178866 (627995), страница 2
Текст из файла (страница 2)
Например, монополист может продать по цене 800 грн. только одну единицу своей продукции. Чтобы продать две единицы, он должен снизить цену до 700 грн. как на первую, так и на вторую единицу продукции. Чтобы продать три единицы продукции, цена должна стать равной 600 грн. за каждую из них, четыре единицы - 500 грн. и т.д. Доход фирмы-монополиста соответственно составит при продаже: 1 ед. - 800 грн.; 2 ед. - 1400 (700 • 2); З ед.-1800 (600 • 3); 4 ед.-2000 (500 • 4).
Соответственно предельный (или дополнительный в результате увеличения продаж на одну единицу продукции) доход составит: 1 ед. - 800 грн.; 2 ед. - 600 (1400 - 800); 3 ед. - 400(1800 - 1400); 4 ед. - 200 (2000 - 1800).
На рис. 2.1 кривые спроса и предельного дохода показаны как две несовпадающие линии, причем предельный доход во всех случаях, кроме выпуска 1 ед., меньше цены. А поскольку монополист принимает решение об объеме производства, выравнивая предельный доход и предельные издержки, цена и количество произведенной продукции будут иными, чем в условиях конкуренции.
2.3. Максимизация прибыли монополистом
Чтобы показать, при какой цене и каком объеме выпуска предельный доход монополиста будет максимально приближен к предельным издержкам и получаемая прибыль окажется наибольшей, обратимся к числовому примеру. Представим себе, что фирма является единственным производителем данной продукции на рынке, и сведем данные об ее издержках и доходах в табл. 2.1.
Таблица 2.1.Динамика издержек и доходов фирмы Х в условиях монополии.
Мы предположили, что 1 тыс. ед. своей продукции монополист может продать по цене 500 грн. В дальнейшем при расширении сбыта на 1 тыс. ед. он вынужден каждый раз снижать ее цену на 12 грн., поэтому предельный доход сокращается на 4 грн. при каждом расширении объема продаж. Фирма будет максимизировать прибыль, производя 14 тыс. ед. продукции. Именно при таком объеме выпуска ее предельный доход в наибольшей степени приближен к предельным издержкам. Если она произведет 15 тыс. ед., то эта дополнительная 1 тыс. ед. больше добавит к издержкам, чем к доходу, и тем самым уменьшит прибыль. [1]
На конкурентном рынке, когда цена и предельный доход фирмы совпадают, было бы произведено 15 тыс. ед. продукции, причем цена этой продукции была бы ниже, чем в условиях монополии:
Оптимальный обьем, тыс.ед. Цена,грн
Конкуренция 15 472
Монополия 14 474
Графически процесс выбора фирмой-монополистом цены и объема производства показан на рис. 2.2.
Рис. 2.2. Определение цены и объема производства фирмой-монополистом: D - спрос; MR - предельный доход; МС - предельные издержки
Поскольку в нашем примере производство возможно лишь в целых единицах продукции, а точка А на графике лежит между 14 и 15 тыс. ед., будет произведено 14 тыс. ед. продукции. Не произведенная монополистом 15-я тысяча (а она была бы выпущена в условиях конкуренции) означает потерю для потребителей, так как часть из них отказались от покупки из-за высокой цены, установленной производителем-монополистом.
Любая фирма, спрос на продукцию которой не является абсолютно эластичным, будет сталкиваться с ситуацией, когда предельный доход меньше цены. Поэтому цена и объем производства, приносящие ей максимальную прибыль, будут соответственно выше и ниже, чем в условиях совершенной конкуренции. В этом смысле на рынках несовершенной конкуренции (монополия, олигополия, монополистическая конкуренция) каждая фирма обладает определенной монопольной властью, которая наиболее сильна при чистой монополии.
2.4. Монополия и эластичность спроса
Как уже отмечалось, предельный доход в условиях совершенной конкуренции равен цене единицы товара и спрос на продукцию фирмы совершенно эластичен. При существовании монопольной власти предельный доход меньше цены, кривая спроса на продукцию фирмы является наклонной, что позволяет фирме, обладающей монопольной властью, получать дополнительную прибыль.
Эластичность спроса на продукцию (даже в случае, если на рынке присутствует только один продавец этой продукции) влияет на цену, установленную монополистом. Имея информацию об эластичности спроса Ер, а также данные, характеризующие предельные издержки фирмы МС, руководство фирмы может рассчитать цену продукции Р по формуле:
(2.1)
Чем выше эластичность спроса, тем более приближены условия деятельности монополиста к условиям свободной конкуренции, и наоборот, при неэластичном спросе у монополиста создается больше возможностей "взвинчивать" цены и получать монопольные доходы.
2.5. Как влияют налоги на поведение монополиста?
Поскольку налог увеличивает предельные издержки, их кривая МС сместится влево и вверх в положение МС1 как это показано на рис. 2.3. Фирма теперь будет максимизировать свою прибыль в очке пересечения Р1 и Q1.
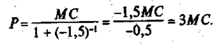
Монополист сократит производство и повысит цену в результате введения налога. Насколько он повысит цену, можно рассчитать, используя формулу (2.1). Если эластичность спроса, к примеру, составляет -1,5, тогда
При этом после введения налога цена увеличится на величину, в три раза превышающую размер налога. Влияние налога на монопольную цену зависит, таким образом, от эластичности спроса: чем менее эластичен спрос, тем в большей степени монополист повысит цену после введения налога.
Рис. 2.3. Влияние налога на цену и объем производства фирмы- монополиста: D - спрос, МR - предельный доход; МС - предельные издержки без учета налога; МС1 - предельные издержки с учетом налога
2.6. Оценка монопольной власти
Эластичность спроса является важным фактором, ограничивающим монопольную власть фирмы на рынке. Если мы имеем дело с чистой монополией (только один продавец), эластичность спроса становится единственным рыночным фактором, сдерживающим монопольный произвол. Именно поэтому деятельность всех отраслей естественной монополии регулируется государством. Во многих странах предприятия естественной монополии являются государственной собственностью.
