177920 (627586), страница 2
Текст из файла (страница 2)
Рост прибыли создает финансовую основу для самофинансирования, осуществления расширенного воспроизводства и удовлетворения растущих социальных и материальных потребностей трудовых коллективов. В практике хозяйственной деятельности применяются различные показатели прибыли (балансовая, прибыль от реализации, чистая).
Прибыль - это часть чистого дохода, созданного в процессе производства и реализованного в сфере обращения, который непосредственно получают предприятия. Только после продажи продукции чистый доход принимает форму прибыли. Количественно она представляет собой разность между выручкой (после уплаты налога на добавленную стоимость, акцизного налога и других отчислений из выручки в бюджетные и внебюджетные фонды) и полной себестоимостью реализованной продукции. Значит, чем больше предприятие реализует рентабельной продукции, тем больше получит прибыли, тем лучше его финансовое состояние. Поэтому финансовые результаты деятельности следует изучать в тесной связи с использованием и реализацией продукции.
Прибыль как главный результат предпринимательской деятельности обеспечивает потребности предприятия и государства в целом. Поэтому прежде всего важно определить состав прибыли предприятия. Общий объем прибыли предприятия представляет собой валовую прибыль. На величину валовой прибыли влияет совокупность многих факторов, зависящих и не зависящих от предпринимательской деятельности.
Важными факторами роста прибыли, зависящими от деятельности предприятий, являются: рост объема производимой продукции в соответствии с договорными условиями; снижение ее себестоимости; повышение качества; улучшение ассортимента; повышение эффективности использования производственных фондов; рост производительности труда.
К факторам, не зависящим от деятельности предприятий, относятся: изменения государственных регулируемых цен на реализуемую продукцию; влияние природных, географических, транспортных и технических условий на производство и реализацию продукции и др.
Под влиянием как тех, так и других факторов складывается валовая прибыль предприятий.
В составе валовой прибыли учитывается прибыль от всех видов деятельности.
Прежде всего валовая прибыль включает прибыль от реализации товарной продукции, исчисленную путем вычета из общей суммы выручки от реализации этой продукции (работ, услуг) налога на добавленную стоимость, акцизов и затрат на производство и реализацию, включаемых в себестоимость. Прибыль от реализации товарной продукции - основная часть валовой прибыли.
Во-вторых, в состав валовой прибыли включается прибыль от реализации прочей продукции и услуг нетоварного характера, т.е. прибыль (убытки) подсобных сельских хозяйств, автохозяйств, лесозаготовительных и других хозяйств, находящихся на балансе основного предприятия. .
В состав валовой прибыли входит также прибыль от реализации основных фондов и другого имущества.
Наконец, в составе валовой прибыли отражаются внереализационные доходы и расходы, т.е. результаты внереализационных операций.
В связи с тем что подавляющую часть валовой прибыли (95-97%) предприятия получают от реализации товарной продукции, этой части прибыли должно быть уделено главное внимание. Отмеченные выше факторы, зависящие и не зависящие от деятельности предприятия, воздействуют главным образом на прибыль от реализации продукции. Основные из этих факторов подлежат детальному изучению и анализу.
Предварительно следует учесть, что на прибыль от реализации товарной продукции влияет изменение остатков нереализованной продукции. Чем больше этих остатков, тем меньше прибыли предприятие получит от реализации продукции. Величина нереализованной продукции зависит от ряда причин, обусловленных условиями реализации продукции. Предприятие может произвести продукции больше, чем ее реализовать.
Важнейшим фактором, влияющим на величину прибыли от реализации продукции, является изменение объема производства и реализации продукции. Чем больше объем реализации в конечном счете, тем больше прибыли получит предприятие, и наоборот. Зависимость прибыли от этого фактора при прочих равных условиях прямо пропорциональная.
Падение объема производства при нынешних экономических условиях, не считая ряда противодействующих факторов, как, например, роста цен, неизбежно влечет сокращение объема прибыли. Отсюда вывод о. необходимости принятия неотложных мер по обеспечению роста объема производства продукции на основе технического его обновления и повышения эффективности производства. В свою очередь, совершенствование расчетно-платежных отношений между предприятиями будет способствовать улучшению условий реализации продукции, а следовательно, росту прибыли.
