177915 (627583), страница 8
Текст из файла (страница 8)
КС = К/Ц,
где К — общий уровень потребительского эффекта с учетом различных его показателей;
Ц — цена потребления или владения, включающая цену покупки и стоимость эксплуатации и утилизации.
Показатели качества, которыми оценивается уровень потребительского эффекта, выбираются экспертами. Так, для хлебобулочной продукции к таким показателям относятся свежесть хлебобулочных изделий, вкусовые качества и внешний вид.
Цена потребления или владения включает стоимость товара на рынке или в магазине и те деньги, которые потребитель платит в течение срока его эксплуатации.
Приступим теперь к описанию этапов алгоритма расчета конкурентоспособности продукта:
-
разработать на основе знания рынка и требований к товару совокупности показателей его качества;
-
выбрать из этой совокупности несколько важнейших показателей, назовем их параметрами качества;
-
получить количественные характеристики значимости (аi) каждого из i параметров путем опроса экспертов при соблюдении условия i = 1, m:
-
сформулировать модель эталона — образца товара в разрезе выбранных параметров с позиции покупателей, задав его количественные оценки (niэ);
-
разработать количественные оценки тех же самых параметров качества своему изделию (ni) и по изделию-конкуренту (nik);
-
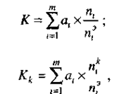
оценить уровень качества или потребительского эффекта своего товара (К) и товара-конкурента (Kk) по формулам
где аi — количественная оценка значимости i-го параметра качества;
ni, nik — количественная оценка i-го параметра качества соответственно по своему изделию и по изделию-конкуренту;
i — номер параметра качества;
m — количество параметров качества;
niэ — количественная оценка i-го параметра качества эталона — образца товара с позиции покупателей;
7) рассчитать цену Ц потребления своего товара и установить цену Цk потребления товара-конкурента с учетом отпускной или розничной цены и эксплуатационных расходов в период пользования товаром.
Расчет цены Ц потребления своего товара выполняют работники отдела маркетинга, учитывая при этом себестоимость товара, планируемую прибыль, НДС и акциз;
8) рассчитать интегральный КС — показатель конкурентоспособности своего товара по отношению к товару-конкуренту:
9) если свой товар планируется экспортировать, то необходимо проверить выбранные параметры качества на соответствие интернациональным или национальным стандартам предполагаемого импортера. Если хотя бы один из нормативных параметров не соответствует установленному стандарту, необходимо такое несоответствие устранить.
При этом конечная формула для КС примет такой вид:
где Пni, — произведение всех ni;
ni — параметр качества, учтенный в зарубежном стандарте; ni = 0 - несоответствие стандарту;
ni = 1 — соответствие стандарту.
Если хотя бы один из параметров качества будет равен 0, то КС не будет иметь смысла.
Применим данную методику на данных продукции – печенье «Сдобное» - рассматриваемого предприятия ООО «Махаон».
Пусть наша фирма спроектировала и создала продукт, по которому отдел маркетинга в соответствии с алгоритмом, используя опросы экспертов, выполнил п.п. 1—5 этого алгоритма (табл. 3.10).
Таблица 3.10
| Выбранные экспертами качества | Количественные характеристики | ||||
| niэ | ni | niк | аi | ||
| Свежесть продукции, баллов | 10 | 7 | 6 | 0,3 | |
| Вкусовые качества, баллов | 10 | 6 | 7 | 0,4 | |
| Экологичность, баллов | 10 | 8 | 9 | 0,2 | |
| Внешний вид, баллов | 10 | 7 | 8 | 0,1 | |
Теперь, используя формулы, определим КС нашего продукта.
К = 0,3 (7/10) + 0,4 (6/10) + 0,2 (8/10) + 0,1 (7/10) = 0,21 + 0,24 + 0,16 + 0,07 = 0,68
Кк = 0,3 (6/10) + 0,4 (7/10) + 0,2 (9/10) + 0,1 (8/10) = 0,18 + 0,28 + 0,18 + 0,08 = 0,72
Пусть известно, что Цк = 20 руб., а Ц = 22 руб. ха 1 кг печенья. Этих данных достаточно, чтобы по формуле рассчитать КС:
0,68 х 20
КС = = 0,859
0,72 х 22
Считается, что если КС < 1, то фирма предлагает на рынок явно неконкурентоспособный товар и необходимо изменить его технические и экономические характеристики. Более того, считается, что превышение данного значения на 10—20% слишком мало, чтобы быть уверенным в успехе на рынке. Однако если это превышение составляет 30—50%, то считается, фирма занимает на рынке достаточно устойчивое положение.
