179767 (628383), страница 4
Текст из файла (страница 4)
Иващенко Л.И. — 6 000 руб. (18 000 руб. / 3,6 * 1,2);
Свиридов С.А. — 5 000 руб. (18 000 руб. / 3,6 * 1);
Попов А.Н. — 7 000 руб. (18 000 руб. / 3,6 * 1,4).
Во всех случаях выбор бестарифной системы заработной платы, а также порядка распределения выделенных средств на оплату труда (установление коэффициентов, порядок вынесения и утверждения решения и т.д.) должны быть закреплены в разработанном на уровне организации локальном нормативном акте. В противном случае своего основного предназначения — «по труду» система не получит.
В связи с этим построение бестарифной системы заработной платы должно производиться с определением следующих элементов:
- определения зависимости уровня оплаты труда работников с фондом заработной платы, определяемым по конечным результатам;
- работы коллектива (то есть принципов распределения сумм между отдельными коллективами и категориями работников);
- установления каждому работнику постоянного (или относительно постоянного) коэффициента квалификационного уровня;
- установления каждому работнику коэффициента трудового участия в текущих результатах деятельности структурного подразделения или организации в целом.
Следует также учитывать, что в отдельных случаях сумма заработка работника при бестарифной оплате труда может определяться в процентах от стоимости заключенных ими договоров на поставку (продажу) продукции (товаров) [7 c. 401] или в процентах от стоимости дохода (прибыли) предприятия от сделок, совершенных работником в пользу организации.
Во всех случаях и при использовании бестарифной системы оплаты труда месячная заработная плата работника, отработавшего за месяц установленную норму рабочего времени и (или) выполнившего нормы труда (трудовые обязанности), не может быть ниже установленного законом минимального размера оплаты труда. Индивидуальная заработная плата (ЗПi) каждого работника при бестарифной системе заработной платы представляет собой его долю в заработанном всем коллективом фонде заработной платы (фонде оплаты труда):
где ФОТk - фонд оплаты труда коллектива (подразделения), подлежащий к распределению между работниками (руб.);
ККУi - коэффициент квалификационного уровня, присвоенный данному работнику (в баллах, долях единицы или других условных единицах);
КТУi - коэффициент трудового участия в текущих результатах деятельности, присваиваемый данному работнику на период, за который производится оплата (в баллах, долях единицы или других условных единицах);
Тi - количество рабочего времени, отработанного данным работником в период, за который производится оплата (часов, дней);
n - количество работников, участвующих в распределении фонда оплаты труда (чел.).
Могут применяться варианты бестарифной системы, в которых вместо двух коэффициентов (ККУ и КТУ) определяется один сводный коэффициент оплаты труда.
При бестарифной системе оплаты труда присвоение работнику определенного квалификационного уровня не подразумевает установление ему соответствующей тарифной ставки или оклада. Конкретный уровень оплаты труда заранее работнику неизвестен . Он может лишь предполагать, каким этот уровень будет исходя из своего предыдущего опыта.
Поскольку данная система оплаты труда ставит заработок работника в полную зависимость от конечных результатов работы трудового коллектива (подразделения), то применять ККУ и КТУ можно только там, где трудовой коллектив полностью несет ответственность за эти результаты.
Использование организацией бестарифной системы заработной платы предполагает:
- оценку квалификационного уровня работников;
- оценку трудового участия работников;
- сводную оценку уровня оплаты труда работников.
Оценка квалификационного уровня работников при бестарифной оплате труда производится через определение коэффициента квалификационного уровня работника (ККУ) и является наиболее ответственным моментом при разработке и введении такой системы оплаты труда.
Коэффициент квалификационного уровня работников может быть определен одним из двух способов.
Первый способ предполагает собой, что фактический уровень квалификации работника наиболее полно отражает не присвоенный ему разряд (или должностная категория), а полученная им заработная плата.
При этом должны быть исключены случайности, повлиявшие на размер заработной платы, а сама заработная плата должна быть приведена в сопоставимый вид, чтобы различия в количестве отработанного времени не сказывались на величине заработной платы.
