165919 (624902), страница 2
Текст из файла (страница 2)
Нитриты металлов в степени окисления +2 образуют кристаллогидраты с одной, двумя или четырьмя молекулами воды. Нитриты образуют двойные и тройные соли, напр. CsNO2xAgNO3 или Ba(NO2)2•Ni(NO2)2•2KNO3, а также комплексные соединения, например Na3[Co(NO2)6].
Кристаллические структуры известны лишь для нескольких безводных нитритов. Анион NО2-- имеет нелинейную конфигурацию; угол ONO 115°, длина связи N—О 0,115 нм; тип связи М—NО2 ионно-ковалентный.
СВОЙСТВА НЕКОТОРЫХ НЕОРГАНИЧЕСКИХ НИТРИТОВ
Показатель KNO2 AgNO2 Ca(NO2)2 Ba(NO2)2
Сингония Моноклинная Ромбическая Кубическая Гексагональная
Темп. пл., °С 440 120 220 277
(с разд.) (с разл.)
Р-римость
в воде,г в 100 г 306,7 0,41 84,5 67,5
(20°С) (25°С) (18°С) (20°С)
Хорошо растворимы в воде нитриты К, Na, Ва, плохо – нитриты Ag, Hg, Сu. С повышением температуры растворимость нитритов увеличивается. Почти все нитриты плохо растворимы в спиртах, эфирах и малополярных растворителях.
Нитриты термически малоустойчивы; плавятся без разложения только нитриты щелочных металлов, нитриты остальных металлов разлагаются при 25-300°С. Механизм разложения нитриты сложен и включает ряд параллельно-последовательных реакций. Основные газообразные продукты разложения – NO, NO2, N2 и О2, твердые – оксид металла или элементный металл. Выделение большого количества газов обусловливает взрывное разложение некоторых нитритов, например NH4NO2, который разлагается на N2 и Н2О.
Характерные особенности нитритов связаны с их термической нестойкостью и способностью нитрит-иона быть как окислителем, так и восстановителем, в зависимости от среды и природы реагентов. В нейтральной среде нитриты обычно восстанавливаются до NO, в кислой окисляются до нитратов. Кислород и СО2 не взаимодействуют с твердыми нитритами и их водными растворами. Нитриты способствуют разложению азотсодержащих органических веществ, в частности аминов, амидов и др. С органическими галогенидами RX нитриты реагируют с образованием как нитритов RONO, так и нитросоединений RNO2.
Промышленное получение нитритов основано на абсорбции нитрозного газа (смеси NO + NO2) растворами Na2CO3 или NaOH с послед, кристаллизацией NaNO2; нитриты остальных металлов в промышленности и лабораториях получают обменной реакцией солей металлов с NaNO2 или восстановлением нитратов этих металлов.
Анализ нитритов на нитрит-ион основан на его восстановлении сплавом Деварда (50% Сu, 45% А1, 5% Zn) до NH3 и поглощении NH3 титрованными растворами кислот.
Нитриты применяют для синтеза азокрасителей, в производстве капролактама, в качестве окислителей и восстановителей в резинотехнике, текстильной и металлообрабатывающей промышленности, как консерванты пищевых продуктов. Нитриты, например NaNO2 и KNO2, токсичны, вызывают головную боль, рвоту, угнетают дыхание и т.д. При отравлении NaNO2 в крови образуется метгемоглобин, повреждаются мембраны эритроцитов. Возможно образование нитрозаминов из NaNO2 и аминов непосредственно в желудочно-кишечном тракте.
Органические нитриты
Органические нитриты, эфиры азотистой кислоты HNO2. Содержат одну или несколько групп —О—N=O, связанных ковалентной связью с атомом углерода органического радикала. Низшие алкилнитриты – газы, остальные – бесцветные или желтоватые жидкости, не растворимые в воде, смешиваются с обычными органическими растворителями. Органические нитриты более летучи, чем изомерные им нитросоединения. Физические свойства некоторых органические нитритов приведены в таблице.
СВОЙСТВА НЕКОТОРЫХ ОРГАНИЧЕСКИХ НИТРИТОВ
Соединение Т.кип, °С
Метилнитрит CH3ONO - 12 0,991
Пропилнитрит C3H7ONO 48,5 0,935 1,3604
Бутилнитрит C4H9ONO 77,8 0,8823 1,3768
Изобутилнитрит C4H9ONO 67 0,8699 1,3715
Изопентилнитрит (изоамил-
нитрит) (CH3)2CHCH3CH2ONO 99,2 0,8828 1,3918
Вращение вокруг связи О—N заметно заторможено (барьер вращения ∆G* 34 кДж/моль), поэтому s-циc- и s-транс-конформеры спектрально различимы. ИК спектр органических нитритов имеет характеристические полосы 1613-1625 и 1653-1681 см-1 (N=O) соотв. для s-цис- и s-транс-форм.
При комнатной температуре органические нитриты медленно разлагаются, на свету низшие органические нитриты могут взрываться. В кислой среде легко гидролизуются; это позволяет использовать органические нитриты в качестве мягких нитрозирующих агентов (для получения малостабильных солей диазония, дезаминирования алкиламинов, нитрозирования фенолов и СН-кислот и т.п.). Органические нитриты, имеющие активированный атом Н при β-углеродном атоме, могут отщеплять HNO2, например:
При действии N2O5 органические нитриты окисляются в нитраты, при действии гидразина или LiAlH4 восстанавливаются в соответствующие спирты. Органических нитриты, содержащие в молекуле более трех атомов С, претерпевают фотохимическую перегруппировку в нитрозосоединения (Бартона реакция), напр.:
Реакция идет стереоселективно и используется для введения функциональных групп в неактивные участки сложных молекул, например, стероидов.