Однако чистая монополия встречается достаточно редко, как правило, либо монопольная власть делится между несколькими крупными фирмами, либо на рынке действует множество небольших фирм, каждая из которых производит отличающуюся от других продукцию.
Таким образом, на рынках несовершенной конкуренции каждая фирма в той или иной степени обладает рыночной властью, что позволяет ей устанавливать цену выше предельного дохода и получать экономическую прибыль.
Как известно, разница между ценой и предельным доходом зависит от эластичности спроса на продукцию фирмы: чем более эластичен спрос, тем меньше возможностей получения дополнительной прибыли, меньше рыночная власть фирмы. [8]
В условиях чистой монополии, когда спрос на продукцию фирмы совпадает с рыночным, его эластичность является определяющей оценкой рыночной власти фирмы. В других случаях, когда рыночная власть делится между двумя, тремя или большим количеством фирм, она зависит от следующих факторов:
1. Эластичность рыночного спроса. Спрос на продукцию отдельной фирмы не может быть менее эластичным, чем рыночный спрос. Чем большее количество фирм представлено на рынке, тем более эластичен будет спрос на продукцию каждой из них. Присутствие конкурентов не позволяет отдельной фирме значительно поднимать цену без опасения потерять часть своего рынка сбыта.
Поэтому оценка эластичности спроса на продукцию фирмы является той информацией, которая должна быть известна руководству фирмы. Данные об эластичности должны быть получены путем анализа сбытовой деятельности фирмы, объема продаж при различных ценах, проведения маркетинговых исследований, оценки деятельности конкурентов и т.д.
2. Количество фирм на рынке. Однако само по себе количество фирм еще не дает представления о том, насколько рынок монополизирован. Для оценки конкурентности рынка используется индекс рыночной концентрации Герфиндаля, характеризующий степень монополизации рынка:
H=p12 + p22 + .......+ p12 +....+ pn2 (2.3)
где Н- показатель концентрации; p1 ,p2,.......,pi .... pn - процентная доля фирм на рынке.
3. Поведение фирм на рынке. Если фирмы на рынке будут придерживаться стратегии жесткой конкуренции, снижать цены для охвата большей доли рынка и вытеснения конкурентов, цены ,могут снизиться почти до конкурентного уровня (равенство цены и предельных издержек). Монопольная власть и соответственно монопольные доходы фирм уменьшатся. Однако получение высоких доходов очень притягательно для любой фирмы, поэтому вместо агрессивной конкуренции более предпочтителен явный или тайный сговор, раздел рынка.
Структура рынка, степень его монополизации должны учитываться фирмой при выборе стратегии деятельности. Для формирующегося рынка России характерна высокомонополизированная структура, поддерживаемая созданием в последние годы различного рода концернов, ассоциаций и других объединений, одной из целей которых является поддержание высоких цен и обеспечение себе "спокойного существования". Вместе с тем предполагаемое усиление открытости российской экономики для мирового хозяйства приводит к конкуренции с загрнежными фирмами и значительно усложняет положение отечественных монополистов.
Помимо уже рассмотренного выше эффекта масштаба существуют и другие причины, приводящие к монополии. Среди них немалую роль играет установление препятствий для вхождения в отрасль новых фирм. Такими препятствиями могут стать необходимость получения специального разрешения государственных органов на занятие тем или иным видом деятельности, лицензионные и патентные барьеры, таможенные ограничения и прямые запреты на импорт, сложности в получении кредитов, высокие первоначальные затраты на открытие нового предприятия и др.
Например, для открытия коммерческого банка в России помимо установленного минимального размера уставного фонда требуется специальное разрешение Центрального банка РФ, получить которое достаточно сложно. Не менее сложно и "добыть" относительно дешевый кредит. Введенные новые импортные пошлины на спиртные напитки, табачные изделия, автомобили и др. снижают конкурентные возможности иностранных товаров и укрепляют позиции отечественных производителей.
Вместе с тем получение высоких прибылей является мощным стимулом, привлекающим новые фирмы в монополизированную отрасль. И если отрасль не является естественной монополией (а большинство российских монополий таковыми не являются), то фирма-монополист в любой момент может ожидать появления неожиданного конкурента.
Чем выше прибыль предприятия-монополиста, тем больше желающих проникнуть в отрасль, например, путем расширения производства и продаж товаров-заменителей. Выход новых фирм на рынок с продукцией, способной эффективно заменить продукцию монополиста, приводит к переключению спроса потребителей. В таких условиях монополист будет вынужден снижать цену, отказываться от части прибыли, чтобы сохранить свое положение на рынке.
Законодательные барьеры для вхождения в отрасль также не вечны. На поддержку государственных чиновников, выражающих их интересы, монополисты тратят значительные средства, которые включаются в издержки, увеличивая их. Поэтому в условиях развитого рыночного хозяйства положение фирм-монополистов не является таким уж "безоблачным", как это кажется на первый взгляд.
3. Монополистическая конкуренция
Были рассмотрены два крайних типа рынков: совершенная конкуренция и чистая монополия. Однако реальные рынки не укладываются в эти типы, они очень разнообразны. Монополистическая конкуренция - распространенный тип рынка, наиболее близкий к совершенной конкуренции. Возможность для отдельной фирмы контролировать цену (рыночная власть) здесь незначительная (рис. 3.1).
Рис. 3.1. Усиление рыночной власти
Отметим основные черты, характеризующие монополистическую конкуренцию:









