179484 (628246), страница 5
Текст из файла (страница 5)
Если величина индикатора положительна, то это означает, что экономика находится в фазе подъема, если она отрицательна — в фазе спада. Показатель рассчитывается за 1 год и характеризует темп текущего экономического развития.
Для характеристики экономической конъюнктуры используется ряд статистических показателей (ВНП, уровень безработицы, личные доходы, продукция промышленности и т. п.). В зависимости от того, как изменяется значение экономических параметров в ходе цикла, они делятся на проциклические, контрциклические и ациклические. Проциклические параметры в фазе подъема увеличиваются, а в фазе спада — уменьшаются (загрузка производственных мощностей, агрегаты денежной массы, общий уровень цен, прибыли корпораций).
Контрциклическими переменными называются показатели, значение которых во время спада увеличивается, а во время подъема — уменьшается (уровень безработицы, число банкротств, запасы готовой продукции). Ациклическими называются параметры, динамика которых не совпадает с фазами экономического цикла (например, объем экспорта).
По классификации Национального бюро экономических исследований США различают три типа экономических параметров — опережающие, запаздывающие и соответствующие. Опережающие достигают максимума или минимума перед приближением пика или низшей точки (это — изменения в запасах, изменение денежной массы и т. п.). Запаздывающие достигают максимума или минимума после пика или низшей точки в численности безработных, удельных расходах на зарплату и т. п.). Совпадающие параметры изменяются в соответствии с изменением экономической активности (ВНП, уровень инфляции, продукция промышленности и т. п.).
В настоящее время статистики и экономисты не способны дать точных прогнозов экономической конъюнктуры, а могут определить лишь общую ее тенденцию. Во-первых, трудно учесть все факторы, особенно в период нестабильности экономики и политических потрясений. Во-вторых, существенное влияние на национальную экономику оказывает международное окружение. В-третьих, даже правильно определив тенденцию, трудно предсказать точные даты прохождения фаз и вовремя изменить экономическую политику. Наконец, действия предпринимателей могут усугубить нежелательные отклонения конъюнктуры.
Глава III Анти циклическая политика
3.1 Кейнсианская концепция циклического регулирования
В 1936 г. крупнейший английский экономист Джон Мейнард Кейнс после окончания «великой депрессии» 30-х годов выдвинул новое объяснение уровня занятости в капиталистической экономике и сформулировал новые принципы и инструменты государственного регулирования рынка. Согласно этой теории, при капитализме просто не существует никакого механизма, гарантирующего полную занятость, полная занятость — частный случай, а не закономерность. Капитализм не является саморегулирующейся системой, способной к бесконечному процветанию.
Кейнсианской теорией занятости отвергается положение о том, что ставка процента уравнивает сбережения и инвестиции. Субъекты сбережений и инвесторы — это разные группы населения. В условиях здоровой экономики население сберегает значительные суммы даже во время ее процветания. При этом по собственной инициативе. Корпорации и фирмы, располагая сбережениями в виде нераспределенных прибылей, принимают инвестиционные решения исходя из:
а) ожидаемой нормы чистой прибыли;
б) реальной ставки процента.
Кейнсианцы ставят под сомнение положение об эластичности цен и заработной платы.
Теоретической основой неоклассической модели послужили концепции неоклассического направления экономической мысли. Трансформация модели государственного регулирования заключалась в отказе от воздействия на воспроизводство через спрос, а вместо этого предполагалось использование косвенных мер воздействия на предложение. Сторонники экономики предложения считают необходимым воссоздать классический механизм накопления и возродить полную свободу частного предпринимательства. Экономический рост рассматривается как функция от накопления капитала, которое осуществляется из двух источников: за счет собственных средств, т.е. капитализации части прибыли и за счет заемных средств (кредитов). Поэтому в соответствии с этой теорией государство должно обеспечить условия для процесса накопления капитала и повышения производительности производства.
Главные препятствия на этом пути — высокие налоги на прибыль и инфляция. Высокие налоги ограничивают рост капиталовложений, а инфляция удорожает кредит и тем самым затрудняет использование заемных средств для накопления.
Поэтому неоклассики предложили осуществление антиинфляционных мероприятий на базе рекомендаций монетаристов и предоставление налоговых льгот предпринимателям.
Сокращение налоговых ставок сократит и доходы госбюджета, и увеличит его дефицит, что осложнит борьбу с инфляцией и выполнение государством других экономических функций.
Следовательно, следующим шагом станет сокращение государственных расходов, отказ от использования бюджета для поддержания спроса и осуществления широкомасштабных социальных программ и общее разгосударствливание экономики.