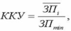
Формула расчета коэффициента квалификационного уровня работника через заработную плату выглядит следующим образом:
где ЗПi - средняя заработная плата i-го работника за достаточно продолжительный период (6 мес., 1 год и т.д.), предшествующий введению бестарифной системы оплаты труда, руб.;
ЗПmin - средняя заработная плата работника с самым низким уровнем оплаты труда за тот же период, в руб.[17c. 265].
При расчете средней заработной платы работника для определения коэффициента квалификационного уровня следует отбросить влияние случайных выплат.
Целесообразно для расчета принимать следующие основные выплаты:
- оплату по сдельным расценкам (тарифным ставкам) — для рабочих и оплату по должностным окладам — для специалистов, служащих, руководителей, а также отдельных рабочих (для которых установлены оклады вместо тарифных ставок);
- премии за основные результаты деятельности, выплаченные работникам по действующим системам премирования;
- надбавки за работу в многосменном режиме (если работники систематически работают посменно);
- доплаты за совмещение профессий, расширение зон обслуживания и аналогичные им выплаты;
- доплаты за повышенную интенсивность труда;
- доплаты за руководство бригадой;
- доплаты за условия труда (если они не включены в тарифные ставки и расценки и учитываются отдельно);
- оплату за выслугу лет и за стаж работы в районах Крайнего Севера и приравненных к ним районах.
Все остальные выплаты (оплата сверхурочных работ, оплата простоя и брака не по вине работника, доплаты за отклонения от условий работы, предусмотренных технологическим процессом и аналогичные им выплаты) не должны учитываться при исчислении коэффициента квалификационного уровня.
Среднюю заработную плату работников целесообразно исчислять как среднечасовую заработную плату [17, с.203] том случае она будет наиболее сопоставимой по всем группам работающих.
При всем этом следует учитывать, что зачастую коэффициенты квалификационного уровня (ККУ), полученные через сопоставление индивидуальных заработков, непосредственно в расчетах сумм заработка по бестарифной оплате труда не используются. Они служат, в основном, основой для анализа и группировки по квалификационным должностным группам.
При втором способе коэффициент квалификационного уровня (ККУ) определяется совокупностью ряда показателей, используемых при оценке трудового вклада при любой системе оплаты [13 c. 14-15].
Как правило, при оценке квалификационного уровня работников учитываются пять показателей:
- сложность работы;
- фактические условия труда на рабочем месте;
- сменность;
- интенсивность труда;
- профессиональное мастерство.
Первые три показателя характеризуют рабочее место, два других — учитывают индивидуальные качества работника.
Количественное значение показателя квалификационного уровня определяется исходя из значений следующих коэффициентов:
1) коэффициента сложности работ (КСР) — определяется путем деления месячных тарифных ставок по всем разрядам на тарифную ставку первого разряда с тяжелыми и вредными условиями труда;
2) коэффициента оценки фактических условий труда (КУТ) — измеряется на каждом рабочем месте либо в соответствии с «Положением об оценке условий труда на рабочих местах и порядке применения отраслевых перечней работ, на которых могут устанавливаться доплаты рабочим за условия труда».
3) коэффициента оценки сменности (КСМ) — определяется по каждому разряду соотношением суммы доплат за работу в две либо в три смены по отношению к базовой величине;
4) коэффициента интенсивности труда (КИТ) — устанавливается в пределах фактически сложившихся размеров выплат за совмещение профессий и расширение зон обслуживания;
5) коэффициента профессионального мастерства (КПМ) — повышает коэффициент квалификационного уровня работника исходя из средних сложившихся размеров доплат за профессиональное мастерство.
Принципиальную формулу расчета коэффициента квалификационного уровня работника, исходя из совокупности показателей, характеризующих рабочее место и индивидуальные качества работника (ККУ), можно представить в следующем виде:
ККУij = KCPj х КУТj х KCMj х КИТij х КПМij, (7)
где j - означает принадлежность характеристики к рабочему месту;
ij - принадлежность характеристики к работнику, который работает на этом рабочем месте.