Получают органические нитриты взаимодействием спиртов с различными нитрозирующими агентами [NaNO2/H2SO4, NaNO2/Al2(SO4)3, оксиды азота, NOCl/пиридин, NOBF4] или взаимодействием алкилгалогенидов с солями HNO2 (наряду с нитросоединениями).
Органические нитриты – высокотоксичные соединения. Этил- и пентилнитриты учащают пульс, понижают кровяное давление, окисляют гемоглобин в метгемоглобин. Органических нитриты обладают сосудорасширяющим и спазмолитическим действием. Изопентилнитрит - противоядие при отравлении синильной кислотой и ее солями.
Органические нитриты – полупродукты в органическом синтезе.
Нитросоединения
Нитросоединениями называют производные углеводородов, в которых один или несколько атомов водорода замещены на нитрогруппу -NO2. В зависимости от углеводородного радикала, к которому присоединена нитрогруппа, нитросоединения делятся на ароматические и алифатические. Алифатические соединения различают как первичные 1°, вторичные 2 ° и третичные 3°, в зависимости от того к 1 °, 2 ° или 3° атому углерода присоединена нитрогруппа.
Нитрогруппу не следует путать с нитритной группой -ONO. Нитрогруппа имеет следующее строение:
Наличие полного положительного заряда на атоме азота обусловливает наличие у нее сильного -1-эффекта. Наряду с сильным -1-эффектом нитрогруппа обладает сильным -М-эффектом.
Способы получения нитросоединений
Нитрование углеводородов.
Ароматические нитросоединения получают, как правило, прямым нитрованием аренов и ароматических гетероциклических соединений. Нитрометан также может быть получен нитрованием метана.
Синтез нитросоединений из галогенуглеводородов
Синтез нитрометана из хлоруксусной кислоты
Нитрометан обычно получают из хлоруксусной кислоты по следующей схеме:
Реакции нитросоединений
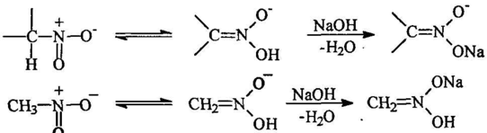
Таутомерия алифатических нитросоединений
В
следствие сильных электроноакцепторных свойств нитрогруппы а-атомы водорода обладают повышенной подвижностью и поэтому первичные и вторичные нитросоединения являются С-Н-кислотами.
Конденсация алифатических нитросоединений с альдегидами
Практическое значение имеет триметилолнитрометан, получаемый из нитрометана и формальдегида:
Ароматические нитросоальдегиды конденсируются с нитрометаном с отщеплением воды:
Восстановление нитросоединений.
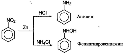
Важнейшее практическое значение имеют реакции восстановления нитрогруппы в нитроаренах. В зависимости от рН среды и используемого восстановителя могут быть получены различные продукты. В нейтральной и щелочной среде активность обычных восстанавливающих агентов по отношению к нитро соединениям меньше, чем в кислой среде. Характерным примером может служить восстановление нитробензола цинком. В избытке соляной кислоты цинк восстанавливает нитробензол в анилин, в то время как в буферном растворе аммонийхлорида - в фенилгидроксиламин:
Фенилгидроксиламин далее может быть окислен до нитрозобензола:
Восстановлением нитробензола хлоридом олова (II) получают азобензол, а цинком в щелочной среде - гидразобензол; восстановлением спиртом в щелочной среде можно получить азоксибензол:
Азоксибензол получают обработкой нитробензола раствором щелочи в метаноле, при этом метанол окисляется в муравьиную кислоту. В кислой среде арилгидроксиламины подвергаются перегруппировке:
Известны методы неполного восстановления и нитроалканов:
На этом основан один из промышленных методов получения капрона. Нитрованием циклогексана получают нитроциклогексан, который восстановлением переводят в оксим циклогексанона и далее с помощью перегруппировки Бекмана – в капролактам и полиамид – исходное вещество для приготовления волокна – капрона:
Амины
По систематической номенклатуре амины называют путем добавления приставки амин к названию углеводорода. По рациоальной номенклатуре их рассматривают как алкил или ариламины.
Гетероциклические амиы называют по соответствующему углеводороду вставляя приставку аза-, диаза- или триаза для обозачения количества атомов азота.
Аминами являются многие биологически активные соединения, обладающие, например, физиологическим и психологическим действием. Некоторые из них являются производными 2-фенилэтиламинна. Амфетамин является мощным стимулятором. Мескалин является галюциногеном.
Адреналин и норадреналин являются гормонами, поступающими в кровь, когда животные ощущают опасность. Адреналин вызывает повышение кровяного давления, учащение пульса и расширение подходов к легким. Норадреналин также повышает кровяное давление. Он участвует в передаче импульса от ондого конца нервного волокна к другому.
Серотонин поддерживает нормальный уровень умственной деятельности. Предполагается, что шизофрения связана с нарушением метаболизма серотонина.
Основность аминов
Аммиак и амины благодаря наличию на их атомах азота неподеленной пары электронов обладают нуклеофильными свойствами, т.е. предоставляют эту пару обедненному электронами атому углерода. Они способны предоставлять ее и протону, т.е. обладать основностью.
Все простейшие алифатические амины взаимодействуя с водой генерируют гидроксид-анион и, следовательно, окрашивают лакмус в синий цвет:















