165752 (624870), страница 2
Текст из файла (страница 2)
Как и в случае реакции бензальдегида с ацетоном, кетоны при реакции с альдегидами всегда играют роль метиленовой компоненты. В последнее время предпочитают использовать азометины альдегидов, поскольку для альдегидов, содержащих в α-положении атом водорода, предпочтительной является самоконденсация.
По схеме альдольной реакции протекают реакции и других С-Н-кислотных соединений с карбонильными соединениями. К ним относятся конденсация Кневенагеля, реакция Перкина и синтезы оксиранов (глицидный синтез) по Дарзану
3. Бензоиновая конденсация
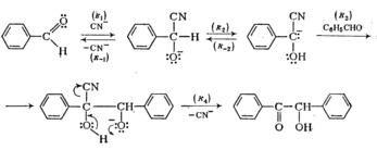
При действии водно-спиртовых растворов цианида калия арилальдегиды димеризуются в α-оксикетоны. Из бензальдегида образуется бензоин.
Считается доказанным следующий механизм этой реакции:
Как и в альдольной реакции, карбанион присоединяется к альдегиду.
Алифатические альдегиды дают в этих условиях не ацилоины, а альдоли, образования ацилоинов из этих соединений можно добиться, используя ферменты определенных видов дрожжей.
4. Реакция Канниццаро (1853 г)
Альдегиды, не содержащие в α-положении к карбонильной группе атома водорода, т.е. преимущественно ароматические альдегиды, в присутствии гидроксидов щелочных или щелочноземельных металлов диспропорционируют до спирта и кислоты.
В случае альдегидов, имеющих α-атом водорода, гораздо быстрее протекает альдольная реакция. Формально атом водорода одной молекулы альдегида в виде гидрид-иона переносится к связи С=О другой молекулы. Начинается этот процесс с присоединения гидроксил-иона. Затем с участием атома металла образуется комплекс, внутри которого и происходит гидридный перенос.
Если в реакции принимают участие два различных альдегида, то говорят о перекрестной реакции Канниццаро. В таком случае формальдегид всегда играет роль донора гидрид-иона.
Реакции конденсации.
Реакция конденсации - реакция образования больших Молекул из молекул с меньшей молекулярной массой, протекающая с отщеплением (или перемещением) атомов или атомных групп
Конденсации реакции, исторически закрепившееся в органической химии название большой группы реакций образования сложных соединений из двух или нескольких более простых. Конденсации реакции, различающиеся как по природе реагентов, так и по существу химических превращений, включают многие внутримолекулярные и межмолекулярные процессы образования новых углерод-углеродных (С - С) связей. Большинство таких реакций сопровождается выделением какой-либо простой неорганической или органической молекулы Х - Y (например, воды, водорода спирта, галогеноводорода, галогена):
К этому типу Конденсации реакции относятся, например, кротоновая конденсация, Вюрца реакция, Клайзена конденсация, Кнёвенагеля реакция, Перкина реакция, Фриделя-Крафтса реакция и многие др. В отличие от указанных выше, такие Конденсации реакции, как бензоиновая конденсация, альдольная конденсация, диеновый синтез и др., происходят без выделения простой молекулы. Кроме того, Конденсации реакции в органической химии называют все реакции образования гетероциклических соединений; в этих процессах могут возникать новые связи: углерод - углерод, углерод - гетероатом, гетероатом - гетероатом. Обычно к Конденсации реакции не относят этерификацию, переэтерификацию, алкилирование и ацилирование по кислороду или по азоту и др. Однако реакции образования полимеров по этим схемам называют поликонденсацией.
Кротоновая конденсация.
Кротоновая конденсация, взаимодействие между двумя молекулами альдегида или кетона с отщеплением воды. Например, Кротоновая конденсация ацетальдегида приводит к кретоновому альдегиду (II):
CH3CHO+CH3CHO ® CH3CH(OH)
CHO ® CH3-CH=CH-
На первой стадии Кротоновая конденсация происходит так называемая альдольная конденсация, приводящая (в случае альдегида) к альдолю (I); на второй - дегидратация продукта альдольной конденсации. Кротоновая конденсация происходит под действием сильных кислот (например, концентрированной серной кислоты) или оснований (KOH, NaOH, KCN или др.), чаще при нагревании. Альдегиды и кетоны реагируют только по a-метиленовой группе и могут вступать в Кротоновая конденсация с др. соединениями, содержащими активную СН2-группу, например с нитросоединениями:
CH3CHO+CH3CH2NO2 ® CH3CH=C (CH3) NO2 + H2O.
Кротоновая конденсация находит применение в органическом синтезе
Вюрца реакция
Вюрца реакция, метод синтеза насыщенных углеводородов действием металлического натрия на алкилгалогениды (обычно бромиды или иодиды):
2RBr + 2Na ® R - R + 2NaBr.
B. p. открыта Ш.А. Вюрцем. (1855). P. Фиттиг распространил Вюрца реакция на область жирно-ароматических углеводородов (реакция Вюрца - Фиттига):
C6H5Br + 2Na + ВrC4H9 ® С6Н5 - С4Н9+ 2NaВr.
Клайзена конденсация
Клайзена конденсация, сложно эфирная конденсация, способ получения b-кето (или b-альдегидо) эфиров взаимодействием одинаковых или разных сложных эфиров в присутствии щелочных агентов. Типичный пример Клайзена конденсация - получение ацетоуксусного эфира из этилацетата в присутствии алкоголятов натрия, металлического натрия, гидрида или амида натрия CH3COOC2H5 + HCH2COOC2H5 ® CH3COCH2COOC2H5 + C2H5OH.
