181865 (629235), страница 3
Текст из файла (страница 3)
Стоимость перевозки готовой продукции определяется по формуле:
Зтр гп = вес поставки * тариф
г. Северный: Зтр гп = 128,7 * 18500 / 1000 = 2380,95 (тыс. руб)
г. Сказочный: Зтр гп = 128,7 * 36000 / 1000 = 4633,2 (тыс. руб)
Суммарные транспортные расходы по доставке исходного сырья и транспортировке готовой продукции: ∑Зтр = Зтр м + Зтр гп
г. Северный: ∑Зтр = 17839,5 + 29193,45 = 47 032,95 (тыс. руб)
г. Сказочный: ∑Зтр = 27321 + 32861,4 = 60 182,4 (тыс. руб)
По итогам расчетов можно сделать вывод о том, что предприятие следует расположить в г.Северном, т.к. затраты по доставке сырья, материалов и транспортировке готовой продукции будут меньше, чем в г.Сказочном.
2.3. Расчет потребности в капитальных вложениях в строительство проектируемого варианта
Инвестиции (от англ. investments) означают «капитальные вложения».
Инвестиции – это вложения финансовых средств в различные виды экономической деятельности с целью сохранения и увеличения капитала. Различают реальные (капитальные) и финансовые (портфельные) инвестиции. Реальные инвестиции – это вложения средств в физический капитал предприятий, например, в создание новых основных фондов, реконструкцию старых фондов или их техническое перевооружение. Финансовые инвестиции – это вложения в покупку акций, ценных бумаг и использование иных финансовых инструментов с целью увеличения финансового капитала инвестора.
К реконструкции относятся мероприятия, связанные как с заменой морально устаревших и физически изношенных машин и оборудования, так и с совершенствованием и перестройкой зданий и сооружений.
Инвестиции, необходимые для строительства (реконструкции) предприятия складываются из основных фондов и нематериальных активов (это вложения в землю, подготовку строительной площадки, на проектно-конструкторские работы, на предэксплуатационные капитальные работы, на приобретение машин и оборудования, в строительство зданий и инженерных сооружений, в строительство вспомогательных сооружений). Расчет капитальных вложений ведется по обоим вариантам.
Объем и структура инвестиций определяются на основе отраслевых показателей удельных капитальных вложений на 1 т массы изделия и проектной мощности завода М:
К = Куд * Nг * Мед
где
Куд – удельные капитальные вложения на 1 тонну массы изделия (Северный – 95000 руб.; Сказочный – 105000 руб.);
Nг – годовая программа проектируемого варианта;
Мед – масса изделия, т.
г. Северный: К = 95000 * 260000 * 0,0033 = 81510000 (руб) = 81500 (тыс.руб)
г. Сказочный: К = 105000*260000*0,0033 = 90090000 (руб) = 90090 (тыс.руб)
В объем инвестиций включатся дополнительные затраты, связанные с географическим расположением строящегося объекта, климатическими особенностями того или иного района и т.д. Величина этих дополнительных затрат определяется с помощью коэффициента стоимости строительно-монтажных работ: Кс = К * Li
где
Li – тарифный коэффициент стоимости строительно-монтажных работ для конкретного региона: для г. Северного он принимается равным 1,2, для г. Сказочного – 1,3.
г. Северный: Кс = 81510 * 1,2 = 97812 (тыс. руб)
г. Сказочный: Кс = 90090 * 1,3 = 117117 (тыс. руб)
Для каждого из предполагаемых вариантов строительства нового предприятия существует свой вариант распределения капитальных затрат по годам, нужно выбрать наиболее эффективный. Для чего затраты, распределенные по годам строительства, приводят к одному моменту времени, которым обычно является год начала реализации проекта, дата начала производства продукции. расчет приведения разновременных платежей к базовой дате называется дисконтированием. При этом используется следующая формула:
Км = Кс* %с * (1+Е)t + Кс* %с * (1+Е)t-1 + Кс* %с * (1+Е)t-2 + Кс* %с * (1+Е)t-3
где
Кт – капитальные вложения, определенные с учетом фактора времени;
Kc – капитальные вложения соответствующего года;
t – срок строительства;
Е – норма дисконта, равная приемлемой для инвестора норме дохода на капитал (Е= 0,1).
