178337 (627759), страница 4
Текст из файла (страница 4)
Модель Шелтона предполагает, что если цена акции в 4 раза больше цены исполнения опциона, опцион будет продаваться выше его внутренней стоимости. Кроме того, Шелтон предполагает, что максимальная цена опциона составляет 3/4 цены акции.
Используя метод регрессионного анализа Шелтон определил, что плотное сближение цен долгосрочных опционов, получается с помощью регулирующего фактора, рассчитываемого следующим образом:[23]
| |
где M - количество месяцев, оставшихся до исполнения опциона,
D - годовые дивиденды по акции,
Ps - текущая цена акции,
L = 1 если опцион котируется на бирже и 0, если он торгуется на внебиржевом рынке.
Минимальная стоимость опциона - это его внутренняя стоимость, которая определяется путем вычитания текущей цены акции из цены исполнения. Максимальная стоимость равна 3/4 от текущей цены акции.
Стоимость опциона по модели Шелтона определяется по следующей формуле: Минимальная стоимость + (регулирующий фактор)*(максимальная стоимость - минимальная стоимость) = стоимость опциона
Один недостаток формулы Шелтона заключается в том, что она не делает поправки на исторические колебания цены акции. Шелтон проверил фактор волатильности в своем первоначальном исследовании, но не выявил того, что и он влияет на стоимость опциона, тогда как другие факторы были включены в алгоритм расчета.
2.3.3.Модель Блэка-Шоулза
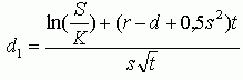
Формула Блэка-Шоулза использует следующую формулу:[24]
| |
где C - теоретическая стоимость опциона,
S - текущая цена базовых акций,
t - время, остающееся до срока истечения опциона, выраженное как доля года (количество дней до даты истечения/365 дней),
K - цена исполнения опциона,
r - процентная ставка по безрисковым активам,
N(x) - кумулятивное стандартное нормальное распределение,
e - экспонента (2,7183).
S - годовое стандартное отклонение цены базовых акций (историческая волатильность),
ln - натуральный логарифм.
Для понимания сути модели ее целесообразно разделить на две части. Первая часть, SN(d1) отражает ожидаемую прибыль от покупки самих базовых акций. Расчет производится через умножение цены лежащих в основе акций S на изменение премии по опциону колл по отношению к изменению цены базового актива N(d1).
Вторая часть модели Ke(-rt)N(d2) дает приведенную стоимость цены исполнения на дату истечения опциона. Объективная рыночная стоимость опциона колл рассчитывается путем вычитания второй части формулы из первой.[25]
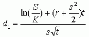
2.3.4.Модель Норина - Вольфсона
Предположения, используемые в модели Норина-Вольфсона - вариации модели Блэка-Шоулза - примерно такие же, как и в самой модели Блэка-Шоулза. Однако два различия должны быть отмечены. Первое, модель Норина-Вольфсона учитывает выплаты дивидендов и предполагает, что они выплачиваются постоянно. Второе, модель рассматривает возможное уменьшение стоимости опциона до момента его исполнения.
Модель имеет ту же форму и использует те же определения переменных, которые использовались в модели Блэка-Шоулза, за исключением некоторых различий:26
N - количество выпущенных обыкновенных акций,
n - количество обыкновенных акций, которые будут выпущено, если варранты будут исполнены,
d - постоянный дивидендный доход,
| |
Эта вариация модели Блэка-Шоулза имеет несколько таких же проблем, что и у оригинальной модели. Однако, модель Норина-Вольфсона отражает дивиденды и учитывает возможное уменьшение стоимости опциона, которое может случиться до его исполнения.
2.4. Использование опционных моделей для оценки прав привилегированных акционеров
Изложив теоретические обоснования моделей, необходимо исследовать насколько эти методы могут быть применимы на практике, оценить достоверность полученных результатов, выработать рекомендации по порядку и условиям их использования.
Объектом оценки является право (опцион) владельцев привилегированных акций на голосование на общем собрании акционеров компании в полном объеме в случае невыполнения эмитентом обязательства перед привилегированными акционерами. Объект оценки существует только до тех пор, пока компания-эмитент выполняет все свои обязательства, и привилегированные акционеры обладают правами только по привилегированным акциям. В случае, если обязательства компании-эмитента были нарушены и владельцы привилегированных акций получили права обыкновенных акционеров, то данного опциона больше нет.
Для расчета рыночной стоимости права были выбраны компании-эмитенты, акции которых торгуются на российском фондовом рынке.
В результате анализа множества компании, чьи акции торгуются на российском фондовом рынке, были отобраны следующие открытые акционерные общества:
-
РАО "ЕЭС России",
-
ОАО "Ростелеком".
После того как были выбраны компании, на примере которых будет рассчитываться стоимость оцениваемого права, необходимо последовательно рассчитать стоимость опциона в рамках всех моделей опционного ценообразования.
Модель Шелтона
Основные параметры модели:
M - количество месяцев, оставшихся до исполнения опциона. Оцениваемое право возникает только в момент годового собрания акционеров общества и может быть прекращено только на одном из последующих годовых собраний акционеров. Исходя из этого, минимальная продолжительность действия опциона равна периоду времени между двумя годовыми собраниями акционеров. В различных компаниях этот период колеблется от 10 до 12 месяцев. При расчете стоимости опциона для каждой компании параметр М будет индивидуальным.
