165688 (624860), страница 2
Текст из файла (страница 2)
У ході цих робіт учений відкрив і вивчив таутомерію амінопіридинів і їхніх похідних (початок 1920‑х рр.). Він констатував можливість утворення похідних двох ізомерних форм амінопіридинів:
Ним були отримані різноманітні похідні обох форм (у тому числі згодом нові гетероциклічні системи піримідазолу і індоліцину).
Відкриття α-піридоніміну Чичибабиним поклало початок новому своєрідному класу органічних речовин. Це дозволило вченому перейти до біциклічних сполук, у яких у п`ятичленний цикл входять два атоми азоту (наприклад, до піримідазолу (імідазопіридин) і його гомологів):
Цю невивчену область (одержання біциклічних сполук) Чичибабин активно розвивав наприкінці 1920‑х і в 1930-і рр. Багато хто із синтезованих їм подібних з'єднань, як було встановлено, володіли сильною фізіологічною активністю.
2.2 Реакції з одержання діазосполук та гетероциклів
Хотілося б також згадати і про цикл робіт Чичибабина (1915–1924), зв'язаному з одержанням діазосполук. У своїх роботах (спочатку з М.Д. Рязанцевим), виходячи з α-амінопіридину, він одержав цілий ряд раніше невідомих діазотатів піридинового α-ряду, що так само, як і ароматичні діазосполучення, здатні давати азофарби. Дослідження в цьому напрямку вчений продовжував і в період еміграції.
Роботи Чичибабина з учнями сприяли значному прогресу в області хімії похідних піридину. Завдяки дослідженням ученого картина хімічних перетворень піридину і його похідних «по ясності і рельєфності початку наближатися до картини класично розробленої хімії бензолу й ароматичних основ».
Найбільш слабкі основи, чим хінолін і ізохінолін; для 1,5‑Н. рКа 2,91, для 1,6‑Н. рКа 3,78. Алкілювання нафтиридину йде по одному або обом атомам N, причому у випадку 1,6- і 1,7‑Н. атака насамперед направляється на так звані ізохинолінові атоми N з утворенням продуктів моноалкілювання іонов 6- і 7‑алкілнафтиридину відповідно. Продукти моноалкілювання нафтиридину легко окисляються під дією K3Fe(CN)6 у лужному середовищі до N‑алкіл-a‑нафтиридинів, наприклад:
Відновлення нафтиридину дією Na у спирті приводить до транс-декагідронафтиридинам, каталітичного гідрування в присутності Рt2 або Pd‑до тетрагідронафтиридинів (йде відновлення одного з піридинових циклів). Дія LіAl4 на N‑алкіл-α-нафтиридинон дає тетрагідронафтиридини:
Нафтиридин-електронодефіцитні гетероароматичні системи. Вони з важко вступають у реакції електрофільного заміщення.
Так, для незаміщених нафтиридинів відомо лише реакція бромування, яка здійснюється при нагріванні з Вr2 в олеумі або дії Вr2 у ССl4 у присутності піридину і йде в β-положення до гетеро-атому. При надлишку Вr2 м.б. отримані дизамещені нафтиридину; напр., з 1,7 – нафтиридину – 3,5‑дибром – 1,7‑нафтиридин.
Бромування нафтиридину при високій температурі в газовій фазі, що йде по радикальному механізму, направляється в α-положення до гетероатому; напр., бромування 1,5 – нафтиридину при 500 °С приводить головним чином до 2,6‑дибром – 1,5‑нафтиридину.
Нітрування йде лише для нафтиридину, що містить електронодонорні замісники, напр. для нафтиридинонів. Нафтиридини легко реагують з нуклеофілами, напр. піддаються амінуванню по Чичибабина реакції, метилюванню метилсульфанілметильним аніоном, одержуваним дією сильних основ на, по α- і g‑положеннях до атомів N‑галогензаміщених нафтиридинів обмінюють атом галогену на різні нуклеофіли.
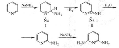
Амінування піридину і подібних ароматичних азогетероциклів (хінолін, ізохінолін, бензімідазол і т. п.) амідом натрію; у випадку піридину при цьому утвориться 2‑амінопіридин з незначними домішками 4‑амінопіридину (при підвищеній температурі і надлишку NaNH2 можливе одержання 2,6‑діамінопіридину):
2.3 Реакції Чичибабина в апротонних розчинниках
Відомо два способи проведення Чичибабина реакції в апротонних розчинниках (толуол, ксилол, n‑цимол, вазелінова олія й ін.) і в рідкому NH3. У першому випадку реакція протікає в гетерогенному середовищі, у зв'язку з чим потрібно висока температура (звичайно вище 100 °С). У рідкому NH3 процес проходить у гомогенних умовах і при низкою температурі (нижче -33 °С); замість NaNH2 у цьому випадку переважніше використовувати KNH2, який у рідкому NH3 розчиняється значно краще. Виходи реакції складають 30–90%.