Не менее важным фактором, влияющим на величину прибыли от реализации товарной продукции, является изменение уровня себестоимости продукции. Если изменение объема реализации влияет на сумму прибыли прямо пропорционально, то связь между величиной прибыли и уровнем себестоимости обратная. Чем ниже себестоимость продукции, определяемая уровнем затрат на ее производство и реализацию, тем выше прибыль, и наоборот. Этот фактор находится под воздействием многих причин. Поэтому при анализе изменения уровня себестоимости должны быть выявлены причины ее снижения или повышения с тем, чтобы разработать мероприятия по сокращению уровня затрат на производство и реализацию продукции, а следовательно, увеличению прибыли.
Фактором, напрямую определяющим величину прибыли предприятия от реализации продукции, служат применяемые цены. Свободные цены в условиях их либерализации устанавливаются предприятиями в зависимости от конкурентоспособности данной продукции, спроса и предложения аналогичной продукции другими производителями. Поэтому уровень свободных цен на продукцию является фактором, зависящим от предприятия.
Не зависящим от предприятия фактором выступают государственные регулируемые цены, устанавливаемые на продукцию предприятий-монополистов. Очевидно, что уровень цен определяется прежде всего качеством производимой продукции, зависящим от технического совершенствования ее производства, проведения работ по модернизации и т.д.
Кроме отмеченных факторов на величину прибыли от реализации, безусловно, влияют изменения в структуре производимой и реализуемой продукции. Чем выше доля более рентабельной продукции (исчисляемой как отношение прибыли к полной себестоимости этой продукции), тем больше прибыли получит предприятие. Увеличение доли малорентабельной продукции повлечет сокращение прибыли.
Таким образом, рассмотренные основные факторы, воздействующие на объем прибыли от реализации товарной продукции как в сторону увеличения, так и уменьшения, должны явиться предметом тщательного анализа.
Кроме прибыли от реализации продукции в состав валовой прибыли включается, как отмечено ранее, прибыль от реализации прочей продукции и услуг нетоварного характера. На долю этой прибыли приходится несколько процентов валовой прибыли. Результаты от прочей реализации могут быть положительными и отрицательными. Предприятия транспорта, подсобных сельских хозяйств, торговых организаций, находящихся на балансе предприятия, могут иметь от реализации своей продукции, работ, услуг не только прибыль, но и убытки, что соответственно отразится на объеме валовой прибыли.
Отдельной составной частью валовой прибыли выделена прибыль от реализации основных фондов и другого имущества. У предприятий могут образовываться излишние материальные ценности в результате изменения объема производства, недостатков в системе снабжения, реализации и других причин. Поэтому от реализации ненужных товарно-материальных ценностей образуются не только прибыль, но и убытки.
Что касается реализации излишних основных фондов, то прибыль от этой реализации исчисляется как разница между продажной ценой и первоначальной (или остаточной) стоимостью фондов, которая увеличивается на соответствующий индекс, законодательно устанавливаемый в зависимости от темпов роста инфляции.
Последним элементом валовой прибыли являются внереализационные доходы и расходы, т.е. такие, которые непосредственно не связаны с производством и реализацией продукции. В составе этих внереализационных результатов учитываются следующие доходы (расходы): доходы от долевого участия в деятельности других предприятий; доходы от сдачи имущества в аренду; дивиденды, проценты по акциям, облигациям и другим ценным бумагам, принадлежащим предприятию; суммы полученных и уплаченных экономических санкций (штрафы, пени, неустойки и др.). В тех случаях, когда суммы санкций вносятся в бюджет, они не включаются в состав расходов от внереализационных операций и возмещаются за счет прибыли, остающейся в распоряжении предприятия.
Могут иметь место и другие внереализационные доходы (расходы), не связанные с производством и реализацией продукции (работ, услуг). Так, учитываются курсовые разницы (положительные и отрицательные) по валютным счетам, а также по операциям в иностранной валюте.
В настоящее время в условиях перехода к рыночной экономике в составе внереализационных результатов кроме сумм уплаченных и полученных штрафов, пеней, неустоек и других санкций, появились новые элементы, связанные с предпринимательской деятельностью. Это доходы от долевого участия в деятельности других предприятий, доходы от сдачи имущества в аренду, дивиденды и проценты по акциям, облигациям и другим ценным бумагам, принадлежащим предприятию. Поступление этих доходов обусловлено процессом разгосударствления и образования предприятий различных форм собственности - арендных, акционерных, совместных и других типов.
