168700 (625180), страница 2
Текст из файла (страница 2)
містити такі конструкції, які достатні для найповнішого уявлення особливостей предметної сфери і самої системи;
надавати засоби перетворення KM в реалізаційні моделі (тобто в логічну та фізичну модель даних, у специфікації програмних компонентів, у граматики мов взаємодії тощо).
Предметна сфера ГІС являє собою складну систему (конгломерат) наших уявлень про відповідні категорії об'єктів і явищ реального світу. Вона відображає існуючий рівень наших знань із багатьох галузей науки і техніки: геодезії, географії, картографії, дистанційного зондування землі, фотограмметрії, дискретної математики, обчислювальної геометрії, математичної статистики та інших розділів математики, системного аналізу, теорії баз даних, програмування, комп'ютерної графіки, нових інформаційних технологій, теорії автоматизованих інформаційних систем та багатьох інших.
2.2 Парадигми в технології обробки геопросторових даних
Домінуючу роль картографічного моделювання та картографічної взаємодії в географічному підході важко переоцінити, адже якраз карта традиційно поєднує модельно-пізнавальну і комунікативну функції взаємодії усіх суб'єктів на всіх етапах життєвого циклу інформаційного продукту (замовників, виконавців і споживачів). Упродовж століть просторові дані і знання фіксувалися, накопичувалися та передавалися переважно в картографічній формі. Природно, що основним джерелом просторових даних для ПС до певного часу були картографічні матеріали. В технології збору та обробки просторових даних переважав картографічний підхід (мал. 2, а): на основі зібраних первинних даних спочатку створювалася карта, яка вподальшому сканувалася та векторизувалася з метою формування цифрової картографічної моделі для ГІС. В.А. Кайнц ще в 1987 р. підкреслював: "коли ми намагаємося створити моделі для картографічних об'єктів, то найчастіше поглядаємо на звичайні карти, тобто моделюємо модель реальності, а не саму реальність. У майбутній роботі основна увага має бути спрямована на пошук концепцій та абстракцій фактів реального cвіту”[16].
Мал. 2. Технології збору й обробки геопросторових даних при картографічному (а) та інформаційному (б) підходах.
Розвиток ГІС, GPS, цифрової фотограмметрії та цифрових методів ДЗЗ зумовив становлення наскрізних інформаційних технологій збору та обробки геопросторових даних (мал. 2, б), спричинив трансформацію геоінформаційних методів у самому картографуванні [1, 12]. Первинною продукцією інформаційних технологій є бази геопросторових даних, моделі об'єктів у яких не зазнають картографічних "спотворень", оскільки вони не зазнають ні генералізації, ні змін складу та роздільної здатності в контексті певного масштабу карти. Об'єкти в таких моделях відображаються з точністю й роздільною здатністю геодезичних вимірів та застосовуваних технологій збору первинних даних. Цифрові картографічні моделі, як і моделі інших геозображень, а також самі карти, перетворюються в похідну (від баз геопросторових даних) продукцію.
2.3 Концептуальна модель узагальненої ГІС
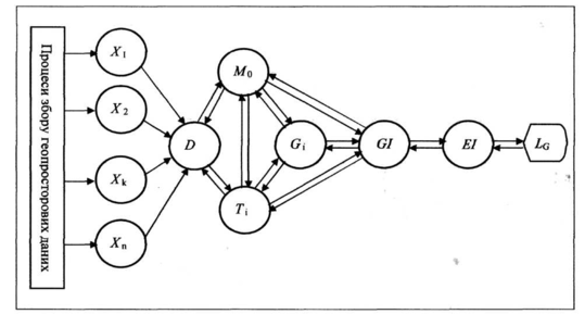
Концептуальна модель узагальненої ГІС як модель обробної системи (мал. 3) відображає процеси перетворення сукупності вхідної множини первинних даних у множину моделей в базі геопросторових даних та у множину комплексних геозображень, які надаються користувачам системи як результат моделювання для аналізу стану геосистеми та прийняття управлінських рішень. Термін "узагальнена ПС використано для підкреслення факту абстрагування від конкретної сфери її застосування.