Формально Чичибабина реакція нуклеофільного заміщення гідриду-іона основана на тому, що для її протікання необхідно, щоб у молекулі субстрату утримувався високо електронодефіцитний кільцевий атом С, який і атакує амід-іон. На першій стадії утвориться аніонн-комплекс (формула І), який далі ароматизується з утворенням Na‑солі аміну (ІІ); вільний амін виділяється при додаванні в реакційну суміш води або NH4C1. При високотемпературному способі проведення реакції гідрид-іон відщепляєся від комплексу мимовільно у вигляді Н2 (другий атом Н надходить у молекулу Н2 у вигляді протона з аміногрупи). За об`ємом Н2, що виділився зручно контролювати хід амінування. Однак при проведенні реакції в рідкому NH3 гідрид-іон мимовільно відщепитися не може. У цьому випадку для ароматизації комплексу необхідно додавати в реакційну суміш окислювач (звичайно КМnО4). Наприклад, окислювальне амінування сим-тетразину дає 3‑аминотетразин з високим виходом. Окислювальне амінування незамінно для тих азинів і азолів, які руйнуються NaNH2 при високій температурі.
Чичибабина реакція вперше описана А.Е. Чичибабиним і О.А. Зейде в 1914. Пізніше були запропоновані її модифікації – алкіламінування гетероциклів за допомогою натрійалкіламідів, гідразинуовання гідразидом натрію, гідроксилювання нагріванням з безводним порошкоподібним лугом, відомі приклади внутрішньомолекулярного алкіламінування по Чичибабину.
2.4 Синтез індолізину та піридину
Чичибабиним були відкриті ще дві реакції, які іноді також називають його ім`ям: 1) синтез похідних індолізину дією-галогенкарбонильних сполук на 2‑алкілпиридини (реакція придатна також для аннелювання піррольного кільця і до індолізин-алкілазинів і азолів):
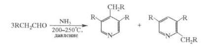
Синтез похідних піридину шляхом термічної циклоконденсації альдегідів з аміаком:
Висновки
Олексій Євгенович Чичибабин початком творчого шляху завдячує часу його навчання в Московському університеті, де він слухав курс хімії в професора В.В. Марковникова. Свої перші наукові праці, присвячені питанням гідрогенізації похідних бензолу, він виконав під керівництвом В.В. Марковникова і приват-доцента М.І. Коновалова.
У 1906 р. Чичибабин відкрив реакцію циклоконденсації альдегідів з аміаком (названу його ім'ям), що приводить до утворення ряду гомологів піридину.
У своїх роботах (спочатку з М.Д. Рязанцевим), виходячи з α-амінопіридину, він одержав цілий ряд раніше невідомих діазотатів піридинового α-ряду, що так само, як і ароматичні діазосполучення, здатні давати азофарби. Дослідження в цьому напрямку вчений продовжував і в період еміграції. Роботи Чичибабина сприяли значному прогресу в області хімії похідних піридину.
Відомо два способи проведення Чичибабина реакції в апротонних розчинниках (толуол, ксилол, n‑цимол, вазелінова олія й ін.) і в рідкому NH3.
Чичибабиним були відкриті ще дві реакції, які іноді також називають його ім`ям: 1) синтез похідних індолізину дією-галогенкарбонильних сполук на 2‑алкілпиридини та синтез похідних піридину шляхом термічної циклоконденсації альдегідів з аміаком
Список використаних джерел
-
Артеменко А.И. Органическая химия. – М.: Высшая школа, 1998.
-
Большая советская энциклопедия. В 30 тт.
-
Волков В.А., Вонский Е.В., Кузнецова Г.И. Выдающиеся химики мира. – М.: ВШ, 1991. – 656 с.
-
Грандберг И.И. Органическая химия. – М.: Высшая школа, 1980.
-
Гудкова А.С. От простого к сложному. – М.: Изд-во Моск. ун-та, 1983.
-
Марч Дж. Органическая химия. В 4‑х т. – М.: Мир, 1985.
-
Моррисон Р., Бойд Р. Органическая химия. – М.: Мир, 1974.
-
Нейланд О.Я. Органическая химия. – М.: Высшая школа, 1990.
-
Несмеянов А.Н., Несмеянов Н.А. Начала органической химии. В 2‑х кн. – М.: Химия, 1974.
-
Потапов В.М., Татаринчик С.Н. Органическая химия. – М.: Химия, 1980.
-
Робертc Дж., Касерио М. Основы органической химии. – М.: Мир, 1978. т. 1, 2.
-
Сайкс П. Механизмы реакции в органической химии. М.: Химия, 1991.
-
Справочник химика. В 6‑ти томах. – Л.: Химия, 1968.
-
Терней А. Современная органическая химия. В 2‑х томах. – М: Мир, 1981.
-
Тюкавкина Н.А. Органическая химия. – М: Медицина, 1998.
-
Химическая энциклопедия. В 5‑ти томах. – М.: Советская энциклопедия – Большая Российская энциклопедия, 1988–1998.
-
Химический энциклопедический словарь. – М.: Советская энциклопедия, 1983.
-
Шабаров Ю.С. Органическая химия. В 2‑х т. – М.: Химия, 1994.















