176043 (626778), страница 3
Текст из файла (страница 3)
Табличные данные и рисунок отражают затухающие колебания национального дохода, совокупного потребления и производных инвестиций. Если бы действовал только один мультипликатор, то при данном варианте автономного инвестирования система устремилась бы к новому равновесному состоянию. Подключение акселератора привело к волнообразным колебаниям экономической системы. Таким образом, форма экономических колебаний определяется значениями акселератора и предельной склонности к потреблению.
Формула совокупного спроса yt=MPC·yt-2 + Ita +b(yt-1-yt-2) представляет собой неоднородное разностное уравнение второго порядка. Если его преобразовать в однородное и решить, то мы получим пару комплексных корней b1,2 = (1 ± (1-МРС)
)2. Кривая ОЕ отражает значение b2, а кривая ЕК - значение b1. Выделяют четыре зоны парных значений МРС и b. В зависимости от того, в какую зону попадаем, мы получаем разный характер изменений национального дохода. В I и II зонах экономическая система стабильна. При этом в I зоне она характеризуется монотонным приближением к новому равновесию, а во П зоне - затухающими колебаниями. В III и IV зонах система неустойчива. При этом в III зоне колебания носят взрывной характер, а в IV зоне происходит монотонное удаление от равновесного состояния. Точки кривой ОЕК представляют комбинации МРС и b, вызывающие постоянные (равномерные) колебания дохода. Если теоретически взаимодействие мультипликатора и акселератора допускает взрывоопасные колебания, то на практике, как утверждает Дж. Хикс, взрывов не происходит, поскольку колебания дохода наталкиваются на определенные границы5. Верхний предел роста национального дохода задается уровнем полной занятости. Ударившись об этот «потолок» рост реального дохода прекращается. Тогда производные инвестиции сокращаются до нуля, что в свою очередь, приводит к сокращению общего спроса и дохода. В своем падении национальный доход наталкивается на нижний предел, определяемый величиной амортизационных отчислений для простого восстановления основного капитала. Отрицательно чистые капиталовложения не могут превышать величины «изношенного» капитала. Достигнув уровня последнего отрицательные инвестиции не меняются, а значит, сокращение дохода замедляется. А это, в свою очередь, ведет к сокращению отрицательных чистых капиталовложений, что обусловливает рост дохода, а за ним и индуцированных инвестиций. Таким образом, когда национальный доход достигает верхней или нижней границы, он меняет движение на противоположное, что исключает как взрыв, так и полное затухание цикла6. В наших числовых примерах мультипликатор и акселератор фигурируют в качестве постоянных величин. В реальной экономической жизни не существует постоянных коэффициентов мультипликации и акселерации в силу действия таких переменных факторов. Как научно-технический прогресс, сальдо торгового баланса, товарные запасы, степень монополизации производства и т. д. Хотя идея мультипликатора-акселератора принадлежит кейнсианской школе, она уже давно используется в макроэкономических моделях представителей других направлений экономической мысли.
2. Модели взаимодействия мультипликатора и акселератора
2.1 Модель Самуэльсона-Хикса
Модель Самуэльсона-Хикса включает в себя только рынок благ, и поэтому уровень цен и ставка процента предполагаются неизменными; объем предложения благ совершенно эластичен7.
Объем потребления домашних хозяйств в текущем периоде зависит от величины их дохода в предшествующем периоде
Ct = Ca,t + Cyyt-1,
где Ca - автономное потребление.
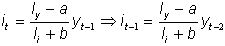
Предприниматели осуществляют автономные инвестиции, объем которых при заданной ставке процента фиксирован, и индуцированные инвестиции, зависящие от прироста совокупного спроса в предшествующем периоде
На рынке благ установится динамическое равновесие, если
| | , | (8) |
где
At = Сa,t + Ia,t.
Уравнение (8) является неоднородным конечно-разностным уравнением второго порядка, характеризующим динамику национального дохода во времени.
При фиксированной величине автономных расходов (At = A = const) в экономике достигается динамическое равновесие, когда объем национального дохода стабилизируется на определенном уровне
, т.е.
yt = yt-1 = yt-2 = ... = yt-n =
, где n - число периодов с неизменной величиной автономных расходов.
Из уравнения (8) следует, что
= A/(1 - Cy).
Посмотрим, какова будет динамика национального дохода, если в состоянии динамического равновесия изменится величина автономного спроса.
Освободимся от неоднородности в уравнении (8). Значения yt и
удовлетворяют равенству (8), поэтому можно записать следующее однородное конечно-разностное уравнение второй степени с постоянными коэффициентами:
| | , | (9) |
где
Так как yt =
+ yt, то направление изменения yt определяется направлением изменения
yt.