Превышение в 50—70% по конкурентоспособности говорит о верности выбранного направления действий фирмы на рынке, но достижения необходимо наращивать и думать о том, как их сохранить.
Принято считать, что для гарантированного вывода своего изделия на любой новый рынок фирма должна иметь по нему КС > 1,4.
Исходя из вышесказанного можно сделать следующие выводы по нашему примеру:
а) поскольку К < Kk, наша фирма проигрывает конкуренцию еще на стадии создания товара и должна принять меры к изменению технических параметров продукции и приближению их к эталонной модели;
б) если никакие изменения в нашем товаре уже невозможны, то вкладывать в него деньги нецелесообразно;
в) кроме увеличения К для повышения конкурентоспособности всегда имеет смысл просмотреть возможности снижения цены Ц.
При этом сразу можно ответить на вопрос: какой должна быть цена Ц для обеспечения конкурентоспособности нашего изделия на рынке. Для этого надо воспользоваться вышеприведенными рекомендациями и принять, что КС должно быть больше, чем 1,4.
Рассмотрим теперь с учетом вышеприведенного алгоритма стратегии повышения конкурентоспособности хлебобулочной продукции на примере вывода на местный рынок одного из конечных продуктов – печенья «Сдобного».
Для определенности будем считать, что наша хлебобулочная продукция обладает характеристиками, показанными в табл. 3.10.
Примем, что Ц = Цк = 20 руб. и используя уже рассчитанные значения К и Kk, определим КС как базовую величину для дальнейшего анализа:
Убедившись, что полученное при расчете значение КС меньше необходимого значения, равного 1,4, приступаем к поиску направлений повышения величины КС. Сначала составим применительно к нашему примеру перечень возможных действий, исходя из анализа таблицы:
а) увеличить КС за счет снижения цены Ц;
б) увеличить КС за счет улучшения вкусовых качеств;
в) увеличить КС за счет улучшения внешнего вида (упаковка, дизайн, аппетитность) продукции.
Улучшение экологичности хлебобулочной продукции как направление повышения КС держим в резерве, так как это направление зависит от поставщиков материальных ресурсов.
Рассматриваем каждое из направлений подробнее:
а) за счет цены.
Исходя из формулы и рекомендаций по желаемому значению КС, рассчитываем конкурентную цену нашего изделия:
Далее выявляем себестоимость продукции (15,38 руб.) и уровень прибыли в цене по отношению к себестоимости (30%). Учитываем, что НДС равны 0, а транспортные расходы для простоты в первом расчете учитывать не будем. Как видно из расчета, даже при нулевой прибыли конкурентная цена нашего изделия меньше себестоимости, что невозможно.
Устанавливаем цену Ц на уровне 18 руб. за 1 кг, тогда прибыль будет равна 2,62 руб., или 17,03% от себестоимости. При этом КС будет равна:
Делаем первый вывод: за счет снижения цены можно повысить КС, но этого снижения недостаточно для вывода хлебобулочной продукции на рынок;
б) за счет улучшения вкусовых качеств. Посмотрим, что нам даст увеличение показателя вкусовых качеств хлебобулочной продукции до 8 баллов (осторожная оценка) с учетом изменения цены до 18 руб.
По формуле имеем:
== 0,21 + 0,4 (8/10) + 0,16 + 0,07 = 0,76
Подставляем К в формулу:
0,76 х 20
КС = = 1,173.
0,72 х 18
И вновь КС < 1,4, следовательно, за счет первых двух направлений достичь желаемого результата не удается;
в) за счет увеличения внешнего вида.