Рис. 3. Концептуальна модель ГІС як обробної системи.
Формально така система С визначається як сукупність вхідних, проміжних і вихідних моделей геопросторових даних, процесів їх обробки і перетворення та формальних мов взаємодії процесів між собою і користувачів з системою. її можна записати так:
С = {X, D Mo, T, G, GI, El, Fij, L},
де: X - множина вхідних даних одержаних в процесі топографо-геодезичних знімань, GPS вимірювань, ДЗЗ тощо; D - база упорядкованих вхідних даних в уніфікованих форматах; Мо - модель базового набору геопросторових даних; Т - множина тематичних моделей геопросторових даних; G - множина моделей даних за спеціальними просторовими (геометричними) схемами, в тому числі тривимірні (3D) цифрові моделі рельєфу та місцевості; GI - цифрові моделі карт та інших геозображень; ЕІ - цифрові моделі електронних геозображень; Fij:Mi→Mj - функції перетворення моделі Мі в модель Mj, в томучислі: Fxd:Xi → D - перетворення первинних даних в уніфіковані формати, Fdm: D → Mо - створення (оновлення) моделі базового набору геопросторових даних на основі первинних; Fdm:D → Ті - створення тематичних моделей геопросторових даних на основі первинних, а також аналогічні прямі й зворотні перетворення для усіх інших моделей (в напрямку стрілок між моделями на мал. 3); L - множина формальних мов та інтерфейсів взаємодії процесів, у тому числі мова LG для подання електронних геозображень користувачам системи та інтерактивного доступу користувачів до гепросторових даних і програм їх обробки.
З точки зору користувачів можна говорити про комплексне перетворення вхідних даних в електронні геозображення Fd_ei: D → EI, в якому відбір моделей геопросторових даних та методів їх обробки визначається задачами та запитами користувачів. Але концептуально важливо розрізняти моделі геопросторових даних та моделі цифрових і електронних карт. Це різні сутності і за змістом і за структурою. Картографічне зображення описується в термінах мови умовних картографічних знаків, які означають, наприклад, тип, товщину та колір лінії, розмір та орієнтацію позамасштабного знака або тип і розмір шрифту для зображення написів, тощо.
Перетворення Fm_gi_ei:M0→GI→EI, Ft_gi_ei:T→GI→EI, Ft_gi_ei:G→GI→EI відносяться до перетворення з мови геоінформаційних моделей в мову засобів відображення електронних карт та інших геозображень. Моделі даних Мо, Т, G орієнтовані на програми просторового (геоінформаційного) аналізу і моделювання реального світу, а моделі GI, ЕІ описують картографічні зображення, орієнтовані на сприйняття людиною. В існуючій концепції цифрових карт, яка досі переважає в сучасних ГІС, на жаль, еклектично змішано зміст моделі геопросторових даних та моделі електронної карти. Такі цифрові картографічні моделі, з одного боку, не відповідають повною мірою вимогам геоінформаційного моделювання, а з іншого, є надлишковими для електронного відображення.
Для географічної інформації зв'язок "задача - джерело даних - дані - модель даних" є дуже важливим, оскільки деякі задачі можуть вирішуватися з різними обчислювальними витратами на різних моделях даних, а деякі - виключно на певних моделях даних (наприклад, пошук оптимального шляху можливий тільки на мережних моделях, а морфологічний аналіз рельєфу потребує його тривимірної моделі). Як правило, дані одержують у цифровій формі, яка залежить від технології їх збору, а потім перетворюють в інші форми, вибір яких визначається задачами моделювання і способами узагальнення та відображення результатів.
Інтегрування інформації з різних джерел та з різних форм уявлення ґрунтується на використанні єдиної для усіх моделей системи координат та єдиного базового набору геопросторових даних. До складу останнього входять геодезична (математична) основа, об'єкти гідрографії, рослинність, мережа транспортних шляхів, межі адміністративно-територіальних утворень.