Из теории решения дифференциальных и конечно-разностных уравнений следует, что характер изменения
yt зависит от значения дискриминанта характеристического уравнения. Поскольку в данном случае дискриминант равен (Cy +
)2 - 4
, то динамика национального дохода зависит от предельной склонности к потреблению, определяющей величины
мультипликатора и акселератора.
Рис. 2. Четыре области сочетаний Cy
Если (Cy +
)2 - 4
> 0, то изменение yt происходит монотонно;
при (Cy +
) 2 - 4
< 0 оно будет колебательным. Следовательно, график функции
, изображенный на рис. 1, отделяет множество сочетаний Cy,
, обеспечивающих монотонное изменение yt, от множества комбинаций из значений Cy,
, приводящих к колебаниям yt.
Устремляется ли значение yt к некоторой конечной величине или уходит в бесконечность, зависит от значения последнего слагаемого характеристического уравнения. Если
< 1, то равновесие установится на определенном уровне. При
> 1 нарушенное 1 раз равновесие больше не восстановится. Когда
= 1 , тогда значение yt будет колебаться с постоянной амплитудой.
В результате все множество сочетаний Cy и
оказалось разделенным на пять областей, как это показано на рис. 1. Если значения Cy и
указывают на область I, то после нарушения равновесия в результате изменения автономного спроса значение yt монотонно устремится к новому равновесному уровню
При значениях Cy и
, находящихся в области II, национальный доход достигнет нового равновесного уровня, пройдя через затухающие колебания. Сочетания значений Cy и
, расположенные справа от перпендикуляра, опущенного из точки B на ось абсцисс, соответствуют нестабильному равновесию. Когда сочетания значений Cy,
указывают на область III, тогда динамика yt приобретает характер взрывных колебаний. Комбинации значений Cy,
в области IV приводят к тому, что после нарушения равновесия yt монотонно устремляется в бесконечность. И наконец, если акселератор равен единице, то при любом значении предельной склонности к потреблению в случае нарушения равновесия возникают равномерные незатухающие колебания yt.
В рассматриваемой модели динамика национального дохода в случаях, когда сочетания Cy,
соответствуют областям III и IV (см. рис. 2), представляется неправдоподобной: не может в коротком периоде объем производства многократно возрасти или снизится. Это противоречие объясняется тем, что в модели не были учтены два обстоятельства. Во-первых, произведенный национальный доход не может существенно превысить национальный доход полной занятости; этим ограничивается амплитуда колебаний объема национального дохода сверху. Во-вторых, как отмечалось в выше, объем отрицательных индуцированных инвестиций не может превысить сумму амортизации; это ограничивает амплитуду колебания национального дохода снизу. В результате, когда сочетания Cy,
соответствуют областям III и IV, модель взаимодействия мультипликатора и акселератора принимает вид
| |
где Iin,t = max{-D;
(yt-1 - yt-2)}, если yt < yF, и Iin,t = yt - Ct - Ia,t при yt
yF.
С учетом этих обстоятельств приращение автономных инвестиций приводит к колебаниям национального дохода даже при нахождении сочетания Cy,
в области IV.
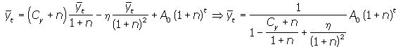
Включим в модель взаимодействия мультипликатора и акселератора еще один фактор - рост населения. Пусть в результате роста населения автономный спрос ежегодно увеличивается в (1 + n) раз. Тогда уравнение (8) принимает вид
| | . |
В этом случае вследствие мультипликативного эффекта величина равновесного национального дохода ежегодно будет возрастать в (1 + n) раз:
| | . | (10) |
Первый сомножитель в правой части выражения (3) называют супермультипликатором Хикса. Он показывает, насколько увеличивается совокупный спрос в году t, если в дополнение к ежегодному росту автономного спроса, обусловленного ростом населения, на единицу возрастут автономные инвестиции8.
Вследствие ежегодного увеличения населения с тем же темпом будут расти автономные расходы и национальный доход полной занятости - верхний предел возможных колебаний национального дохода
yF,t = yF,0(1 + n)t.
Экзогенный рост автономного спроса повышает и нижнюю границу колебаний национального дохода, даже если допустить рост амортизационных отчислений с тем же темпом, что и автономный спрос
Dt = D0(1 + n)t = -In,t,min.
Тогда в ситуациях, соответствующих областям III и IV, после увеличения автономного спроса с темпом (1 + n) колебания национального дохода будут происходить в наклонном коридоре.