При использовании эфиров муравьиной кислоты образуются производные альдегидокислот:
HCOOC2H5 + C6H5CH2COOC2H5 ® C6H5CH (COOC2H5) CHO + C2H5OH.
Клайзена конденсация применяется также для получения др. b-карбонильных соединений.
Так, реакция сложных эфиров с нитрилами приводит к b-кетонитрилам, например:
CH3COOC2H5 + C6H5CH2CN ® CH3COCH (C6H5) CN+C2H5OH.
С кетонами образуются b-дикетоны (например, ацетилацетон):
CH3COOC2H5 + СН3СОСНз ® CH3COCH2COCH3 + C2H5OH.
Клайзена конденсация широко применяют в промышленности для получения разнообразных органических соединений, например ацетоуксусного эфира, ацетилацетона и их гомологов. Реакцию подробно исследовал (1887) немецкий химик Л. Клайзен.
Кневенагеля реакция
Кневенагеля реакция, конденсация альдегидов или кетонов с соединениями, содержащими активную метиленовую группу, в присутствии оснований с образованием производных этилена. Например, при конденсации бензойного альдегида (1) с диэтиловым эфиром малоновой кислоты (II) в присутствии пиперидина получается производное коричной кислоты (III).
Кневенагеля реакция широко применяется в лабораторном органическом синтезе, а также в химико-фармацевтической и парфюмерной промышленности. Реакция открыта немецким химиком Э. Кневенагелем (Е. Knoevenagel) в 1896.
Перкина реакция
Перкина реакция, метод синтеза b-арилакриловых кислот (коричной кислоты, её производных и аналогов) взаимодействием ароматических альдегидов с ангидридами карбоновых кислот в присутствии катализаторов основного характера (щелочных солей карбоновых кислот, карбонатов щелочных аминов).
Реакция открыта У. Перкином (старшим) в 1868; широко применяется в органической химии. Промышленное значение имеет синтез кумарина из салицилового альдегида и уксусного ангидрида.
Фриделя - Крафтса реакция
Фриделя - Крафтса реакция, способ алкилирования и ацилирования ароматических соединений в присутствии катализаторов кислотного характера, например AlCl3, BF3, ZnCl2, FeCI3, минеральных кислот, окислов, катионообменных смол. Алкилирующими агентами служат алкилгалогениды, олефины, спирты, сложные эфиры; ацилирующими - карбоновые кислоты, их галогенангидриды и ангидриды.
Ф. - К. р. - типичное электрофильное замещение в ароматическом ядре; роль катализатора сводится к генерации атакующей частицы - алкил - или ацилкатиона. Ниже рассмотрены примеры взаимодействия бензола с этилхлоридом и хлорангидридом уксусной кислоты:
C2H5CI + AlCl3 ® C2H5+ + [AICl4] -, C2H5 - + C6H6 ® C6H5C2H5 + H+;
CH3COCl + AlCl3 ® CH3CO+ + [AlCl4] -, CH3CO+ + C6H6 ® CH3COC6H6 + Н+;
[AlCl4] - + Н+ ® HCl + AlCl3.
Алкилированием по Ф. - К. р. в промышленности получают высокооктановые топлива, антиокислители, поверхностно-активные и душистые вещества, этилбензол (исходное вещество в производстве стирола) и др. важные продукты (см., например, Кумол, Тимол). Ацилирование по Ф. - К. р. - основной метод синтеза ароматических и жирно-ароматических кетонов, многие из которых являются промежуточными продуктами в производстве фармацевтических препаратов, разнообразных красителей (например, Михлера кетон).Ф. - К. р. открыта Ш. Фриделем и Дж. Крафтсом (1877-78).
Список литературы
-
Нейланд О.Я. Органическая химия, М.: Высшая школа, 1990, 751с.
-
Голодников Г.В. Практические работы по органическому синтезу. Л., Изд-во ЛГУ, 1966, 697с.
-
Физер Л., Физер М. Реагенты для органического синтеза. Том 2.М., Мир, 1970, 390.
-
Гауптман, Ю. Грефе, Х. Ремане Органическая химия, Москва, "Химия", 1979, 832
-
Кнунянц И.Л. Большая Российская энциклопедия, М.: 2003, 972с.
-
Юрьев Ю.К. Практические работы по органической химии. Выпуск 1 и 2. Изд.3-е.М., Изд-во МГУ, 1964.
-
Юрьев Ю.К., Левина Р.Я., Шабаров Ю.С., Практические работы по органической химии. Выпуск 4.М. Из-во МГУ, 1969.
-
Шабаров Ю.С. Органическая химия: В 2-х кн. - М.: Химия, 1994. - 848 с.
-
Петров А.А., Бальян Х.В., Трощенко А.Т. Органическая химия. – М.: Высш. шк., 1973. - 623 с.
-
Моррисон Р., Бойд. Органическая химия. - М.: Мир, 1974. - 1132 с.
-
Терней А. Современная органическая химия: В 2 т. - М.: Мир, 1981. - Т.1 - 670 с; Т.2 - 615 с.
-
Робертс Дж., Кассерио М. Основы органической химии: В 2 т. - 2-е изд. - М.: Мир, 1978. - Т.1 - 842 с; Т.2 - 888 с.
-
В.Ф. Травень. Органическая химия. Том 1. – М.: Академкнига, 2004, - 708 с.
-
Птицина О.А., Куплетская Н.В., Тимофеева В.К. и др. Лабораторные работы по органическому синтезу. М.: Просвещение, 1979, 256с