Основний зміст зворотних перетворень у напрямку від користувача до моделей геопросторових даних полягає у визначенні набору об'єктів, що потрапляють у сферу інтересу (запит) користувача за просторово визначеною межею території дослідження та (або) за певними значеннями характеристик об'єктів. Підкреслимо, що карти і комплексні геозображення, але вже в електронному (екранному) варіанті, продовжують і в ГІС відігравати важливу роль. Вони залишаються не тільки засобом найбільш адекватного відображення моделі геопросторових даних на екрані дисплею, а й перетворюються в зручний інструмент динамічного доступу і взаємодії користувачів з базою геопросторових даних.
Ключовими словами картографічного моделювання в ПС стають „взаємодія” і "динаміка". Дослідники та й пересічні користувачі бажають, "натиснувши мишкою" на карті, одержати безпосередню та негайну реакцію системи з більш деталізованою інформацією про вибрані об'єкти (земельні ділянки, пам'ятки історії, будівлі, комунікації, шляхи, стан довкілля тощо) або, наприклад, одержати зображення та опис найкоротшого шляху між заданими пунктами, а, можливо, і "проїхати" по ньому з використанням комп'ютерних мультимедійних засобів та анімації. Остання, до речі, надає такі можливості просторово-часового моделювання, яких традиційна картографія ніколи не мала. Геозображення формуються з динамічною зміною масштабу, а їх зміст залежить переважно від повноти бази геопросторових даних, потреб і запитів користувачів, а не від картографічних правил і бачення картографів.
Таким чином, ГІС демократизує картографію і картографічне моделювання, оскільки географічні знання, створені й накопичені в програмах і базах даних, стають потенційно доступними усім зацікавленим користувачам (організаціям, професіоналам і пересічним громадянам). Як свого часу персональні комп'ютери забезпечили доступ до складних програм професіоналам без посередників-програмістів, так і ГІС перетворює в прямих учасників картографічного моделювання мільйони користувачів без посередників-картографів.
2.4 Концептуальне моделювання геопросторових даних
В ГІС ще й сьогодні переважає парадигма винятковості геопросторових даних, наслідком якої є різноманіття підходів та форматів від різних виробників інструментальних ГІС поряд з високим рівнем уніфікації представлення і обробки фактографічних даних в універсальних системахкерування базами даних (СКБД) на рівні стандартної мови SQL та уніфікованих механізмів і засобів доступу до даних. Така ситуація на початкових етапах розвитку ГІС, що випали на 80-ті роки минулого століття, мала об'єктивні причини, оскільки технології фактографічних даних дійсно не могли запропонувати геоінформатиці готових ефективних рішень для обробки просторових даних. Розширення сфер застосування ГІС у 90-х роках та їх практична спроможність перетворитися в засіб інтегрування різноманітних даних про навколишнє середовище стимулювали розвиток в універсальних СКБД засобів для представлення та маніпулювання просторовими і багатовимірними даними [7]. В геоінформаційних системах третього покоління ми спостерігаємо повне інтегрування ГІС з універсальними СКБД, а також їх вихід у глобальний інформаційний простір через Internet.
Така технологічна "зрілість" ПС, з точки зору універсальних методів інформаційних технологій, та ідеї об'єктно-орієнтованого погляду на світ при проектуванні інформаційних систем створюють умови для переходу на вищий теоретичний і практичний рівень в моделюванні і проектуванні геоінформаційних систем. Стосовно концептуального моделювання геопросторових даних це означає перехід від "графічного примітивізму" (з його основними концептами: "шар об'єктів", "лінійний об'єкт", "полігональний об'єкт", "точковий об'єкт або позамасштабний знак" тощо) до об'єктно-орієнтованих моделей реального світу, які ґрунтуються на категорії класів об'єктів, що мають просторові та фактографічні властивості, а також різноманітні просторові, топологічні та семантичні зв'язки і відношення.