2.2 Модель Тевеса
Т. Тевес дополнил модель Самуэльсона-Хикса рынком денег, который в соответствии с моделью IS-LM взаимодействует на рынок благ через ставку процента. В используемых нами обозначениях динамическая функция спроса на деньги в модели Тевеса имеет вид9
| | , |
т.е. в текущем периоде спрос на деньги для сделок зависит от дохода предшествующего периода, а спрос на них как имущество - от текущей ставки процента, что вытекает из предназначения каждой из частей кассовых остатков. Предложение денег задано экзогенно и равно M.
При заданном уровне цен P = 1 на рынке денег установится динамическое равновесие, если
| | . | (11) |
Решив равенство (4) относительно it, получим
| | . | (12) |
Из-за того, что теперь ставка процента не постоянна, нужно из суммы автономных расходов выделить автономные инвестиции; при этом предполагают, что их объем в текущем периоде зависит от ставки процента предшествующего периода,
| |
Тогда уравнение (1) принимает вид
| | (13) |
Подставив значение it-1 из уравнения (12) в уравнение (13), после преобразований получим
| | (14) |
где
Уравнение (14) определяет динамику национального дохода после приращения автономных расходов при взаимодействии рынка благ с рынком денег.
График функции
отделяет множество сочетаний Cy,
(
+
), приводящих к монотонному изменению объема эффективного спроса, от множества сочетаний этих же параметров, приводящих к его колебаниям. На рис. 2 показана разделительная линия при
= 0,5; для сравнения на нем пунктирной линией воспроизведен график, представленный на рис. 1.
Рис. 3. Сдвиг областей, определяющих динамику национального дохода при взаимодействии рынка благ с рынком денег
Устойчивость или неустойчивость совместного динамического равновесия на рынках благ зависит от значения суммы
+
. Если
+
< 1, то равновесие устойчиво, при
+
> 1 после нарушения равновесия оно не восстановится, а при
+
= 1 экзогенный толчок в виде приращения автономного спроса приведет к равномерным незатухающим колебаниям эффективного спроса около своего равновесного значения.
Поскольку по своей природе
величина положительная, то теперь разделительная линия проходит выше, чем в модели Самуэльсона-Хикса. Но из-за того, что предельная склонность к потреблению не может превышать единицу, все точки, лежащие выше линии Cy = 1, не имеют экономического смысла.
Как следует из рис. 3, с включением в модель рынка денег область устойчивого равновесия сокращается на заштрихованную площадь; это уменьшение тем больше, чем выше
. Посредством модели Тевеса можно показать возможности банковской системы в регулировании конъюнктурных колебаний экономической активности. Если Центральный банк при определении объема предложения денег будет ориентироваться на величину реального национального дохода предшествующего периода и текущую ставку процента, то функция предложения денег примет вид
где a, b - параметры регулирования количества денег в обращении. В этом случае равновесие на рынке денег достигается при
Отсюда
| | ; | (14) |
Подставив значение it-1 из выражения (14) в уравнение (15), после преобразований получим
Теперь кривая, разделяющая области монотонного и колебательного изменений yt, описывается формулой
. Разделительная линия сдвигается вниз, если h > 0, т.е. при a > ly, но в этом случае, как следует из равенства (15), ставка процента будет отрицательной. Следовательно, путем соответствующего подбора параметров a и b Центральный банк может влиять на характер развития экономической конъюнктуры после экзогенного импульса.
2.3 Модель Калдора
В модели взаимодействия мультипликатора и акселератора конъюнктурные колебания в экономике возникают вследствие экзогенного импульса - изменения величины автономного спроса или количества денег. В модели Калдора причинами циклического развития экономики являются эндогенные факторы. В основе этой модели лежат специфические функции инвестиций и сбережений. Н. Калдор исходил из того, что в коротком периоде объем инвестиций зависит от величины реального национального дохода. Причем зависимость эта нелинейна10. При низком уровне занятости рост национального дохода почти не увеличивает инвестиции, так как имеются свободные производственные мощности. Малоэластичны инвестиции по доходу и в периоды избыточной занятости и высокого уровня национального дохода, так как в такие периоды инвестирование связано с большими издержками из-за высоких ставок процента и заработной платы. В фазе подъема, т.е. при переходе от низкой к высокой занятости, эластичность инвестиций по доходу больше единицы в связи с ростом реального капитала. Графический вид функции инвестиций в модели Калдора представлен на рис. 4.
