168702 (625181), страница 5
Текст из файла (страница 5)
Аналогично осуществляется реакция с использованием металлических солей гидрофосфорильных соединений (реакция Михаэлиса - Беккера):
(RO)2PONa + R'X –> R'P(O)(OR)2 + NaX
Этот синтез целесообразно проводить в условиях межфазного катализа.
Галогенангидриды органических кислот фосфора образуются присоединении РСl5 и родственных веществ к непредельным соединениям:
2PCl5 + RCH=CH2 –> RCHClCH2PCl4PCl6
При взаимодействии алканов или алкенов с РСl3 и кислородом образуются сложные смеси веществ, основными компонентами которых являются дихлорангидриды фосфоновых кислот (реакция окислительное хлорфосфонирование).
Ароматические соединения легко фосфорилируются РСl3, P2S5 и другими элекрофилами в условиях реакции Фриделя-Крафтса.
Алкилгалогениды в присутствии кислот Льюиса алкилируются PCl3 c образованием связи С–Р:
При нагревании белого и красного фосфора с арил- или алкилгалогенидами образуется смесь хлорфосфинов. Вариант этой реакции, представляющий практическое значение – алкилирование Р присутствии иода.
Связь С–Р образуется также при взаимодействии. галогенангидридов кислот фосфора с металлоорганическими соединениями, при этом один и несколько атомов галогена обмениваются на углеводородные радикалы:
PCl3 + RLi –> R3P + LiCl
4.3. АТФ
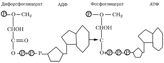
Важнейшая особенность фосфорных кислот - образование полифосфатов:
Подобные структуры являются фрагментами АТФ. Высвобождение и аккумуляция энергии в АТФ обеспечивается за счет обратимого гидролиза трифосфата до дифосфата и наоборот.
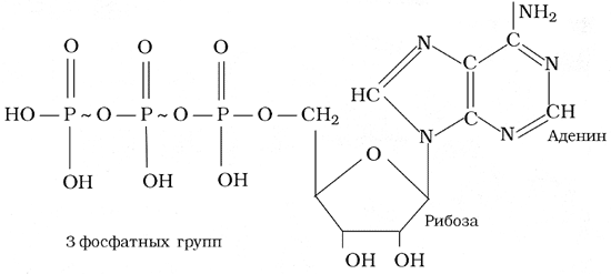
Молекула АТФ - это один своеобразный нуклеотид, который, как и другие нуклеотиды, состоит из трех компонентов: азотистого основания - аденина, углевода - рибозы, но вместо одного содержит три остатка молекул фосфорной кислоты. Связи, обозначенные значком ~, богаты энергией и называются макроэргическими. Каждая молекула АТФ содержит две макроэргические связи.
При разрыве макроэргической связи и отщеплении с помощью ферментов одной молекулы фосфорной кислоты освобождается 40 кДж/моль энергии, а АТФ при этом превращается в АДФ - аденозиндифосфорную кислоту. При отщеплении еще одной молекулы фосфорной кислоты освобождается еще 40 кДж/моль; образуется АМФ - аденозинмонофосфорная кислота. Эти реакции обратимы, то есть АМФ может превращаться в АДФ, АДФ - в АТФ.
Молекулы АТФ не только расщепляются, но и синтезируются, поэтому их содержание в клетке относительно постоянно. Значение АТФ в жизни клетки огромно. Эти молекулы играют ведущую роль в энергетическом обмене, необходимом для обеспечения жизнедеятельности клетки и организма в целом.