"Графічний примітивізм" при моделюванні геопросторових даних успадкований від картографії, коли об'єкти розбиваються на групи за типом просторової локалізації. При цьому, як справедливо зазначено у праці [10], поняття просторової локалізації підмінюється поняттям розмірності, оскільки усі об'єкти розділяються на точкові, лінійні та площинні. Реальні ж об'єкти є фізичними тілами (дискретними об'єктами) або полями, а їх локалізація може бути точковою, лінійною, смуговою, площинною, просторовою, комбінованою і глобальною. Поля мають глобальний тип локалізації, оскільки існують у будь-якій точці земної поверхні або її частини, що моделюється. Дискретні об'єкти можуть мати будь-який тип просторової локалізації, крім глобального, а також мати множинне уявлення (multiple representations) геометричними моделями в базі геопросторових даних. Наприклад, вулиці можуть бути представлені осьовими лініями, двома осьовими у відповідності з напрямками руху, осьовими окремих сегментів або площинними (смуговими) об'єктами окремих ділянок. Разом з тим, осьові сегменти вулиць можуть входити до складу комплексного об'єкта типу вулично-дорожньої мережі або типу "маршрут певного транспортного засобу". Сказане, справедливе для моделювання річок, мережі залізниць тощо.
Таким чином, маємо досить складні відношення як між об'єктами реального світу та їх просторовими моделями, так і між певними елементами графічної моделі й моделями реальних об'єктів на рівні ситуаційного встановлення відношень. Аналогічно поля можуть бути представлені регулярними та нерегулярними сітками, TIN-моделями, ізолініями тощо. Для об'єктів реального світу характерні також відношення агрегування, композиції та асоціації, які практично не реалізуються в ПС з графічним підходом до геоінформаційного моделювання.
Загальні принципи визначення змісту концептуальних схем (КС) та підходи до моделювання проблемних сфер сформульовані в ДСТУ 3329 - 96 (ТОСТ 34.320 - 96) [7], який відповідає міжнародному стандарту ISO/TR 9007:1987 "Concepts and terminology for the conceptual schema and the information base". До основних складових змісту КС належать: описи класів (типів) сутностей проблемної сфери; описи понять, які найменше піддаються змінам; внесення правил або обмежень, які мають широкий вплив на поведінку проблемної сфери.
У стандартах рекомендовані два загальних принципи концептуальних схем: принцип 100 відсотків та принцип концептуалізації. Згідно з "принципом 100 відсотків" усі загальні аспекти проблемної сфери повинні бути описані в КС, причому інформаційна система не може відповідати за недотримання правил і законів, описаних поза концептуальною схемою. Згідно з "принципом концептуалізації" КС повинна містити статичні та динамічні аспекти проблемної сфери лише концептуального рівня, не торкаючись зовнішніх і внутрішніх аспектів подання та організації даних. Основними підходами до моделювання інформаційних систем та баз даних є: об'єктно-орієнтований підхід (ООП), підходи "сутність-атрибут-зв'язок"; підходи на основі бінарних і елементарних n-арних відношень та підходи на основі інтерпретованої логіки предикатів.
Об'єктно-орієнтований підхід в останні роки набув найбільшого поширення. Він охоплює всі етапи життєвого циклу інформаційних систем від концептуального моделювання до програмування, експлуатації та модернізації. ООП прийнятий за основу також і при розробці серії стандартів ISO 19100 - Географічна інформація/Геоматика [9], в яких для концептуального моделювання широко використовується уніфікована мова моделювання UML (Unified Modeling Language) [11], мова опису інтерфейсів IDL (Interface Description Language) та мова об`єктних обмежень OCL (Object Constraint Language). Принципи застосування сучасних засобів моделювання для концептуальних схем геопросторових даних представлені в проектах відповідних стандартів серії ISO 19100, в тому числі: ISO 19103 - Conceptual schema language (Мови концептуальних схем), ISO 19107















