183929 (629975), страница 2
Текст из файла (страница 2)
Таблица 1 Пример действия эффекта мультипликатора-акселератора
| Период | Сt = MPC yt-1 | It a | Itин = b(yt – yt-1) | yt = Ct + It a+ Itин |
| 0 | 72 | 48 | 0 | 120 |
| 1 | 72 | 60 | 0 | 132 |
| 2 | 79,2 | 60 | 8,4 | 147,6 |
| 3 | 88,6 | 60 | 10,9 | 159,5 |
| 4 | 95,7 | 60 | 8,3 | 164 |
| 5 | 98,4 | 60 | 3,2 | 161,6 |
| 6 | 97 | 60 | -1,7 | 155,3 |
| 7 | 93,2 | 60 | -4,4 | 148,8 |
| 8 | 89,3 | 60 | -4,6 | 144,7 |
| 9 | 86,8 | 60 | -2,9 | 143,9 |
| 10 | 86,3 | 60 | -0,6 | 145,7 |
| 11 | 87,4 | 60 | 1,3 | 148,7 |
| 12 | 87,2 | 60 | 2,1 | 149,3 |
| 13 | 89,6 | 60 | 0,4 | 150 |
| 14 | 90 | 60 | 0,5 | 150,5 |
| 15 | 90,3 | 60 | 0,4 | 150,7 |
| 16 | 90,4 | 60 | 0,1 | 150,5 |
| 17 | 90,3 | 60 | -0,1 | 150,2 |
| 18 | 90,1 | 60 | -0,2 | 149,9 |
| 19 | 89,9 | 60 | -0,2 | 149,7 |
| 20 | 89,8 | 60 | -0,1 | 149,7 |
| 21 | 89,8 | 60 | 0 | 149,8 |
В периоде 1 национальный доход увеличился на величину прироста автономных инвестиций (ΔI1a = 12) и составил 132. Данное обстоятельство привело в периоде 2 к увеличению объема совокупного потребления до 79,2 и к появлению индуцированных инвестиций в размере 8,4. Это означает, что здесь действуют и мультипликатор и акселератор.
В периоде 3 объем производных инвестиций достиг максимального значения (Itин= 10,9), поскольку в предыдущем периоде произошел максимальный прирост национального дохода (Δу2 = y2 - y1 = 15,6). В дальнейшем (периоды 4 и 5) величина индуцированных капиталовложений уменьшалась из-за падения темпов прироста национального дохода в периодах 3 и 4. Более того, начиная с периода 6, производные инвестиции приняли отрицательное значение. Это объясняется снижением уровня дохода в предшествующем периоде (I6ин = -1,7, поскольку Δу5 = y5 - y4 = 15,6). Совокупное потребление продолжало возрастать и в периоде 5 достигло максимальной величины (98,4), поскольку в предыдущем периоде национальный доход был максимален (164). В дальнейшем, с 6 по 10 период происходило снижение объема потребления.
Табличные данные отражают затухающие колебания национального дохода, совокупного потребления и производных инвестиций. Если бы действовал только один мультипликатор, то при данном варианте автономного инвестирования система устремилась бы к новому равновесному состоянию. Подключение акселератора привело к волнообразным колебаниям экономической системы.
В данном числовом примере мультипликатор и акселератор фигурируют в качестве постоянных величин. В реальной экономической жизни не существует постоянных коэффициентов мультипликации и акселерации в силу действия таких переменных факторов, как научно-технический прогресс, сальдо торгового баланса, товарные запасы, степень монополизации производства и т. д.
1.3 Линейные конечно-разностные уравнения и их применение в экономике
Динамика объектов различной природы часто описывается уравнениями вида
xt = F(xt-1, xt-2, ... , xt-n),(7)
связывающими состояние объекта xt в любой момент времени t с состояниями в предшествующие моменты времени. Решение уравнения (7) n-го порядка определено однозначно, если заданы n так называемых начальных условий. Обычно в качестве начальных условий рассматриваются значения xt при t = 0, 1,..., n - 1.
Подставляя начальные значения xn-1, ... , x1, x0 и t = n в качестве аргументов функции в правой части (7), находим xn; используя найденное значение и подставляя теперь xn, xn-1, ... , x2 x1 и t = n + 1 в качестве аргументов функции, находим xn+1, и т.д. Процесс может быть продолжен до тех пор, пока не будут исчерпаны все представляющие интерес значения t.
В модели экономических циклов Самуэльсона-Хикса используются конечно-разностные уравнения вида xt = a1xt-1 + a2xt-2 + f(t) - линейные конечно-разностные уравнения второго порядка, являющиеся частным видом уравнения (7). Они называются однородными, еслиf(t) = 0 при любых t, неоднородными - в противном случае. И для нахождения, и для исследования свойств решения однородного уравнения
xt = a1xt-1 + a2xt-2 ,(8)
используется так называемое характеристическое уравнение
- a1
- a2 ,(9)
Обозначим его корни
1,
2 и запишем
В теории конечно-разностных уравнений4 доказывается, что при
1
2 решение уравнения (8) описывается равенством
, (10)
где A1 и A2 - постоянные, определяемые начальными условиями.
Если же
1 =
2 =
, то решение имеет вид
Решение уравнения (8) зависит от значения дискриминанта
характеристического уравнения (9).
Рассмотрим возникающие при этом случаи.1. D > 0. Характеристическое уравнение имеет два различных вещественных корня. Решение описывается равенством (10); если оба корня положительны, то обе компоненты решения - монотонные геометрические прогрессии. Если имеются отрицательные корни, то каждому из них отвечает знакочередующаяся составляющая решения (10).2. D = 0. Характеристическое уравнение имеет совпадающие вещественные корни, и решение имеет вид (11).
3. D < 0. Характеристическое уравнение имеет пару сопряженных комплексных корней:
1,2 =
i
.
Равенство (10) при этом справедливо, но неудобно для использования, так как вещественный процесс при этом описывается как сумма комплексных составляющих. Более удобную форму решения можно получить, используя тригонометрическое представление корней:
1,2 = g(cos
sin
), где
Такое представление позволяет описать решение уравнения (8) равенством
где B1 и B2 - постоянные, определяемые начальными условиями.
Таким образом, при D < 0 решение носит характер колебаний, амплитуда которых возрастает (при g > 1) или убывает (при g < 1);
Решение уравнения (8) называют равновесным, если значение xt не изменяется во времени. Подстановкой в уравнение (8) можно убедиться, что xt = 0 есть равновесное решение. Равновесное решение называется устойчивым, если xt
0 при t
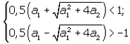
; в противном случае оно называется неустойчивым. Равенства (10) и (11) показывают, что решение будет устойчивым в том и только в том случае, если оба корня характеристического уравнения по модулю меньше единицы. В случае D < 0 условию устойчивости соответствует g < 1, так как
при этом необходимым и достаточным условием устойчивости является a2 > -1. По теореме Виета
1
2 = -a2, так что условие a2 > -1 необходимо и в случае D > 0, но здесь оно не является достаточным. Система неравенств