К мероприятиям по разгосударствливанию экономики относятся:
политика приватизации государственной собственности;
политика дерегулирования, которая означает ликвидацию регламентаций по ценам и заработной плате, либерализацию (смягчение) антитрестовского законодательства, дерегулирование рынка рабочей силы и др.
Таким образом, в неоклассической модели государство может лишь косвенно влиять на экономику. Главная же роль в реализации экономического развития страны отводится рыночным силам.
3.2 Монетарная концепция анти циклической политики
Несмотря на то что в модели Тевеса присутствует рынок денег, в ней, как и в модели Хикса-Самуэльсона, причиной конъюнктурных циклов выступают экзогенные изменения спроса на блага. Монетарные концепции экономических циклов связывают колебания экономической активности с изменениями в кредитно-денежном секторе.
Основоположником монетарной концепции экономических циклов считается Р. Хаутри6. По его представлению, исходным пунктом экономического цикла является рост предложения кредита со стороны банковской системы. Далее следуют снижение ставки процента, рост инвестиций и совокупного спроса; так возникает фаза подъема, которая сопровождается ростом уровня цен. Со временем экономический подъем прекращается под воздействием двух основных факторов: внутреннего и внешнего. Первый сводится к исчерпанию избыточных резервов коммерческих банков; второй - к сокращению валютных резервов страны вследствие увеличения импорта и сокращения экспорта из-за повышения уровня цен. Оба названных фактора создают дефицит на рынке денег, и ставка процента начинает повышаться, а объем инвестиций - снижаться. Ухудшение инвестиционного климата на этой фазе развития цикла связано также с тем, что к концу фазы подъема разрыв между темпами роста уровня цен и ставки номинальной зарплаты сокращается. В результате начинаются обратные процессы: спад производства и занятости, снижение денежной ставки номинальной зарплаты и уровня цен, рост чистого экспорта, увеличение валютных резервов и денежной базы. Тем самым подготавливается основа для очередной кредитной экспансии банковской системы.
Рассмотрим более детально концепцию монетарного экономического цикла на примере модели Лайдлера7. Модель описывает взаимодействие рынков благ и денег в закрытой экономике без экономической активности государства. Для отображения динамики экономических параметров используются степенные функции.
Спрос на реальные кассовые остатки является функцией от реального дохода текущего периода:
. Предложение денег в каждом периоде задается экзогенно. Поэтому равновесие на денежном рынке выражается следующим равенством:
.
В реальном секторе выпуск продукции зависит от степени использования существующих производственных мощностей, представленных национальным доходом полной занятости:
, где
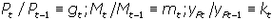
- коэффициент использования производственных мощностей. Тогда условие равновесия на рынке денег будет
, а равновесный темп роста предложения денег
Для упрощения записи введем следующие обозначения
. Теперь уравнение равновесного темпа роста предложения денег принимает вид
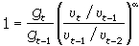
где gt - темп ускорения роста уровня цен.
Изменение темпа роста предложения денег не нарушит равновесия на денежном рынке, если выполняется равенство
Уравнение описывает развитие экономической конъюнктуры в модели Лайдлера.
При динамическом равновесии темпы роста денежной массы и производственных мощностей постоянны
и уравнение упрощается
Как будет изменяться конъюнктура в экономике в случае отклонения от равновесного роста денежной массы, зависит от параметров уравнения, т.е. от изменений уровня цен (реакции монетарного сектора) и загрузки производственных мощностей (реакции реального сектора).
В рассматриваемой модели предполагается, что темп роста уровня цен определяется двумя факторами: степенью загрузки производственных мощностей (уровнем безработицы) и ожиданиями относительно
роста уровня цен (gte). Конкретно эта зависимость тоже выражается степенной функцией.
где
характеризует реакцию занятости на повышение уровня цен (
> 1).
Соответственно темп ускорения роста уровня цен
Для определения ожидаемой в текущем периоде величины роста уровня цен Д. Лайдлер использует концепцию адаптивных ожиданий, в соответствии с которой существовавшее в предшествующем периоде предположение о степени роста уровня цен корректируется с учетом ошибки прогноза (разницы между фактическим и ожидавшимся ростом)
где
- коэффициент корректировки ошибки прогноза.
Поэтому ожидаемый темп ускорения роста уровня цен:
Поскольку в соответствии с уравнением
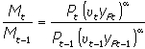
то ожидаемый темп ускорения роста уровня цен в итоге определяется только степенью использования производственных мощностей
С учетом выражения темп фактического ускорения уровня цен (см. уравнение становится функцией от степени использования производственных мощностей в текущем и предшествующем периодах:
Теперь уравнение, определяющее характер развития экономической конъюнктуры в случае превышения равновесного темпа роста предложения денег, можно представить в следующем виде:















