163450 (624361), страница 3
Текст из файла (страница 3)
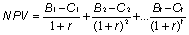
(1.)
где Bt - выгоды проекта в год t
Ct - затраты проекта в год t
t = 1 ... n - годы жизни проекта
Инвестору следует отдавать предпочтение только тем проектам, для которых NPV имеет положительное значение. Отрицательное же значение свидетельствует о неэффективности использования денежных средств: норма доходности меньше необходимой.
- Индекс прибыльности.
Индекс прибыльности (profitability index, PI) показывает относительную прибыльность проекта, или дисконтированную стоимость денежных поступлений от проекта в расчете на единицу вложений. Он рассчитывается путем деления чистых приведенных поступлений от проекта на стоимость первоначальных вложений:8
(2.)
где: NPV - чистые приведенные денежные потоки проекта;
Со - первоначальные затраты.
- Внутренняя норма рентабельности это показатель при котором NPV=0. В этой точке дисконтированный поток затрат равен дисконтированному потоку выгод. Она имеет конкретный экономический смысл дисконтированной "точки безубыточности" и называется внутренней нормой рентабельности, или, сокращенно, IRR.
Таблица 9. Показатели экономической эффективности проекта Нифертити Spa+
| 0 | 1 | 2 | 3 | 4 | 5 | |
| Денежный поток | -1103920 | 705613 | 705613 | 705613 | 705613 | 705613 |
| Коэффициент дисконтирования (15%) | 1 | 0,8696 | 0,75614 | 0,65752 | 0,571753 | 0,49718 |
| Дисконтированный денежный поток | -1103920 | 613576 | 533545 | 463952 | 403436,3 | 350814 |
| Чистый приведенный доход NPV | 1261403,74 | |||||
| Индекс прибыльности PI | 39% | |||||
| срок окупаемости проекта | 2,5 года |
Таким образом, с учетом того, что NPV>0 можно говорить об экономической целесообразности проекта, срок окупаемости которого 2,5 года.
7. Факторы риска
В процессе деятельности фирма может столкнуться с различными рисками. Их можно классифицировать следующим образом:
Юридические риски. Связаны с несовершенством законодательства, нечетко оформленными документами, двоякими трактовками законодательства.
Меры по снижению рисков:
-
Четкая и однозначная формулировка соответствующих статей документов;
-
Привлечение для оформления документов специалистов, имеющих практический опыт в этой области.
Производственные риски. Связаны со сложностью косметологической техники, быстро движущимся техническим прогрессом в сфере новых технологий в сфере оздоровительных процедур, недостаточно высоким качеством предоставляемых услуг.
Меры по снижению рисков:
-
Подбор профессиональных кадров;
-
Постоянное поощерение повышения квалификации работников;
-
Разработка и использование продуманной системы контроля качества услуг;
Своевременное выделение достаточных финансовых средств для приобретения необходимого оборудования.
Маркетинговые риски. Связаны с возможными задержками выхода на рынок, неправильным выбором услуг, ошибочным выбором маркетинговой стратегии, ошибками в ценовой политике.
Финансовые, инновационные, социальные и другие виды рисков.
Возможные случаи риска, связанные с деятельностью Салона красоты и здоровья НИФЕРТИТИ SPA+, представлены в таблице ПРИЛОЖЕНИЯ 5.
Вероятность наступления различных рисков будем оценивать по следующей шкале:
-
риск рассматривается как несущественный;
25- риск скорее всего не реализуется;
50- о наступлении события ничего определенного сказать нельзя;
75- риск скорее всего проявится;
100- риск наверняка реализуется.
Возможные виды риска, связанные с реализацией проекта
Основные факторы риска по проекту:
-
Появление новых конкурентов;
-
Рост цен на энергоресурсы;
-
Неплатежеспособность потребителей.
Основными путями снижения степени влияния данных факторов (при их возникновении) являются: снижение издержек производства, расширение ассортимента предлагаемых услуг и улучшение их качества.
