176931 (627203), страница 4
Текст из файла (страница 4)
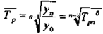
где
- первый и последний уровни рада, n - число уровней ряда.
- последний базисный темп роста.
=
=134,4%
Средний темп прироста
определяется по формуле:
За период с 1997 по 2001 г. ВВП увеличился с 2424047,7 до 7906900,0 млн. руб., при среднем годовом приросте 1096570,5 млн. руб., что составило 134,4%, т.е. ежегодное увеличение ВВП в России за период составило 34,4%.
Таблица 2
Абсолютные изменения ВРП Калужской области за 1997-2001 г.
| Годы | ВРП, млн. руб. | Абсолютный прирост, млн. руб. | Темп роста, % | Темп прироста, % | ||||
| цепной | базисный | цепной | базисный | цепной | базисный | |||
| t | у | |||||||
| 1997 | 10763,8 | - | - | - | - | - | - | |
| 1998 | 17226,4 | 6462,6 | 6462,6 | 160,0 | 160,0 | 60,0 | 60,0 | |
| 1999 | 25655 | 8428,6 | 14891,2 | 148,9 | 238,3 | 48,9 | 138,3 | |
| 2000 | 33958,5 | 8303,5 | 23194,7 | 132,4 | 315,5 | 32,4 | 215,5 | |
| 2001 | 26107,4 | -7851,1 | 15343,6 | 76,9 | 242,5 | -23,1 | 142,5 | |
Сделаем выводы по расчетной таблице 2.
За период с 1997 по 2001 годы произошли следующие изменения:
в 1998 г. ВРП увеличился на 6462,6 млн. руб., что составило 160,0%, т.е. увеличился на 60,0% по сравнению с 1997 г.;
в 1999 г. ВРП увеличился на 8428,6 млн. руб., что составило 148,9%, т.е. увеличился на 48,9% по сравнению с 1998 г., а по сравнению с 1997 г. ВРП увеличился на 14891,2 млн. руб., что составило 238,3,%, т.е. увеличился на 138,3%;
в 2000 г. ВРП увеличился на 8303,5 млн. руб., что составило 132,4%, т.е. увеличился на 32,4% по сравнению с 1999 г., а по сравнению с 1997 г. ВРП увеличился на 23194,7 млн. руб., что составило 315,5%, т.е. увеличился на 215,5%;
в 2001 г. ВРП уменьшился на 7851,1 млн. руб., что составило 76,9%, т.е. уменьшился на 23,1% по сравнению с 2000 г., а по сравнению с 1997 г. ВРП увеличился на 1343,6 млн. руб., что составило 242,5%, т.е. увеличился на 142,5%.
Средний абсолютный прирост равен:
= 15343,6 / 5 = 3068,72 млн. руб. —
средний уровень абсолютного прироста ВРП в год.
Средний темп роста равен:
=
=124,8%
Средний темп прироста равен:
За период с 1997 по 2001 г. ВРП увеличился с 10763,8 до 26107,4 млн. руб., при среднем годовом приросте 3068,72 млн. руб., что составило 124,8%, т.е. ежегодное увеличение ВРП в Калужской области за период составило 24,8%. Стоит отметить, что в 2000 г. произошло снижение ВРП по сравнению с предыдущим годом.
Представим на графике динамику изменения ВВП и ВРП:
Рис. 1. Динамика прироста ВВП и ВРП
Как видно на графике ВВП и ВРП имеют тенденцию к снижению ежегодного прироста валового продукта. Причем в Калужской области прирост ВРП на протяжении рассматриваемого периода был меньше чем ВВП по России в целом за исключением 2000 года, а в 2001 году прирост ВРП в нашем регионе вообще отрицательный.
Определим основную тенденцию изменения ВВП и ВРП методом аналитического выравнивания по прямой.
Для выражения ряда динамики по прямой используется уравнение
Где
- уровни, найденные по данному уравнению, а, b - параметры уравнения, t- время.
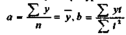
Тогда параметры уравнения определяют по формулам:
где у - уровни ряда, n - число уровней.
Для нахождения параметров а и b составим расчетную таблицу (табл.3).
Таблица 3
Расчетная таблица для определения параметров а н b уравнения прямой ряда динамики ВВП Российской Федерации
| Годы | t | y | yt | t2 |
| 1997 | -2 | 2424047,7 | -4848095,4 | 4 |
| 1998 | -1 | 4149289,6 | -4149289,6 | 1 |
| 1999 | 0 | 6219253,8 | 0 | 0 |
| 2000 | 1 | 7830341,5 | 7830341,5 | 1 |
| 2001 | 2 | 7906900 | 15813800 | 4 |
| Итого | 0 | 28529832,6 | 14646756,5 | 10 |
Найденное значение а = 5705966,5.
= 14646756,5 / 10 = 1464675,65
Тогда уравнение прямой имеет вид:
= 5705966,5 + 1464675,65t.
Составим график динамики ВВП.
Рис. 2. График динамики ВВП Российской Федерации
Составим уравнение для ВРП Калужской области.
Таблица 4
Расчетная таблица для определения параметров а н b уравнения прямой ряда динамики ВВП Российской Федерации
| Годы | t | y | yt | t2 |
| 1997 | -2 | 10763,8 | -21527,6 | 4 |
| 1998 | -1 | 17226,4 | -17226,4 | 1 |
| 1999 | 0 | 25655 | 0 | 0 |
| 2000 | 1 | 33958,5 | 33958,5 | 1 |
| 2001 | 2 | 26107,4 | 52214,8 | 4 |
| Итого | 0 | 113711,1 | 47419,3 | 10 |
Найденное значение а = 22742,2
= 47419,3 / 10 = 4741,93
Тогда уравнение прямой имеет вид:
= 22742,2 + 4741,93t.
Изобразим динамику ВРП Калужской области на графике.
Рис. 3. Динамика ВРП Калужской области
Сравнивая графики динамики валового продукта в России и в Калужской области видно, что в обоих случаях присутствует тенденция увеличения валового продукта. ВВП увеличивается быстрее чем ВРП Калужской области, отрицательным моментом является снижение ВРП в 2001 г.
Заключение
Измеряемые на макроуровне экономические процессы характеризуются следующими показателями.
Выпуск товаров и услуг представляет собой суммарную стоимость товаров и услуг, являющихся результатом производственной деятельности единиц-резидентов экономики в отчетном периоде и имеющих рыночный и нерыночный характер.
Промежуточное потребление состоит из стоимости товаров и услуг, которые трансформируются или полностью потребляются в отчетном периоде в процессе производства других товаров и услуг. Потребление основного капитала (амортизация) не входит в состав промежуточного потребления.
Налоги на производство и импорт включают в себя налоги на продукты и другие налоги на производство:
Субсидии на продукты — это текущие некомпенсируемые выплаты из Государственного бюджета предприятиям при условии производства ими определенного вида товаров или услуг.
Валовая добавленная стоимость — вновь созданная стоимость в процессе производства продуктов и услуг. Стоимость, добавленная к стоимости потребленных в этом процессе продуктов и услуг.
















