166601 (625054), страница 2
Текст из файла (страница 2)
Прибавление щелочи, алкоголята натрия или цинковой пыли к спиртовому раствору соли диазония способствует замещению диазониевой группы водородом. При этом образуется, кроме того, заметное количество дифенила.
Замещение диазониевой группы водородом может быть также осуществлено при применении других методов, как-то: действием щелочного раствора соли двухвалентного олова, или же при действии фосфорноватистой кислоты.
Замещение диазониевой группы гидроксилом
При нагревании водного раствора сернокислого фенилдиазония образуется фенол. Та же реакция наблюдается и в случае других арилдиазониевых солей:
Для получения фенолов, по этому способу рекомендуется применять сульфаты диазония, а не хлористые или азотнокислые соли, так как в этих случаях процесс, хотя и идет в указанном направлении, сопровождается образованием и других продуктов. Из хлористого арилдиазония в присутствии избытка соляной кислоты, прибавленной при диазотировании, образуется заметное количество. Хлорзамещенных фенолов, а из азотнокислой соли образуется большое количество нитрофенолов. Ниже приводятся примеры, служащие для иллюстрации этого способа замены диазониевой группы гидроксилом Успешность описанного способа получения фенолов находится в зависимости от стойкости исходных солей диазония в водном растворе. Соли диазония, получающиеся из анилина и его гомологов, разлагаются очень легко с образованием соответствующих фенолов. Наличие нитрогруппы или галоидов в ароматическом ядре обычно повышает стойкость диазониевой группы. Например, водный раствор хлористого 2,4,6-трихлор-фенилдиазония можно кипятить, но образования фенола при этом не происходит. То же наблюдается и для сернокислого 2,4,6-трибромфенилдиазония. Некоторые соли диазония, получающиеся из аминоантрахинонов, являются чрезвычайно стойкими и могут быть перекристаллизованы из горячей воды.
При этом способе получения фенолов может встретиться осложнение, состоящее в том, что сравнительно стойкие диазосоединения могут сочетаться с фенолом по мере его образования. Например, из диазотированной нафтионовой кислоты образуется а-нафтол-4-сульфоновая кислота, всегда несколько загрязненная азопродуктом. Для устранения этих затруднений было предложено видоизменение способа получения фенолов из сравнительно стойких солей диазония. Этот метод состоит в нагревании концентрированного раствора соли диазония с серной кислотой такой концентрации, чтобы смесь кипела при 50°. Хотя в отдельных случаях, например из солей 2,6-дибромфенилдиазония, были получены удовлетворительные результаты, все же метод не приводит к хорошим результатам при более стойких солях диазония, что, без сомнения, объясняется стабилизирующим действием умеренно разбавленной серной кислоты на подобные соли. Более удобным способом получения фенолов из стойких солей диазония является нагревание последних с разбавленной серной кислотой и сернокислым натрием до 135—145°. По этому же способу можно также получить, хотя и с плохим выходом, трихлор- и трибромфенолы из соответствующих солей диазония. Кроме того, метод оказался пригодным для получения 2,5-дихлорфенола, 2,4-дибромфенола, 3-хлор-р-крезола, 3-бром-р-крезола и 3,5-дибром-р-крезола из соответственных арилдиазониевых солей25.
При действии кислоты на соль арилдиазония, содержащую в о-положении метильную группу, может наблюдаться и другое направление реакции. Например, при осторожном нагревании диазотированного 4-нитро-о-толуидина образуется смесь 4-нитро-о-крезола и 4-нитроиндазола. То же наблюдается и для диазониевых солей, полученных из 5-нитро-4-амино-т-ксилола. Наличие параллельной реакции, протекающей наряду с основной, было также установлено в случае обработки диазониевых солей, получающихся из мезидина, о-толуидина или 4-амино-т-ксилола, разбавленным раствором щелочи. Однако при этих условиях продукт реакции содержал азосоединение, получившееся в результате сочетания диазониевой соли с образовавшимся в процессе реакции индазолом хлором или бромом, так как для этой цели имеются более совершенные методы. С другой стороны, этот метод вполне пригоден для получения ароматических йодзамещенных путем прибавления йодистого натрия к раствору соли диазония, содержащему избыток минеральной кислоты.
Введение азидной группы в ароматическое ядро осуществляется прибавлением азида натрия к кислому раствору соли: диазония. Этот метод применялся для получения моно-, ди- и триазидопроизводных ароматических углеводородов. Для замещения диазониевой группы хлором или бромом удобнее всего применять способ Зандмейера или Гаттермана. Реакция Гаттермана применяется для замещения диазониевой группы хлором, бромом, группой — CNO,—CN и др. Способ состоит в прибавлении медной бронзы или порошка меди к раствору соответственной соли диазония. Ниже приводится пример, иллюстрирующий применение этого способа. Введение хлора или брома в ароматическое ядро при помощи реакции Зандмейера заключается в прибавлении раствора однобромистой или однохлористой меди в какой-либо кислоте к раствору соли диазония и в последующем нагревании смеси. По этой же реакции при применении цианистой меди в растворе цианистого калия или роданистой меди в растворе роданистого калия можно диазониевую группу заменить группой — CN или — CNS.
Замещение диазониевой группы другими группами
Замещение арильными радикалами. Неоднократно наблюдалось, что при проведении описанных выше реакций замещения диазониевой группы образуется большее или меньшее количество производных дифенила. В особенности это отмечается для солей нитрофенилдиазония; например, при действии однохлористой меди на диазотированный о-нитранилин в условиях реакции Зандмейера образуется лишь немного о-хлорнитробензола, а основным продуктом реакции является 2,2'-дииитродифенил. Такое же явление наблюдается и при хлористых диазониевых солях, полученных из m-нитранилина, 5-хлор-2-нитранилина, 3-нитро-р-толуидииа, 2-нитро-р-толуидина, 6-нитро-о-толуидина, 5-нитро-о-толуидина, 4-нитро-о-толуидина; замещение диазониевой группы хлором в этих случаях является только второстепенной реакцией. Выход образующихся при этом производных дифенила всецело зависит от условий опыта. Однако при тщательном регулировании условий реакции 3андмейера можно добиться очень хорошего выхода т-нитрохлорбензола из m-нитранилина.