В целом же риск проекта оценивается как несущественный.
Список использованной литературы
-
Аксель Зелль, Бизнес план: Инвестиции и финансирование, планирование и оценка проектов. – М.: «Ось-89», 2001 г.
-
Грибалев Н.П., Игнатьева И.Г., Бизнес-план. - С-Пб,.: Питер. 2003 г.
-
Ковалев В.В. Финансовый анализ: управление капиталом, выбор инвестиций, анализ отчетности. М.: Финансы и статистика, 2004 г.
-
Коссов В.В. Методические рекомендации по оценке эффективности инвестиционных проектов // Коссов В.В., Шахназаров А.Г., Лившиц В.Н.. - М:.Тезис – 2006 г.
-
Риск-анализ инвестиционного проекта. Учеб. для вузов. М.Грачева. – М.: Экономика и финансы, 2006 г.
-
Савчук В.П. Учебник «Оценка эффективности инвестиционных проектов» [Электронный документ] http://www.cfin.ru
-
Справочник финансиста предприятия.- М.: ИНФРА-М. 2005 г.
-
Среднесрочный план развития (2007-2010 г.г.) ООО «НИФЕРТИТИ SPA» Исх. № 24 от 12.04.2006 г.
-
Степанова Е., Каминский Е. Бизнес-планирование на предприятии//Журнал, Бизнес-Информ. май-июнь, 2002 г.
-
Сухова Л.Ф., Чернова П.Н. практикум по разработке бизнес-плана и финансовому анализу предприятия. 2004 г.
-
Фальцман В.К Оценка инвестиционных проектов и предприятий. - М:.Тезис – 2007 г.
-
ЭКСПЕРТИЗА ИНВЕСТИЦИОННЫХ ПРОЕКТОВ. [Электронный документ] http://www.cfin.ru
ПРИЛОЖЕНИЕ 1
Управляющий
Бухгалтер
Администратор
| Косметолог | Массажист | Парикмахер | Уборщица | |||||||||||
Рис. Организационная структура Нифертити Spa+
ПРИЛОЖЕНИЕ 2
Таблица
Штатное расписание
| Специальность | Оплата труда | Сумма оплаты, тыс.руб.. | Количество, чел. | Всего, тыс.руб. |
| Косметолог | 25-60% с оборота | 30 | 2 | 60 |
| Массажисты | 20-50% с оборота | 18 | 2 | 36 |
| Управляющий | 200 у.е.+4% с приб | 30 | 1 | 30 |
| Администратор | 150 у.е. +1% с оборота | 18 | 2 | 36 |
| Бухгалтер | 200 у.е. (полставки) | 6 | 1 | 6 |
| Уборщица | 150 у.е. | 4,5 | 1 | 4,5 |
Итого | | | 21 | 370,5 |
ПРИЛОЖЕНИЕ 3
Таблица. Финансовые показатели деятельности
| Показатель | сумма |
| выручка от реализации услуг | 1584000 |
| в т.ч. | |
| солярий | 144000 |
| Комплекс для коррекции | 81000 |
| Косметолог | 108000 |
| Массаж | 81000 |
| Пилинг | 86400 |
| Солярий | 86400 |
| Продажа косметики в холле | 997200 |
| Себестоимость услуг | 655562 |
| в т.ч. | |
| сырье и материалы | 19032 |
| ФОТ | 370500 |
| ЕСН | 96330 |
| амортизация | 13700 |
| аренда и коммунальные услуги | 68000 |
| услуги сторонних организаций | 88000 |
| прибыль до налогообложения | 928438 |
| налог на прибыль | 222825 |
| чистая прибыль | 705613 |
ПРИЛОЖЕНИЕ 4
Таблица. Чистый поток денежных средств по годам реализации проекта
| Наименование статьи | ||||||
| 0 | 1 | 2 | 3 | 4 | 5 | |
| выручка от реализации, руб. | 1584000 | 1584000 | 1584000 | 1584000 | 1584000 | |
| себестоимость оказанных услуг | 655562 | 655562 | 655562 | 655562 | 655562 | |