Оценка трудового участия работников при использовании бестарифной системы оплаты труда производится через коэффициент трудового участия (КТУ) работника в текущих результатах деятельности подразделения, который является вторым элементом данной системы оплаты труда.
На основе этого коэффициента производится дооценка трудового вклада работника в общие результаты труда подразделения.
Показателями, повышающими значение КТУ, могут быть:
- участие в выполнении особо важных заданий в срок и с высоким качеством;
- существенное перевыполнение установленного производственного задания;
- экономия материальных ресурсов по сравнению с предыдущим периодом или обоснованными нормами и т.п.
Показателями, понижающими значение КТУ, могут быть:
- нарушение правил эксплуатации и содержания оборудования;
- несоблюдение техники безопасности и других показателей производственной и технологической дисциплины;
- несоблюдение техники безопасности и других показателей производственной и технологической дисциплины;
- недовыполнение производственных заданий;
- невыполнение указаний бригадира, мастера, начальника цеха (участка);
- перерасходы материальных ресурсов и т.п.
В ряде случаев при использовании бестарифной системы оплаты труда вместо двух коэффициентов (ККУ и КТУ) может использоваться один (единый) сводный коэффициент оплаты труда (СКТ), механизм расчета которого должен учитывать как факторы квалификационного уровня работника, так и факторы результативности его работы и отношения к труду в конкретном расчетном периоде.
На практике используются два варианта определения сводного коэффициента оплаты труда.
Первый из них в своей основе имеет определение диапазона различий в индивидуальных результатах труда и построение так называемых «вилок соотношений в оплате труда разного качества».
Второй предполагает балльную оценку зарплатообразующих факторов с учетом их значимости и определение соотношений в оплате на основе полученной балльной оценки.
Для ООО «Азбуки уюта» более приемлем 1 метод.
Модель «бестарифной» системы с использованием вилок соотношений в оплате труда различного качества характеризуется установлением следующих элементов:
1) определенным количеством квалификационных групп, которые объединяют работников, относящихся к различным категориям персонала (рабочие, служащие, специалисты, руководители) и отражают устойчиво различающиеся по ценности своего труда в конкретном производственном процессе группы работников;
2) заданными коэффициентами нарастания опыта от одной квалификационной группы к другой, отражающими, как правило, фактически сложившиеся соотношения в оплате между этими группами, с некоторой корректировкой их за счет устранения явно необоснованных размеров заработков (при этом возможны четыре типа нарастания коэффициентов оплаты от группы к группе: равномерное, прогрессивное, регрессивное, смешанное);
3) установленными диапазонами (интервалами) значений коэффициентов, соотношений в оплате, отражающими возможные индивидуальные различия в трудовом вкладе работника в пределах той или иной квалификационной группы (при этом интервалы не обязательно должны быть равными по всем квалификационным группам, равно как не обязательно, чтобы верхняя граница предыдущего интервала служила нижней границей следующего, интервалы могут быть и чаще всего бывают перекрываемыми);
4) правилами определения количественных значений коэффициентов по каждой квалификационной группе (при этом как минимум должны быть предусмотрены выбор базового значения коэффициента и условия его корректировки; в качестве базового значения могут быть взяты минимальное, среднее или максимальное значение интервала — соответственно этому разрабатываются и условия корректировки) [4 c. 56].
Вариант построения «вилочной» модели бестарифной системы оплаты труда может быть следующий в таблице 3.1, приложение 3.
При таком варианте всего в организации выделяется девять квалификационных групп. В первую (исходную) группу могут войти работники самой низкой квалификации, выполняющие простые, несложные работы, функции по обслуживанию производства (уборщики, грузчики, экспедиторы), рабочие 1—3 разрядов.
Во второй группе могут быть объединены водители автобусов и некоторых марок других автомобилей, рабочие 4 разряда.
В следующую группу могут быть включены рабочие 5 разряда, техники 1 категории, руководители ряда вспомогательных служб.
Последние три квалификационные группы занимают главные специалисты и руководители предприятия.















