164132 (624633), страница 4
Текст из файла (страница 4)
где E(r) – среднее арифметическое значение доходности;
N – количество лет, в течение которых велись наблюдения.
В случае объективного подхода Pt = 1/N, поэтому формула примет вид:
Наиболее часто риск ценной бумаги измеряют с помощью дисперсии σ2 и стандартного отклонения σ.
Доходность портфеля. Под ожидаемой доходностью портфеля понимается средневзвешенное значение ожидаемых значений доходности ценных бумаг, входящих в портфель. При этом "вес" каждой ценной бумаги определяется относительным количеством денег, направленных инвестором на покупку этой ценной бумаги. Ожидаемая доходность инвестиционного портфеля равна:
где E(ri)- ожидаемая норма отдачи портфеля;
Wi – доля в общих инвестиционных расходах, идущая на приобретение i-ой ценной бумаги ("вес" i-ой ценной бумаги в портфеле);
E(ri) – ожидаемая доходность i-ой ценной бумаги;
n – число ценных бумаг в портфеле.
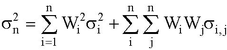
Измерение риска портфеля. При определении риска портфеля следует учитывать, что дисперсию портфеля нельзя найти как средневзвешенную величин дисперсий входящих в портфель ценных бумаг. Это объясняется тем, что дисперсия портфеля зависит не только от дисперсий входящих в портфель ценных бумаг, но также и от взаимосвязи доходностей ценных бумаг портфеля друг с другом. Иными словами, риск портфеля объясняется не только индивидуальным риском каждой отдельно взятой ценной бумаги портфеля, но и тем, что существует риск воздействия изменений наблюдаемых ежегодных величин доходности одной акции на изменения доходности других акций, включаемых в инвестиционный портфель.
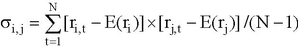
Меру взаимозависимости двух случайных величин измеряют с помощью ковариации и коэффициента корреляции. Положительная ковариация означает, что в движении доходности двух ценных бумаг имеется тенденция изменяться в одних и тех же направлениях: если доходность одной акции возрастает (уменьшается), то и доходность другой акции также возрастет (уменьшится). Если же просматривается обратная тенденция, то есть увеличению (уменьшению) доходности акций одной компании соответствует снижение (увеличение) доходности акций другой компании, то считается, что между доходностями акций этих двух компаний существует отрицательная ковариация. Когда рассматриваются величины доходности ценных бумаг за прошедшие периоды, то ковариация подсчитывается по формуле:
где σi,j – ковариация между величинами доходности ценной бумаги i и ценной бумаги j; r i,t и r j ,t – доходность ценных бумаг i и j в момент времени t; E(r i), E(r j) – ожидаемая (среднеарифметическая) доходность ценных бумаг i и j; N – общее количество лет наблюдения.
Часто при определении степени взаимосвязи двух случайных величин используют относительную величину – коэффициент корреляции ρ i,j
Итак, риск инвестиционного портфеля надо определять с помощью дисперсии. Пусть в исследуемый портфель входят n ценных бумаг; тогда дисперсию портфеля необходимо вычислять по формуле:
Если вспомнить, что коэффициент корреляции ρi,j = σi,j / σi σj , то эту формулу можно представить в виде:
Ключ к решению проблемы выбора оптимального портфеля лежит в теореме о существовании эффективного набора портфелей, так называемой границы эффективности. Суть теоремы сводится к выводу о том, что любой инвестор должен выбрать из всего бесконечного набора портфелей такой портфель, который:
1. обеспечивает максимальную ожидаемую доходность при каждом уровне риска.
2. обеспечивает минимальный риск для каждой величины ожидаемой доходности.
Набор портфелей, которые минимизируют уровень риска при каждой величине ожидаемой доходности, образуют так называемую границу эффективности. Эффективный портфель – это портфель, который обеспечивает минимальный риск при заданной величине E(r) и максимальную отдачу при заданном уровне риска. За ее разработку Г. Марковиц получил Нобелевскую премию.
Та часть риска портфеля, которая может быть устранена путем диверсификации, называется дивесрифицируемым, или несистематическим риском. Доля же риска, которая не устранятся диверсификацией, носит название недиверсифицируемого, или систематического риска.
Заключение
В данной работе мы рассмотрели финансовые инвестиции, изучили особенности управления финансовыми инвестициями. Эффективная реализация и успех конкретного инвестиционного проекта в значительной степени зависят от выбора оптимальной схемы его финансирования, поэтому важна активная роль банков и других финансирующих проект организаций. Оценка эффективности инвестиций представляет собой наиболее ответственный этап в процессе принятия инвестиционных решений.
Наиболее распространенным является инвестирование в портфели ценных бумаг. Это объясняется следующим: во-первых, многие реальные средства имеют финансовые эквиваленты в виде акций, опционов, фьючерсов; во-вторых, ценные бумаги обычно более ликвидны, чем реальные средства; в-третьих, инвестирование в реальные активы требует значительных финансовых средств, а ценные бумаги относительно дешевы; в-четвертых, информация о доходности ценных бумаг публикуется в периодической печати, что позволяет инвестору соотносить риск инвестиций в ценные бумаги и их отдачу. В связи с этим, ценные бумаги являются весьма привлекательными как для частных, так и для институциональных инвесторов.
Список литературы
-
Финансовый менеджмент. Учебный курс_Бланк И.А_2004 2-е изд
-
Экономика: Учебник. 3-е изд., перераб. и доп. / Под ред. д. эк. н. проф. А.С.Булатова. – М.: Юристъ. 2000г.
-
Н.В. Колчина. Финансы организайий. Учебник для студентов вузов.- М.:ЮНИТИ-ДАНА,2007гю
-
Барышева Г. Инвестиции в научно-образовательный комплекс. // Экономист. 2001г. №9.
-
Берзон Н. Формирование инвестиционного климата в экономике. // Вопросы экономики. 2001. №7.
-
Балабанов Р.Основы финансового менеджмента. М.: Финансы и статистика, 2010 г.
-
Бочаров В.В. Финансово-кредитные методы регулирования рынка инвестиций. М.:Финансы и статистика, 2009 г.
-
Е.С.Стоянова. Финансовый менеджмент, М.: изд. "Перспектива",1998г.
-
Инвестиционный климат в России. // Вопросы экономики. 1999. №12
-
Шеремет А.Д. Методика финансового анализа предприятия.-М.:Инфра-М,1995г.
-
Навашина, Карпунин. Финансовый менеджмент. Уч.пос.,2005г.