| Налоги | 222825 | 222825 | 222825 | 222825 | 222825 | |
| Cash-Flow от оперативной деятельн. | 705613 | 705613 | 705613 | 705613 | 705613 | |
| Затраты на приобретение активов | 1103920 | |||||
| Поступления от реализации активов | ||||||
| Cash-Flow от инвестицион. деятельн. | -1103920 | |||||
| Собственный капитал | ||||||
| Займы | 1103920 | |||||
| Выплаты % по займам | 165588 | 165588 | 165588 | 165588 | 165588 | |
| Выплаты в погашение займов | 1103920 | |||||
| Выплаты дивидендов | ||||||
| Cash-Flow от финансовой деятельн. | -1103920 | -165588 | -165588 | -165588 | -165588 | -1269508 |
| Баланс наличн. на начало периода | 0 | 0 | 540025 | 1080050 | 1620075 | 2160100 |
| Баланс наличности на конец периода | 0 | 540025 | 1080050 | 1620075 | 2160100 | 1596204 |
ПРИЛОЖЕНИЕ 5
Таблица. Перечень предполагаемых рисков для салона красоты и здоровья НИФЕРТИТИ SPA+
| Риски | Отрицательные последствия | Оценка, % |
| 1. Финансовые | ||
| Неустойчивость спроса в связи с появлением новых конкурентов | Уменьшение объемов продаж | 60 |
| Снижение цен конкурентами | Снижение цен | 5 |
| Рост налогов | Уменьшение прибыли | 20 |
| Неплатежеспособность потребителей | Уменьшение объемов продаж и снижение прибыли | 30 |
| Рост цен на энергоресурсы | Снижение прибыли | 50 |
| Недостаток собственных оборотных средств | Увеличение объемов заемных средств | 2 |
| Итого по финансовым рискам | 167 | |
| Средний % риска | 27,8 | |
| 2. Социальные | ||
| Отношение местных властей | Дополнительные затраты на выполнение их требований | 5 |
| Квалификация кадров | Низкое качество услуг, увеличение поломок | 10 |
| Итого по социальным рискам | 15 | |
| Средний % риска | 7,5 | |
| 3. Технические | ||
| Изношенность средств производства | Уменьшение объемов производства и прибыли | 0 |
| Недостаточная надежность оборудования | Увеличение аварийности, снижение качества услуг | 7 |
| Отсутствие резерва мощности | Невозможность покрытия пикового спроса | 2 |
| Итого по техническим рискам | 9 | |
| Средний % риска | 3,0 | |
| Всего | 191 | |
| Средний % риска | 17,4 |
1 Риск-анализ инвестиционного проекта. Учеб. для вузов. М.Грачева. – М.: Экономика и финансы, 2006 г.
2 Сухова Л.Ф., Чернова П.Н. практикум по разработке бизнес-плана и финансовому анализу предприятия. 2004 г.
3 Грибалев Н.П., Игнатьева И.Г., Бизнес-план. - С-Пб,.: Питер. 2003 г.
4 Степанова Е., Каминский Е. Бизнес-планирование на предприятии//Журнал, Бизнес-Информ. май-июнь, 2002 г.
5 Справочник финансиста предприятия.- М.: ИНФРА-М. 2005 г.
6 Среднесрочный план развития (2007-2010 г.г.) ООО «НИФЕРТИТИ SPA» Исх. № 24 от 12.04.2006 г.
7 Аксель Зелль, Бизнес план: Инвестиции и финансирование, планирование и оценка проектов. – М.: «Ось-89», 2001 г.
8 Фальцман В.К Оценка инвестиционных проектов и предприятий. - М:.Тезис – 2007 г.