4.4. Фосфорные удобрения
«В 1839 г. англичанин Лауз впервые получил суперфосфат – фосфорное удобрение, легко усвояемое растениями».
| 4.4.1. Значение Одним из основных элементов питания растений является фосфор. Правильное его использование ускоряет рост и развитие растений, повышается урожай и качество сельскохозяйственной продукции. Согласно данным полевых опытов агрохимслужбы, внесение 90 кг фосфора на 1 га посевной площади в зависимости от почвы повышает урожайность озимой пшеницы на 400-500 кг/га, ячменя -- 300-600 кг/га, кукурузы -- 400-800 кг/га, подсолнечника -- 150-200 кг/га, сахарной свеклы -- 300-800 кг/га, картофеля -- 150-250 кг/га. Внесение фосфорных удобрений увеличивает содержание крахмала в клубнях картофеля, положительно влияет на накопление сахара в сахарной свекле. |
Прядильные культуры после внесения фосфорных удобрений имеют более длинное, прочное и тонкое волокно. Наряду с этим значительно увеличивается зимостойкость озимых зерновых культур, многолетних трав и плодово-ягодных культур, а также устойчивость растений при засухе. Особенностью фосфорных удобрений является также то, что они способствуют повышению эффективности действия других видов удобрений. На почвах с низким содержанием фосфора на 15-25% снижается эффективность азотных и калийных удобрений.
Большее количество фосфора содержится в товарной части урожая, поэтому значительная его часть отчуждается с продукцией. И если в природе существует кругооборот азота, в котором участвует атмосферный азот, то запасы фосфора в почве могут пополняться только благодаря внесению органических и минеральных удобрений.
Фосфорными удобрениями являются кальциевые и аммонийные соли фосфорной кислоты, а также некоторые другие соединения:
| Наименование удобрения | Формула | Содержание питательных веществ (%) | |||
| Суперфосфат простой, гранулированный и порошковидный | Ca(H2PO4)2*H2O + H3PO4 + CaSO4 | 14.0-21.0 P2O5 | |||
| Суперфосфат обогащенный | Ca(H2PO4)2+H3PO4 | 22.5-40.0 P2O5 | |||
| Суперфосфат двойной | Ca(H2PO4)2*H2O+H3PO4 | 40.0-50.0 P2O5 | |||
| Преципитат | CaHPO4*2H2O | 27.0-46.0 P2O5 | |||
| Мука фосфоритная | Ca3(PO4)2*CaF2 | 16.0-35.0 P2O5 | |||
| Шлак фосфорный (томасовский или мартеновский) | 4CaO*P2O5 + 5CaO*P2O5*SiO2 | 14.0-20.0 P2O5 | |||
| Термофосфат | Na2O*4CaO*P2O5*SiO2 | 20.0-35.0 P2O5 | |||
| Фосфат плавленый | 4(CaMg)O*P2O5 + 5(CaMg)O*P2O5*SiO2 | 20.0-35.0 P2O5 | |||
| Мука костяная | Ca3(PO4)2*CaCO3 + органические соединения | 30.0 P2O5 | |||
| Фосфат обесфторенный | 3CaO*P2O5 + 4CaO*P2O5*SiO2 | 20-38 P2O5 | |||
| Метафосфат кальция | Ca(PO3)2 | 65-70 P2O5 | |||
Полифосфат кальция | CanPnO(3n+1) | До 60,0 P2O5 23,0-24,0 CaO | |||
| Комплексные фосфорсодержащие удобрения | |||||
| Аммофос |
| 28-36 P2O5 | |||
| Аммофоска |
| 28-32 P2O5 | |||
| Нитроаммофос | | 26-36 P2O5 | |||
4.4.2. Классификация фосфорных удобрений.
Способы получения.
Фосфоритная мука
Получают при тонком размоле фосфоритов. Так как она содержит нерастворимую соль Ca3(PO4)2, то усваиваться растениями может только на кислых почвах.
Сырьем для производства фосфорных удобрений, фосфора и всех фосфорных соединений служат апатитовые и фосфоритовые руды. Состав апатитов чаще всего выражается формулой Са5(РО4)3F (фторапатит). Фосфориты отличаются от фторапатитов тем, что в них вместо ионов F- содержатся ионы ОН- или
. Фосфориты обычно содержат больше примесей, чем фторапатит.
В дореволюционной России были известны и разрабатывались лишь маломощные месторождения фосфоритов низкого качества. Поэтому событием огромного народнохозяйственного значения было открытие в 20-х годах месторождения апатита на Кольском полуострове в Хибинах. Здесь построена крупная обогатительная фабрика, которая разделяет добываемую горную породу на концентрат с высоким содержанием фосфора и примеси – «нефелиновые хвосты», используемые для производства алюминия, соды, поташа и цемента.