%с – доля инвестиций для данного года строительства (в таблице 11.)
Таблица 11.–Распределение капитальных вложений по годам строительства
| 1 вариант, г. Северный | 2 вариант, г. Сказочный | |
| 1 год | 30% | 40% |
| 2 год | 30% | 30% |
| 3 год | 25% | 30% |
| 4 год | 15% | - |
г. Северный: Кт = 97812 * 0,3 * (1+0,1)4 + 97812 * 0,3 * (1+0,1)3 +
+ 97812 * 0,25 * (1+0,1)2 + 97812 * 0,15 * (1+0,1) = 127 745,4 (тыс. руб)
г. Сказочный: Кт = 117117 * 0,4 * (1+0,1)3 + 117117 * 0,3 * (1+0,1)2 +
+ 117117 * 0,3 * (1+0,1) = 143 515,17 (тыс. руб)
Дисконтированные капитальные вложения используются далее при оценке сравнительной экономической эффективности вариантов размещения предприятия и при этом не являются основанием для пересмотра сметной стоимости строительно-монтажных работ.
Из расчетов следует, что предприятие следует расположить в г.Северном, т.к. капитальные вложения будут меньше, чем в г.Сказочном.
2.4. Расчет численности работников предприятия для различных вариантов строительства проектируемого предприятия
Под кадрами предприятия понимается совокупность работников различных профессионально-квалификационных групп, занятых на предприятии и входящих в его списочный состав. В списочный состав включаются все работники, принятые на работу, связанную как с основной, так и неосновной деятельностью.
Понятие «трудовые ресурсы предприятия» характеризует его потенциальную рабочую силу, «персонал» - весь личный состав работающих по найму постоянных и временных, квалифицированных и неквалифицированных работников. Кадры предприятия – основной квалифицированный состав работников предприятия и организации.
Кадры предприятия, непосредственно связанные с процессом производства продукции (услуг), т.е. занятые основной производственной деятельностью, представляют промышленно-производственный персонал. К нему относятся все работники основных, вспомогательных, подсобных и обслуживающих цехов; научно-исследовательских, конструкторских, технологических организаций и лабораторий, находящихся на балансе предприятия; заводоуправления со всеми отделами и службами, а также служб, занятых капитальным и текущим ремонтом оборудования и транспортных средств своего предприятия.
Работники промышленно-производственного персонала подразделяются на две основные группы – рабочие и служащие. Отнесение работников предприятия к той или иной группе определяется общероссийским классификатором профессий рабочих, должностей служащих и тарифных разрядов, имеющим по существу значение общероссийского государственного стандарта.
Рабочие обычно подразделяются на основных и вспомогательных.
Основные рабочие изготавливают продукцию предприятия, выполняют работы и оказывают услуги.
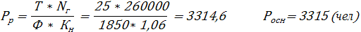
Численность основных рабочих может быть определена по трудоемкости производственной программы.
Трудоемкость пошива одного пальто (Т) 25 часа.
Баланс времени одного работника в год (Ф) 1850 часов, режим работы предприятия – 2 смены.
Коэффициент выполнения норм (Кн) –1,06.
Численность рабочих-сдельщиков определяется по формуле:
Вспомогательные рабочие обеспечивают нормальные условия для работы основных.
Численность вспомогательных работников определяется в процентах к основным рабочим – 35%.
Рвсп = 3315 * 35% = 1160,25 Рвсп = 1161 (чел)
В группе служащих обычно выделяются такие категории работающих, как руководители, специалисты и собственно служащие.
К руководителям относятся лица, наделённые полномочиями принимать управленческие решения и организовывать их выполнение.
К специалистам относятся работники, занятые инженерно-техническими, экономическими, бухгалтерскими, юридическими и другими аналогичными видами деятельности.