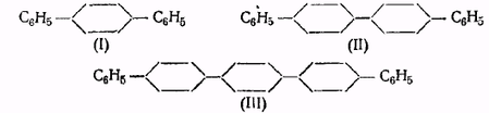
Некоторые соли диазония, для которых реакция Зандмейера протекает нормально, дают производные дифенила при действии цинковой пыли, порошка меди или порошка железа в спиртовой среде. В этих условиях из водного раствора сульфата фенилдиазония выделяется дифенил, из диазотированного β-нафтиламина — β,β'-динафтил. При этой реакции образуется заметное, количества продукта, который не гонится с водяным паром. Этот продукт состоит, главным образом, из дифенилбензола (I), дидифенила (II) и дидифенилбензола (III). Выход этих высших углеводородов повышается, если реакция проводится в уксусной кислоте, содержащей некоторое количество муравьиной кислоты.
Описанный способ получения дифенила через диазониевые соли был применен для интересного синтеза фенантрена и его производных. При прибавлении порошка меди к водному раствору диазониевой соли, полученной из а-фенил-о-аминокоричной кислоты, происходит отщепление диазогруппы и соединение между собой фенильных групп с образованием фенантренкарбоновой кислоты.
Эта реакция была применена для синтеза и других производных фенантрена.
Интрамолекулярная конденсация этого типа наблюдается также при нагревании диазониевых солей, получающихся из некоторых замещенных о-аминобензофенонов. Из о-оксипроизводных замещенных бензофенонов получаются в качестве побочных продуктов флуореноны.
Другой способ получения дифенила и его производных основан на взаимодействии диазоангидрида с ароматическими углеводородами. Если к смеси р-нитрофенилдиазотата натрия и бензола прибавить уксусную кислоту в количестве, достаточном для выделения свободного диазоангидрида, образуется с хорошим выходом р-нитродифенил
Впоследствии этот способ в несколько видоизмененном виде был применен для получения большого числа производных дифенила. Однако этот процесс сопровождается другими реакциями, приводящими к замене диазониевой группы водородом и к образованию азосоединений. Способ работы ясен из приводимого примера. По этому способу дифенил был также получен взаимодействием фенилдиазотата натрия с бензолом, но выход достигал лишь 11%. Если вместо бензола ввести в реакцию тиофен, образуется соответственно фенилтиофен. В реакцию вступают также нитробензол, образующий с фенилдиазотатом натрия 4-нитродифенил, бромбензол и бензонитрил. В качестве исходных продуктов можно применять соли диазония, получающиеся из хлор- или броманилинов, толуидинов, нитранилинов, т- и р-аминобензонитрила, р-аминодифенила. К сожалению, выходы при применении этих продуктов невысоки и обычно составляют 10—40% от теоретических. Вопрос о механизме этой реакции освещается в работе Грив и Хей.
Дифенил и его производные можно также получить прибавлением сухого хлористого арилдиазония к ароматическому углеводороду, например бензолу или нафталину, смешанному с некоторый количеством безводного хлористого алюминия. Таким образом при взаимодействии хлористого фенилдиазония с бензолом образуется дифенил, а с нафталином — смесь а- и р-фенилнафталинов. Этот способ был использован также для получения фенилпиридина и фенилхинолина, причем в этих случаях отпадала необходимость прибавления хлористого алюминия
Замещение диазониевой группы нитрогруппой. Такое замещение наблюдается при действии закиси меди и азотистой кислоты на раствор нитрата арилдиазония. Кроме того, для этой же цели можно воспользоваться и другим способом, заключающимся в прибавлении порошка меди к водному раствору или суспензии двойной соли азотнокислого диазония с азотистокислой окисью ртути или в действии избытка азотистокислого калия и суспензии солей меди на соль диазония Замещение диазониевой группы остатком сернистой кислоты. Процесс в общих чертах состоит в насыщении раствора сернокислого диазония в разбавленной серной кислоте сернистым газом и в последующем прибавлении порошка меди. Этот способ был применен с успехом для получения фенилсульфиновой кислоты и большого количества ее гомологов, а также галоидо- и алкоксизамещенных. В некоторых случаях, например, исходя из m-толуидина, по этому способу, получается сульфиновая кислота лишь с плохим выходом. Томас ввел изящное видоизменение способа выделения сульфиновых кислот, состоящее в осаждении их в виде солей окиси железа из кислого раствора.
Эта соль при действии раствора едкого натра превращается в растворимую натриевую соль фенилсульфиновой кислоты с выделением осадка гидрата окиси железа. При подкислении полученного раствора выделяется свободная сульфиновая кислота, которую можно экстрагировать эфиром.
Получение ариларсоновых и арилстибоновых кислот
Замещение диазониевой группы группой — АsО3Н2 обычно осуществляется действием мышьяковистокислого натрия в щелочном растворе на соли диазония Получение тиофенолов, ароматических сульфидов и дисульфидов из солей диазония. Общий способ получения тиофенолов из солей диазония был предложен Лейкартом. Способ состоит в смешивании охлажденных льдом растворов хлористого диазония с ксантогеновокислым калием в эквимолекулярном соотношении. При последующем нагревании образуется эфир этилксантогеновой кислоты, из которого при омылении спиртовой щелочью выделяется тиофенол.
















