166224 (624960), страница 2
Текст из файла (страница 2)
Целлюлоза - важнейший представитель полисахаридов, одного из классов природных полимеров, макромолекулы которых построены из элементарных звеньев (остатков) различных моносахаридов, соединенных между собой ацетальной (гликозидной) связью. Макромолекула целлюлозы состоит из остатков D-глюкозы - моносахарида, углеродный скелет молекулы которого содержит шесть атомов углерода. При этом элементарное звено имеет структуру шестичленного кислородсодержащего гетероцикла, а в образовании гликозидной связи между элементарными звеньями наряду с альдегидной группой, расположенной у первого углеродного атома одного элементарного звена, принимает участие гидроксильная группа у четвертого углеродного атома соседнего звена.
Важной характеристикой строения макромолекулярной цепи полисахаридов является не только направление гликозидной связи, но и ее конфигурация. Гликозидная связь в макромолекуле целлюлозы имеет (3-конфигурацию (обозначение, принятое для связи, имеющей противоположную пространственную ориентацию по сравнению с конфигурацией асимметрического углеродного атома С-5 в молекуле глюкозы). Гликозидные связи сравнительно легко подвергаются расщеплению под действием воды в присутствии кислотных катализаторов (процесс гидролиза). Это обстоятельство обусловливает относительную неустойчивость целлюлозы к действию водных растворов кислот. В то же время в условиях щелочного гидролиза гликозидные связи целлюлозы достаточно стабильны. Однако эта стабильность характерна лишь для систем, в которых отсутствует молекулярный кислород. Наличие же кислорода приводит к изменению механизма реакции - переходу от чистого гидролиза к значительно более сложному процессу, включающему последовательно протекающие реакции окисления и гидролиза [30].
Возможность получения разнообразных производных целлюлозы определяется в первую очередь ее функциональным составом. С этой точки зрения целлюлозу можно рассматривать как полимерный полиатомный спирт, в элементарных звеньях макромолекул которого содержатся три гидроксильные группы: первичная - у шестого атома углерода и две вторичные -у второго и третьего атомов углерода. Элементарное звено макромолекулы целлюлозы находится в энергетически наиболее выгодной конформации кресла С1, в которой гидроксильные и гидроксиметильная группы расположены экваториально (то есть располагаются приблизительно в плоскости, образуемой вторым, третьим и пятым атомами углерода и атомом кислорода пиранозного цикла) и благодаря такому положению обладают высокой реакционной способностью в различных химических реакциях. Именно индивидуальные свойства гидроксильных групп позволяют в результате их химических превращений осуществить синтез простых и сложных эфиров целлюлозы, продуктов ее окисления.
Особое внимание уделяется целлюлозе как представителю класса природных высокомолекулярных соединений, поскольку имеется возможность ее воспроизводства в природных условиях в процессе фотосинтеза, а также разнообразие свойств и, соответственно, областей применения многочисленных производных целлюлозы. За последние десятилетия появилась большая группа материалов, при получении которых были реализованы различные подходы модификации целлюлозы: термические превращения, синтез привитых сополимеров, образование пространственной структуры. Все это позволило создать углеродные и другие сорбционно-активные материалы, материалы медицинского назначения с пролонгированным эффектом действия лекарственных препаратов, волокна-биокатализаторы, содержащие иммобилизованные ферменты, повысить эластические характеристики текстильных материалов из целлюлозных волокон. На более отдаленную перспективу целлюлозу можно рассматривать как источник экологически чистого возобновляемого сырья для создания новых технологических процессов получения мономеров для синтетических полимеров [33].
1.4 Окисление целлюлозы
Действие окислителей на целлюлозу имеет место во многих производственных процессах, основанных на переработке целлюлозы или целлюлозосо-держащих растительных материалов.
Процесс окисления целлюлозы представляет большой научный интерес, так как путем избирательного окисления отдельных спиртовых групп удаётся ввести в макромолекулу целлюлозы новые функциональные группы - карбонильные (альдегидные и кетоновые) или карбоксильные - и получить препарат окисленной целлюлозы, обладающей новыми свойствами.
В качестве окислителей целлюлозы могут быть применены реагенты, окисляющие первичные или вторичные спиртовые группы, либо приводящие к образованию перекисных соединений.
Продукты, которые получаются при действии окислителей на целлюлозу, и которые в результате частичного окисления гидроксильных групп отличаются по химическому составу от исходной целлюлозы, носят название оксицеллюлоз. В большинстве случаев процесс частичного окисления спиртовых групп сопровождается понижением степени полимеризации целлюлозы. Известен, однако, ряд методов получения оксицеллюлоз, при которых деструкции целлюлозы не происходит. В отличие от условий образования про-
дуктов гидролиза целлюлозы процесс окисления целлюлозы не сопровождается обязательным снижением степени полимеризации целлюлозы. Процесс окисления целлюлозы протекает в несколько стадий. В начальной стадии происходит частичное окисление спиртовых групп целлюлозы или, возможно, присоединение кислорода к гликозидному гидроксилу с образованием перекисных соединений. На дальнейших стадиях процесса окисления в большинстве случаев происходит деструкция макромолекул целлюлозы и при более интенсивном окислении - образование низкомолекулярные моно- и дикарбоновых оксикислот. При полном окислении целлюлозы образуются углекислый газ и вода.
Продукты окисления целлюлозы не являются химически физически однородными.
Неоднородность по величине макромолекул и по химическому составу оксицеллюлоз, получаемых при действии различных окислителей на целлюлозу, так же как неоднородность других производных целлюлозы, объясняется следующими факторами:
-
неодинаковой доступностью макромолекул или их звеньев, действию окислителей и, следовательно, различной скоростью их окисления;
-
избирательным действием некоторых окислителей на первичные или вторичные спиртовые группы целлюлозы;
-
различной степени деструкции макромолекул целлюлозы в процессе окисления.