К собственно служащим относятся работники, осуществляющие подготовку и оформление документации, учет и контроль, хоз. обслуживание.
Численность служащих по отношению к общей численности основных и вспомогательных рабочих – 15 %.
Рсл = (3315 + 1161) * 15% = 671,4 Рсл = 672 (чел)
2.5 Расчет фонда заработной платы работающих по различным вариантам строительства проектируемого предприятия
Заработная плата представляет собой сумму денежных выплат, стоимость натуральной оплаты за работу, выполненную по трудовому договору (контракту), и по структуре состоит из основной и дополнительной заработной платы.
Основная заработная плата включает оплату труда работников по действующим на предприятиях сдельным расценкам, тарифным ставкам (должностным окладам) и представляет собой относительно постоянную часть оплаты, соответствующую установленной норме.
Дополнительная заработная плата включает различные виды премий, доплаты за работу в сверхурочное время, доплаты по прогрессивным расценкам, за отклонение от нормальных условий труда, оплату целодневных и внутрисменных простоев, доплаты бригадирам.
Основной источник выплаты заработной платы – фонд заработной платы. Средства в этот фонд формируются за счет себестоимости продукции. Плановая величина фонда определяется несколькими способами:
1) Метод прямого счета, т.е. фонд заработной платы равен среднесписочной численности работников, умноженной на планируемую среднюю заработную плату одного работника. С помощью данного метода общий фонд заработной платы может быть рассчитан и в целом по предприятию, и по отдельным категориям и группам работников.
2) Нормативный метод: фонд заработной платы равен произведению объема выпускаемой продукции в планируемом периоде и норматива заработной платы на один рубль выпускаемой продукции. С помощью данного метода общий фонд заработной платы рассчитывается с учетом планируемого изменения реальной заработной платы работников.
Состав фонда заработной платы является объектом государственного регулирования в соответствии с инструкцией о его составе.
2.5.1. Для основных производственных рабочих применяется сдельно-премиальная форма оплаты.
При сдельно-премиальной оплате труда работающему сверх заработка по прямым сдельным расценкам выплачивается премия за выполнение и перевыполнение заранее установленных количественных и качественных показателей работы. Она применяется для повышения заинтересованности работников в выполнении норм выработки, в экономии материальных ресурсов или повышение качества продукции.
Средний тарифный разряд рабочего сдельщика – 4,
Тарифная ставка (Тст) 4 разряда равна 24,536 руб.,
Размер премии (%пр) основных рабочих – 75 %,
Дополнительная заработная плата (%д) – 26,8 %.
Расчет сдельного расценка производится по формуле:
Рсд = Тст * Т = 24,536 * 25 = 613,4 (руб)
Прямой фонд заработной платы равен:
ФЗПпр = Рсд * Nг = 613,4 * 260000/1000 = 159484 (тыс. руб)
Премиальный фонд рассчитывается от прямого фонда заработной платы:
Дополнительный фонд заработной платы определяется от суммы прямого и премиального фондов:
Общий фонд заработной платы составляет сумму прямого, премиального и дополнительного фондов заработной платы:
ФЗПобщ =ФЗПпр + ПФ + ФЗПд
ФЗПобщ = 159484 + 119613 + 74798 = 353895 (тыс. руб.)
2.5.2. Для рабочих повременщиков расчет фонда заработной платы планируется по повременно-премиальной системе оплаты труда
Повременно-премиальная система оплаты труда представляет собой сочетание простой повременной оплаты труда с премированием за выполнение количественных и качественных показателей по специальным положениям о премировании работников.
Расчет фонда заработной платы планируется по отработанному времени (Ф) – 1850 час и тарифной ставке (Тст) – 21,892 руб. Размер премии рабочим вспомогательного производства равен 60%
Расчет прямого фонда оплаты труда производится по формуле:
ФЗПпр = Ф * Тст * Рв = 1850 * 21,892 * 1161 / 1000 = 47020,73 (тыс. руб)
где Рв – численность вспомогательных рабочих.
ФЗПобщ =ФЗПпр + ПФ + ФЗПд