Сразу попытаемся определить необходимое значение внешнего вида хлебобулочной продукции с учетом изменений в цене и в вкусовых качествах, обозначив искомое значение внешнего вида продукции через х:
Поскольку такое значение внешнего вида недостижимо, возвращаемся к первым двум направлениям. Снижаем цену до 16 тыс. долл. (при этом рентабельность снизится до 4%), принимаем значения показателей по вкусовым качествам— равным 9 баллам, по внешнему виду — 10 годам.
Можно сделать вывод, что в данном случае попытка вывести нашу хлебобулочную продукцию на конкурентный рынок почти достижима. Однако уже видно, что, не изменяя технологию производства и обращения, а с ней связаны и завышенные издержки производства и обращения, обеспечить устойчивое положение нашей продукции на рынке довольно трудно.
Остается только использовать последний резерв и увеличить до 9 баллов свежесть хлебобулочной продукции, что позволит увеличить на 0,06 значение качества К. При этом величина КС также увеличится.
Задействовав все резервы, мы приблизились к желаемому результату, но не будем забывать, что улучшение внешнего вида продукции, улучшение вкусовых качеств и продление свежести продукции — все это потребует увеличения себестоимости, а резерв по рентабельности практически выбран полностью. Поэтому на последующих этапах расчет усложняется и в нем придется учитывать различные составляющие себестоимости: стоимость материалов, комплектующих и полуфабрикатов, амортизационные отчисления, заработную плату, расходы на командировки и др.
Таким образом, использование вышеприведенного алгоритма страхует производителей от капиталовложений в неконкурентоспособную продукцию и обеспечивает им поиск устойчивых позиций на рынке.
Литература
-
Александров Ю.А., Рычков В.А., Терещенко Н.Н. Анализ потребительского рынка хлеба и хлебобулочных изделий // Маркетинг в России и за рубежом. - 2001. - № 2. - С. 82.
-
Алексеева М.М. Планирование деятельности фирмы. – М.: Финансы и статистика, 1999. – 318 с.
-
Белолипецкий В., Мерзляков И. Финансовые ресурсы фирмы и их превращенные формы // Аудитор. – 1998. - №5. –с. 51-55.
-
Беляев В.К. Новое в управлении экономикой предприятия: Справ.-метод. пособие. – Иркутск.: Изд-во Иркут. ун-та, 1994. – 219 с.
-
Богатин Ю.В. Экономическая оценка качества и эффективности работы предприятия. – М.: Изд-во стандартов, 1999. – 216 с.
-
Большой экономический словарь. — М., 2002. — С. 298-299.
-
Браверман А.А. Маркетинг в российской экономике переходного периода: Методология и практика. -–М.: Экономика, 1999. – 639 с.
-
Воронов А.А. Оценка и менеджмент конкурентоспособности продукции. — Краснодар, 2003. – 346 с.
-
Гельвановский М., Жуковская В., Трофимова И. Конкурентоспособ
ность в микро-, мезо- и макроуровневом измерениях // Российский экономический журнал. — 2002. — № 3. - с. 67—77. -
Голубков Е.П. Маркетинговые исследования: теория, методология и
практика. — М.: Издательство «Финпресс», 2000. – 421 с. -
Госкомстат России: Российский статистический ежегодник. — М: Московский издательский дом, 2002, 2003 гг.
-
Гольдштейн Г.Я, Катаева А.В. Маркетинг: Учебное пособие для магистрантов. — Таганрог: Изд-во ТРТУ, 1999. — 107 с.
-
Гребнев Е.Т., Гаворин А.А. Организационно-экономические основы рыночного механизма. — М.: Российская экономическая академия, 2000. – 356 с.
-
Гурков И.Б., Титова Н.Л. Тенденции изменения конкурентоспособности отечественной продукции // Маркетинг. - 2000. - № 1. - с. 20-31.
-
Долинская М.Г., Соловьев И.Н. Маркетинг и конкурентоспособность
промышленной продукции. — М.: Изд-во стандартов, 1999. – 219 с. -
Еленева Ю.Я. Разработка и внедрение системы обеспечения конкурентоспособности в комплексе «предпринимательское дело»: Дис. канд. техн. наук. — М., 2000. – 189 с.
-
Завгородняя А.В., Кадзевич М.С. Маркетинг: Методы и процедуры: Учеб. пособие – Л: ЛФЭИ, 1999. – 111 с.