Препараты, получаемые при окислении целлюлозы, являются химически неоднородными продуктами. Они отличаются по характеру функциональных групп, образующихся при окислении спиртовых групп целлюлозы. Кроме того, при окислении целлюлозы могут получаться вещества с различным положением образовавшихся функциональных групп в элементарных звеньях макромолекул окисленной целлюлозы, т.е. изомерные соединения. Поэтому продукты окисления целлюлозы, получаемые по разным методам, значительно различаются как по составу, так по свойствам [33, 34].
При действии окислителей на целлюлозу могут иметь место следующие реакции избирательного окисления отдельных групп:
I. Окисление первичных спиртовых групп элементарного звена до альдегидных групп:
II. Окисление первичных спиртовых групп до карбоксильных групп:
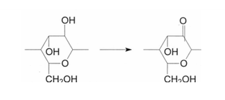
III. Окисление вторичных спиртовых групп элементарного звена (в положении 2 или 3) до кетогрупп, например
IV. Одновременное окисление вторичных спиртовых групп в положениях 2 и 3 до альдегидных групп, сопровождающееся разрывом пиранового цикла элементарного звена:
V. При комбинированном действии окислителей может произойти дальнейшее окисление альдегидных групп, образующихся при окислении вторичных спиртовых групп, до карбоксильных групп:
Кроме того, принципиально возможно присоединение кислорода к «кислородному мостику» между элементарными звеньями макромолекул целлюлозы или к амиленоксидному кольцу элементарного звена макромолекулы с образованием перекисей. Звенья перекиси затем распадаются и обуславливают разрыв глюкозной связи между звеньями или расщепление пиранового цикла. До настоящего времени удалось осуществить не все перечисленные схемы избирательного окисления различных спиртовых групп целлюлозы. В большинстве случаев при действии различных окислителей на целлюлозу происходит одновременное окисление как первичных, так и вторичных спиртовых групп с образованием в различном соотношении альдегидных, кетон-ных и карбоксильных групп, находящихся у различных атомов углерода элементарного звена макромолекулы.
В зависимости от условий проведения процесса, в частности от рН среды, в отдельных случаях удается изменять соотношение карбонильных и карбоксильных групп в макромолекулах окисленной целлюлозы. Регулировать соотношение между скоростью окисления первичных и вторичных спирто вых групп целлюлозы, что имеет большое значение для свойств получаемых продуктов, пользуясь окислителями, применяемыми в технике, пока не представляется возможным.
В последние годы разработаны методы избирательного окисления спиртовых групп молекул целлюлозы по схемам II, IV и V. Реакции избирательного окисления спиртовых групп по схеме II и III, т.е. окисление только первичных спиртовых групп до альдегидных групп или окисление только вторичных спиртовых групп до кетогрупп без разрыва пиранового кольца пока не осуществлены.
Окисление целлюлозы некоторыми типами окислителей (йодная кислота и ее соли, тетраацетат свинца, двуокись азота) может быть использовано для синтеза ряда производных целлюлозы, содержащих альдегидные или карбоксильные группы преимущественно у определенных углеродных атомов элементарного звена макромолекулы. Необходимо, однако, отметить, что в некоторых из образующихся при окислении соединений, например в продукте окисления целлюлозы йодной кислотой - диальдегидцеллюлозе и ее производных, пиранозный цикл, наличие которого является характерной особенностью химической структуры целлюлозы, разрушен в процессе окисления [35].
1.5 Избирательное окисление вторичных спиртовых групп йодной кислотой
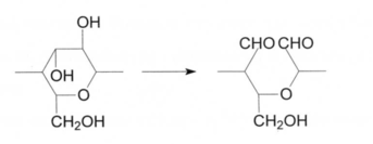
Метод одновременного окисления обеих вторичных спиртовых групп целлюлозы, также как и других полисахаридов и моносахаридов, до альдегидных групп разработан в 1935- 1938 г. Гудсоном и Джаксоном. Для этой цели была использована реакция окисления целлюлозы йодной кислотой. При действии йодной кислоты на многоатомные спирты, в частности на мо-но- и полисахариды, происходит одновременное окисление в альдегидные группы двух соседних спиртовых групп (гликолевая группировка) с одновременным разрывом углерод - углеродных связей между ними. Для целлю лозы процесс окисления протекает с разрывом пиранового кольца и образованием диальдегидцеллюлозы. При последующем окислении образуется ди-карбоксилцеллюлоза.
Первичные спиртовые группы при действии йодной кислоты не окисляются. Продукт окисления целлюлозы йодной кислотой представляет собой полиполуацеталь эритрозы и глиоксаля. Он назван Роговиным диальдегид-целлюлозой и может быть отнесен к оксицеллюлозам только условно, поскольку один из основных признаков целлюлозы (наличие пиранового цикла) у этих соединений отсутствует.
Окисление в молекуле целлюлозы даже очень небольшого числа глико-левых групп до диальдегидных резко понижает устойчивость гликозидных связей к действию щелочей и даже горячей воды.
Интенсивной деструкцией препаратов диальдегидцеллюлозы в щелочной среде объясняется крайне низкая вязкость медноаммиачных растворов диальдегидцеллюлозы. Сравнительное исследование скорости кислотного гидролиза целлюлозы и диальдегидцеллюлозы [35, 36] позволило сделать вывод о том, что образование диальдегидных групп также значительно уменьшает устойчивость гликозидных связей к гидролизу. Аналогичные данные были получены для низкомолекулярных модельных соединений.