D - годовые дивиденды по привилегированным акциям. Все компании-примеры выплачивают дивиденды по привилегированным акциям, дивиденды приведены в долларах США.
Ps - текущая цена привилегированной акции. Текущая цена для расчета стоимости опциона берется из итогов торгов в РТС на дату годового собрания акционеров в долларах США.
L - равняется 0, т.к. опционы подобного рода не торгуются.
Vmax - максимальная стоимость опциона равна 3/4 текущей цены акции.
Vmin - минимальная стоимость опциона равна разнице между текущей ценой акции и ценой исполнения опциона.
Из всех перечисленных выше параметров модели Шелтона наибольшую сложность представляет собой цена исполнения опциона. Для того, чтобы определить цену исполнения опциона на право участвовать в общем собрании акционеров общества по всем вопросам его компетенции, необходимо обратиться к экономической теории.
Ценой исполнения опциона должна быть такая величина, которая одновременно учитывает, во-первых, стоимость прав владельцев обыкновенных акций, т.к. с момента невыплаты или неполной выплаты дивидендов по привилегированным акциям права обыкновенных и привилегированных акционеров уравниваются, и, во-вторых, стоимость доходов привилегированных акционеров, т.к. доходы, получаемые привилегированными и обыкновенными акционерами, в большинстве случаев различаются.
Для этого необходимо образовать синтетический инструмент, который включал бы в себя две эти характеристики. Для создания синтетического инструмента можно использовать только две ценные бумаги: привилегированные или обыкновенные акции.
Теперь необходимо обратиться к тем выгодам, которые получает акционер от владения пакетом акций общества. Общеизвестно, что любой акционер может получить и использовать три "выгоды":
-
права на участие в управлении обществом,
-
доходы от владения акцией, которые в свою очередь подразделяются на:
-
доходы в форме дивидендов,
-
доход от роста курсовой стоимости.
Таким образом, цена акции состоит из стоимости этих "выгод" (см. Схема 1.)
Схема 1
| |
Соотношение этих элементов у привилегированных и обыкновенных акций различное, т.к. различаются права акционеров и их доходы. Однако, в момент появления опциона, у привилегированных акционеров появляется право участвовать в общем собрании акционеров по всем вопросам его компетенции. Стоимость именно этой части права и необходимо оценить в рамках моделей опционного ценообразования (см. Схема 2).
Схема 2
Пунктирной линией отмечено появление дополнительного права у привилегированных акционеров.
Стоимость вновь полученных прав нам необходимо определить, поэтому мы не можем ее корректировать для получения цены синтетического инструмента, а доход, получаемый акционерами, можно скорректировать.
Для получения цены искомого синтетического инструмента необходимо скорректировать цену обыкновенной акции, для того чтобы сделать сопоставимыми доходы привилегированных и обыкновенных акционеров.
В данном случае целесообразно применить метод сравнения продаж. Для полной сопоставимости ценных бумаг корректируется цена аналогичной ценной бумаги и приводится к параметрам оцениваемой.
Следовательно, необходимо скорректировать цену обыкновенной акции того же акционерного общества, т.к. они являются самым лучшим аналогом привилегированным акциям, чтобы привести доходы обыкновенных акционеров по дивидендам и роста курсовой стоимости к доходам привилегированных акционеров. Для этого требуется оценить влияние дивидендов на курсовую стоимость обыкновенных акций, т.к. рост курсовой стоимости можно легко определить.
С одной стороны, в соответствии с теорией Модильяни-Миллера[27] стоимость капитала фирмы не зависит от величины выплачиваемых дивидендов, следовательно, на цену обыкновенных акций не влияет размер выплачиваемых дивидендов.
С другой стороны, анализ котировок привилегированных акций компаний-примеров за 2 недели до годового собрания акционеров и за 2 месяца после него, также показывает, что влияние выплаты дивидендов на курсовую стоимость акций в России, если и есть, то оно пренебрежимо мало.
Таким образом, с большой степенью уверенности можно утверждать, что дивиденды не влияют на цену обыкновенных и привилегированных акций. Следовательно, цену обыкновенной акции необходимо скорректировать только на разницу курсовой стоимости обыкновенных и привилегированных акций. Для этого, сравниваются курсы акций на дату первого и второго собраний акционеров, и рассчитывается превышение (в процентах или долях) одной цены над другой. Например, есть отношение цен P0/P1=1.38 для обыкновенных акций и отношение P0/P1=2.67 для привилегированных акций. Следовательно, темп роста курсовой стоимости привилегированных акций в 1,93 раза больше за этот промежуток времени, чем у обыкновенных акций. Отсюда следует, что курсовую стоимость обыкновенных акций необходимо увеличить в 1,93 раза.
В результате мы получим цену синтетического инструмента с правами обыкновенных акционеров и доходами привилегированных акционеров. Эта цена будет соответствовать цене исполнения опциона.
ОАО "Ростелеком"
Параметры модели:
Дата оценки опциона - 30.06.2001 года (дата проведения годового собрания акционеров в 2001 году). Дата предыдущего собрания акционеров - 24.06.2000 год.
M=12
D2000=0,015