Мощные месторождения фосфоритов открыты в Южном Казахстане, в горах Каратау.
При обработке фосфоритов или аппатитов серной или фосфорной кислотой получают растворимые в воде соединения, хорошо усваемые растениями на любых почвах:
Ca3(PO4)2 + 2H2SO4 = Ca(H2PO4)2 + 2CaSO4
(Ca(H2PO4)2 простой суперфосфат
(обычно применяют в виде гранул Æ 2-4 мм))
Ca3(PO4)2 + 4H3PO4 = 3Ca(H2PO4)2
(двойной суперфосфат)
Нейтрализацией гашеной извести фосфорной кислотой получают преципитат:
H3PO4 + Ca(OH)2 = CaHPO4 • 2H2O
Нейтрализацией фосфорной кислоты аммиаком получают аммофос – (NH4)2HPO4 + NH4H2PO4, содержащий N и P. Разновидности: нитроаммофос – NH4H2PO4 + NH4NO3; аммофоска – (NH4)2HPO4 + NH4H2PO4 + KCl.
Агрохимические особенности некоторых удобрений
Удобрение | Химический состав | Форма фосфорной кислоты | Воздействие на почву |
| Суперфосфат простой | Ca(H2PO4)2++2CaSO4+H2O | Водорастворяемая | Уменьшает pH |
| Суперфосфат двойной | Ca(H2PO4)2++H2O | Водорастворяемая | Уменьшает pH |
| Преципитат | CaHPO4x2H2O | Растворяется в лимоннокислом аммонии | Несколько повышает pH |
5. ФОСФОРНОЕ СЫРЬЕ. ФОСФОРНАЯ ПРОМЫШЛЕННОСТЬ.
5.1. Исторический ракурс
С разведанными запасами фосфорного сырья в нашей стране, как и во всем мире, дело обстоит не совсем благополучно. Академик С.И. Вольфкович с трибуны IX менделеевского съезда по общей и прикладной химии заявил:
«Если сырьевая база азотной промышленности – воздушный океан, вода и природный газ – не ограничивает масштабов нового строительства, а разведанные к настоящему времени залежи калийных солей обеспечивают развитие производства калийных удобрений более чем на тысячелетие, то изученных к настоящему времени запасов отечественного фосфорного сырья при намеченных больших объемах производства удобрений хватит всего на несколько десятилетий».
5.2. Перспективы добычи
Это вовсе не значит, что человечеству грозит голод и урожаи год от года будут уменьшаться. Резервы есть. Много дополнительного фосфора можно будет получить при комплексной переработке минерального сырья, донных морских отложений и более детальной геологической разведке. Следовательно, особых оснований для пессимизма у нас пет, тем более что по учтенным запасам фосфорных руд СССР занимает первое место в мире. Мы располагаем крупнейшими месторождениями апатитов на Кольском полуострове и фосфоритов в Южном Казахстане и ряде других мест.
Но искать новые месторождения, разрабатывать способы получения фосфорных удобрений из более бедных руд необходимо уже сейчас. Это нужно для будущего, потому что фосфор – «элемент жизни и мысли» – будет необходим человечеству всегда.
Начало суперфосфатной промышленности
Первое в мире промышленное производство суперфосфата было организовано в 1842 г. в Англии. В России подобные предприятия появились в 1868 и 1871 гг. До революции в нашей стране было построено всего шесть суперфосфатных заводов, их общая производительность не превышала 50 тыс. т в год. В годы первой мировой войны, иностранной интервенции и гражданской войны четыре завода из шести вышли из строя, и в 1918 г. в нашей стране было выпущено всего 2,8 тыс. т суперфосфата. А всего через 20 лет, в 1938 г., по производству фосфорных удобрений Советский Союз занял первое место в Европе и второе место в мире. Сейчас доля нашей страны в мировом производстве фосфоритной руды и фосфорных удобрений составляет примерно четвертую часть.