Рис. 4. Функция инвестиций Калдора
Рис. 5. Функция сбережений Калдора
Рис. 6. Неоднозначность равновесия
Сбережения в коротком периоде тоже являются нелинейной возрастающей функцией от дохода. При низком уровне дохода предельная склонность к сбережению относительно велика, так как домашние хозяйства стремятся за счет сбережений поскорее перейти на более высокий уровень благосостояния. Когда уровень дохода стабилизируется на среднем уровне, люди снижают долю сберегаемого дохода. Если доходы существенно превышают средний уровень, то предельная склонность к сбережению снова увеличивается. График нелинейной функции сбережений показан на рис. 5.
В среднесрочном периоде объемы сбережений и инвестиций зависят также от времени: S = S(y,t), I = I(y,t). Если на протяжении нескольких лет экономика растет, то объем сбережений увеличивается при любом уровне дохода. На графике это отображается сдвигом кривой S = S(y,t) вверх. График функции инвестиций в периоды продолжительного роста экономической активности, наоборот, смещается вниз. Это объясняется тем, что за время продолжительного экономического роста капиталовооруженность труда приближается к своему оптимальному при данной технологии значению.
Специфика функций сбережений и инвестиций в модели Калдора приводит к неоднозначности равновесия на рынке благ: равенство I(y) = S(y) может существовать при трех различных значениях реального национального дохода, как показано на рис. 6.
Точки A, B, C представляют различные варианты статического равновесия на определенный момент времени. Причем равновесие в точке B неустойчиво, а в точках A и C устойчиво.
В точке B равновесие неустойчиво, так как при yA < y < yB сбережения превышают инвестиции и на рынке благ образуется избыток, который ведет к сокращению производства. Когда yB < y < yC, тогда объем инвестиций превышает объем сбережений и на рынке благ возникает дефицит, который стимулирует расширение производства.
Из аналогичных рассуждений следует, что в точках A и C равновесие устойчиво. Отклонение от A или C вправо приводит к избытку благ и сокращению их производства, а отклонение влево - к дефициту и расширению производства.
Хотя равновесие в точках A и C устойчиво, но это равновесие короткого периода. Состояние экономической конъюнктуры, соответствующее точке A, характеризуется малым объемом инвестиций, который недостаточен даже для полного возмещения изношенного капитала. Сокращение действующего капитала через некоторое время увеличит склонность предпринимателей к инвестициям, и спрос на них возрастет, что отобразится на рис. 6 сдвигом графика I(y,t) вверх. В результате равновесие нарушится.
Точка C представляет равновесное состояние при высокой экономической активности. Если оно продлится в течение нескольких периодов, то в результате достижения оптимального размера капитала спрос на инвестиции начнет снижаться, что отобразится на рис. 6 сдвигом графика инвестиций вниз, и экономика выйдет из равновесного состояния.
Рассмотрим теперь процесс изменения экономической конъюнктуры. Пусть в исходном моменте национальный доход равен y0 (см. рис. 6). Поскольку в этом случае инвестиции превышают сбережения, на рынке благ образуется дефицит, который стимулирует рост производства. Когда национальный доход возрастет до yC, тогда установится устойчивое равновесие. Если такое состояние конъюнктуры сохранится надолго, то вследствие длительного роста благосостояния домашние хозяйства увеличат размер сбережений смещая график S вверх. Одновременно кривая инвестиций вследствие приближения объема капитала к оптимальному размеру начнет сдвигаться вниз. Встречное движение графиков функций сбережений и инвестиций приведет к совмещению точек B и C (рис. 7).
Рис. 7. Смещение кривых I и S в фазе бума
В результате краткосрочное равновесие из устойчивого превратится в неустойчивое. Как только национальный доход станет меньше yB,C, сбережения будут превышать инвестиции и из-за возникшего избытка на рынке благ производство начнет сокращаться, пока экономика не достигнет нового краткосрочного устойчивого равновесия в точке A. На некоторое время установится устойчивое равновесие при низком уровне экономической активности. При такой экономической конъюнктуре через некоторое время размер сбережений начнет сокращаться, что отразится сдвигом кривой S вниз. Кроме того, если в течение ряда лет объем производства сохранится на низком уровне, то запасы готовой продукции постепенно сократятся. В определенный момент возникнет дефицит благ, и это послужит сигналом к расширению производства и увеличению спроса на инвестиции; начнется сдвиг кривой I вверх.
Рис. 8. Смещение кривых I и S в фазе подъема
Встречное движение кривых S и I совместит точки A и B (рис. 8) и установится неустойчивое равновесие. Поэтому, когда при оживлении экономики объем производства будет превышать yA,B, на рынке благ возникнет дефицит, стимулирующий рост национального дохода до yC.