-
Захарченко В.И. Оценка и анализ конкурентоспособности предприятий //Машиностроитель. — 2002. — №11. — с. 13—17.
-
Зиннуров У.Г., Ильясова Л.Р. Проблемы оценки конкурентоспособности товаропроизводителей// Экономика и управление (Уфа). -2002. — № 4. — с. 47-52.
-
Колоскова И.Р. К вопросу государственного регулирования качества продовольствия //// Маркетинг в России и за рубежом. — 2002. — № 9. — с. 12-19.
-
Костин ИМ., Фасхиев Х.А. Измерение конкурентоспособности предприятий / Тезисы докладов Международной научно-практической конференции «Менеджмент организации XXI века». - Наб. Челны: КамПИ, 2001. - с. 115-117.
-
Лобанов М.М., Быков С.Н., Осипов Ю.М. Пороговая модель оценки конкурентоспособности продукции // Международная научно-практическая конференция «Организационные и экономические проблемы становления конкурентоспособного производства»: Сборник трудов в 4 т. Воронеж: Изд-во ВГТУ. 2001.- Т. 4. - С. 61-62.
-
Лобанов М.М. Обобщенная эконометрическая модель оценки конкурентоспособности продукции // Труды научно-практической конференции филиала ТПУ и Юргинского НТЦ Кузбасского отделения РИА: Сборник трудов. - Юрга: Изд.ТПУ, 2001. — С. 56-58.
-
Максимов И. Оценка конкурентоспособности промышленного предприятия // Маркетинг. - 2003. — № 3. — с. 33-39.
-
Моисева Н.К. Международный маркетинг: Учебник. — М.: Центр экономики и маркетинга, 1998. – 289 с.
-
Подузов А.А., Соловьев Ю.П., Сухорукова Г.М. Качество и цена продуктов питания// Проблемы прогнозирования. — 1999. — № 1. — С. 100—108.
-
Прокофьев В.Е. Анализ рынка хлебобулочный изделий в позиции социально-ориентированного маркетинга // Маркетинг в России и за рубежом. – 2003. – 34. – с. 12-18.
-
Родионова Л.Н., Кантор О.Г., Хакимова Ю.Р. Оценка конкурентоспособности продукции// Маркетинг в России и за рубежом. - 2002. - № 1. - с. 63-77.
-
Савицкая Г.В. Анализ хозяйственной деятельности предприятия: 2-е изд., перераб. и доп. – Мн.: ИП «Экоперспектива», 1999. – 498 с.
-
Светунъков С.Г., Литвинов А.А. Конкуренция и предпринимательские решения. — Ульяновск, 2000. — С. 118.
-
Сергеев В.Н. Проблемы развития пищевой промышленности // Пищевая промышленность. — 2000. — № 1. — с. 16.
-
Смирницкий Е.К. Экономические показатели бизнеса. — М., 2002. — с. 122-123.
-
Соколова Т.В. Маркетинговое исследование сбытовой сети хлебобулочных изделий // Маркетинг в России и за рубежом. — 2003. — № 4. — с. 27.
-
Таран В.А. Конкурентоспособность предприятий: проблемы современной политики и стратегия в области качества //Машиностроитель. – 2003. №2. – с. 6-12.
-
Уолш К Ключевые показатели менеджмента. Как анализировать, сравнивать и контролировать данные, определяющие стоимость компании / Пер. с англ. — М.: Дело. 2000. - 360 с.
-
Управление организацией: Учебник / Под ред. А.Г. Поршнева, З.П.Румянцевой, Н.А.Саломатина. – 2-е изд., перераб. и доп. – М.: ИНФРА-М, 1998. – 669 с.
-
Фасхиев Х.А. Оценка экономической эффективности качества и конкурентоспособности изделий // Вестник машиностроения. — 2003. — №10. — С. 59-66.
-
Фатхутдинов Р.А. Конкурентоспособность: экономика, стратегия, управление. — М.: ИНФРА-М, 2000. - 312 с.
-
Юданов А.Ю. Конкуренция: теория и практика: Учебное пособие. —
2-е изд. — М.: Гном-Пресс, 1998. – 309 с.
