Когда одни предприятия участвуют на долевых началах в деятельности других предприятий, то при успешном функционировании последних они имеют определенный долевой доход, учитываемый в составе внереализационных результатов.
С развитием арендных отношений многие предприятия в целях получения доходов сдают часть своего имущества, включая помещения, сооружения, оборудование и т.д., в аренду на более или менее длительный срок. Сдача имущества в аренду может принимать в результате форму аренды с выкупом. В итоге предприятие получает доход, увеличивающий внереализационные доходы, следовательно, и валовую прибыль.
С развитием акционерной формы собственности предприятия выпускают акции, облигации и другие ценные бумаги, способствующие повышению доходности, рентабельности предприятий. Уровень доходности на выпущенные акции, облигации принимает форму дивидендов и процентов. В зависимости от типа акций складывается уровень дивидендов на них.
При выпуске простых (обыкновенных) акций размер дивидендов зависит от суммы полученной прибыли, от возможности направления на выплату дивидендов части этой прибыли с учетом других затрат из прибыли, от доли привилегированных акций в общем их количестве и объявленного по ним уровня дивидендов, от величины уставного капитала и общего количества акций, выпущенных в обращение.
Традиционно включаемые в состав внереализационных доходов и расходов штрафы, пени и неустойки имеют непостоянный характер. При этом штрафы, пени и неустойки уплаченные могут превышать полученные. Тогда образуются убытки, сокращающие внереализационную прибыль.
Если же сумма экономических санкций, полученных данным предприятием, превышает уплаченные, то внереализационные доходы увеличиваются. Все будет зависеть от характера деятельности данного предприятия, соблюдения расчетно-платежной дисциплины, выполнения обязательств по поставкам, платежам в бюджет, поставщикам и банкам.
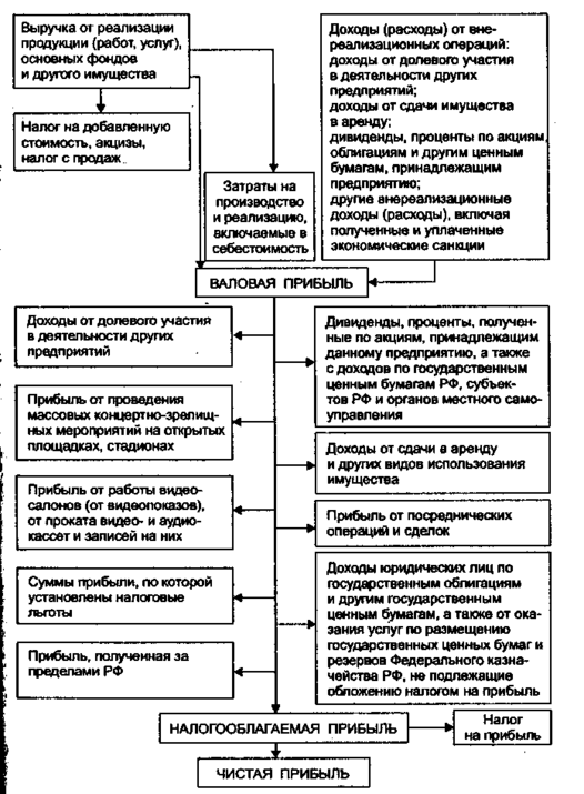
Состав и распределение валовой прибыли, а также виды прибыли предприятия наглядно отражено на рис. 1.
Рис.1. Образование и распределение валовой прибыли
Итак, анализ состава валовой прибыли предприятия показал ведущее значение прибыли от реализации продукции (работ, услуг), сравнительно небольшую роль прибыли от прочей реализации, а также от реализации основных фондов и другого имущества и усиливающееся в условиях развития предпринимательства значение внереализационных доходов и расходов.
Прибыль как конечный финансовый результат деятельности предприятий представляет собой разницу между общей суммой доходов и затратами на производство и реализацию продукции с учетом убытков от различных хозяйственных операций. Таким образом, прибыль формируется в результате взаимодействия многих компонентов как с положительным, так и отрицательным знаком.
1.3 Методы планирования прибыли предприятия
Важнейшая роль прибыли, усиливающаяся с развитием предпринимательства, определяет необходимость правильного ее исчисления. От того, насколько достоверно определена плановая прибыль, будет зависеть успешная финансово-хозяйственная деятельность предприятия.