Так, пройдя через конъюнктурный цикл, экономика снова на некоторое время стабилизируется в условиях высокой экономической активности. Со временем по названным выше причинам кривая S начнет движение вверх при одновременном смещении кривой I вниз, и это знаменует начало очередного экономического цикла.
Заключение
Мультипликационный эффект тесно взаимосвязан с акселеративным эффектом. Понятие акселератора было введено французским экономистом Р. Афтальоном в 1903 г., но неокейнсианские теоретики цикла - П. Самуэльсон, Дж. Хикс, Э. Хансен и др. детально разработали и использовали принцип акселерации при задании инвестиционной функции. Принцип акселерации представляет теорию индуцированных (производных) капиталовложений и связан с особенностями воспроизводства основного капитала. Если спрос постоянно растет, а наличные мощности находятся на пределе своих производственных возможностей, то тут появляются индуцированные инвестиции (Iин).
В реальной жизни мультипликатор и акселератор взаимодействуют. Допустим, экономическая система находится в состоянии равновесия. Для осуществления какого-нибудь технического нововведения требуется увеличение автономных инвестиций, следствием которого будет увеличение спроса и рост национального дохода. Прирост последнего, в свою очередь, приведет к появлению производных инвестиций. Следовательно, эффект мультипликатора вызывает эффект акселератора и экономическая система из статического состояния переходит в динамическое.
Если теоретически взаимодействие мультипликатора и акселератора допускает взрывоопасные колебания, то на практике, как утверждает Дж. Хикс, взрывов не происходит, поскольку колебания дохода наталкиваются на определенные границы. Верхний предел роста национального дохода задается уровнем полной занятости. Ударившись об этот «потолок» рост реального дохода прекращается. Тогда производные инвестиции сокращаются до нуля, что в свою очередь, приводит к сокращению общего спроса и дохода. Хотя идея мультипликатора-акселератора принадлежит кейнсианской школе, она уже давно используется в макроэкономических моделях представителей других направлений экономической мысли.
Список литературы
-
Гальперин В.М., Игнатьев С.М., Моргунов В.И. Макроэкономика (в двух томах). Т.1. СПб., 1996; Т.2. СПб., 1999.
-
Добрынин А.И., Тарасевич Л.С. Экономическая теория: учебник. - СПб, Питер, 2005. – 623 с.
-
Леонтьев В.В. Экономические эссе. -М., Республика, 2006. -610 с.
-
Любимов Л. Л., Раннеева Н. А. Основы экономических знаний. М., 2006. – 523 с.
-
Майбурд Е. М. Введение в историю экономической мысли. От пророков до профессоров. М.: Дело, Вита-Пресс, 2006. – 410 с.
-
Макконел Кемпбелл Р., Брю Стенли Л. Экономикс: принципы, проблемы и политика. В 2 т.: Пер. с англ. 11-го изд. Т.1 – М.:, 2005. – 615 с.
-
Сидорович. В. А. Курс экономической теории. М.:Экономика.-2005.- 640 с.
-
Словарь современной экономической теории Макмиллана. – М.: ИНФРА-М, 2007.
-
Фишер С. и др. Экономика: Пер. с англ. / Общ. ред. Г. Г. Санова. М.: Дело, 2005. – 280 с.
1 Майбурд Е. М. Введение в историю экономической мысли. От пророков до профессоров. М.: Дело, Вита-Пресс, 2006. – С. 97
2 Сидорович. В. А. Курс экономической теории. М.:Экономика.-2005.- С. 189
3 Леонтьев В.В. Экономические эссе. -М., Республика, 2006. –С. 234
4 Добрынин А.И., Тарасевич Л.С. Экономическая теория: учебник. - СПб, Питер, 2005. – С. 134
5 Любимов Л. Л., Раннеева Н. А. Основы экономических знаний. М., 2006. – С. 103
6 Любимов Л. Л., Раннеева Н. А. Основы экономических знаний. М., 2006. – С. 109
7 Майбурд Е. М. Введение в историю экономической мысли. От пророков до профессоров. М.: Дело, Вита-Пресс, 2006. – С. 203
8 Майбурд Е. М. Введение в историю экономической мысли. От пророков до профессоров. М.: Дело, Вита-Пресс, 2006. – С. 144
9 Фишер С. и др. Экономика: Пер. с англ. / Общ. ред. Г. Г. Санова. М.: Дело, 2005. – С. 98
10 Сидорович. В. А. Курс экономической теории. М.:Экономика.-2005.- С. 211















