = MPк (предел. капитал) x Px
МСк(предел. издержки) = Рк (цена)
Закон убывающей отдачи утверждает, что начиная с определённого момента, последовательное присоединение единиц переменного ресурса (например, труда) к неизменному, фиксированному ресурсу (например, капиталу или земле) даёт уменьшающийся добавочный, или предельный, продукт в расчёте на каждую последующую единицу переменного ресурса.
Иначе говоря, если количество рабочих, обслуживающих данное машинное оборудование, будет увеличиваться, то рост объёма производства будет происходить всё медленнее, по мере того, как больше рабочих будет привлекаться к производству.
50. Физический капитал. Основной и оборотный капитал. Амортизация.
Физический капитал – это всё движимое и не движимое имущество, всё, от чего можно получить прибыль.
Основной капитал – это стоимость имущества переносимое по частям на стоимость готовой продукции и возвращающаяся по частям в выручке от реализации этой продукции.
Возмещение основного капитала происходит по мере износа:
Физический износ, т. е. потеря первоначальной стоимости в результате его эксплуатации, т. е. физических, технических и др. процессов.
Моральный износ, т. е. потеря первоначальной стоимости в результате:
- роста производительности труда в отраслях производящих точно такое же оборудование, здание и т. д.
- появления на рынке более производительного, качественного оборудования (НТП)
Амортизация – это процесс переноса стоимости основного капитала на готовую продукцию.
Амортизационные отчисления – это доли поступающие в стоимости готовой продукции в составе её издержек.
Амортизационный фонд – это сумма амортизационных отчислений накупленная в процессе эксплуатации основного капитала.
Оборотный капитал – это деньги вложенные в сырьё, материалы, топливо, энергию, входящую в структуру затрат на производство и возвращающиеся (полностью) в выручке от реализации продукции.
Все экономические формулы за курс Микроэкономики.
1. Эффективность = Результат производства (стоимость продукции) / (Т+К+З+П. С. )
2. Ценовая эластичность спроса.
Коэффициент эластичности спроса по цене.
эластичность спроса по доходам.
3. Перекрёстно ценовая эластичность.
4. Предельная полезность.
5. Предельная норма замещения товара А к товару В.
6. Правила оптимального выбора потребителя.
7. Прибыль.
Бухгалтерская прибыль = Общий Доход (ТR) – Внешние издержки.
Экономическая прибыль = Бухгалтерская прибыль – Внешние издержки.
8. Издержки и доход.
TC = FC + VC = ATC x Q общие затраты.
ATC = TC / Q средние общие издержки.
AFC = FC / Q средние постоянные издержки
AVC = VC / Q средние предельные издержки.
MC = TC / Q предельные издержки
TR = P x Q = AR x Q общий доход.
AR = TR / Q средний доход.
MR = TR / Q предельный доход.
MC = MR - условие выбора объёма обеспечивающего получение max прибыли.
P = ATC - условие объёма обеспечивающего безубыточность.
П = TR – TC прибыль.
П = (AR – AC) x Q прибыль.
9. Предельная норма технологического замещения.
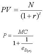
10. Условие монопольного ценообразования.
11. Настоящая (дисконтированная) стоимость.
12. Цена земли.
Цена земли = Рента (Арендная плата) / Норма банковского процента х 100%
13. Минимизация затрат.
14. Максимизация прибыли.
MRPк = MPк х Px
MCк = Pк














