163181 (624190), страница 3
Текст из файла (страница 3)
Таблица 4. Расчет процентов по кредиту
| № п/п | Показатель | 1 год | 2 год | 3 год |
| 1 | сумма кредита, тыс. д.е. | 300 | 200 | 100 |
| 2 | сумма процентов по кредиту, тыс. д.е. (стр. 1 * 0,16) | 48 | 32 | 16 |
| 3 | возврат тела кредита, тыс. д.е. | 100 | 100 | 100 |
| 4 | итого к оплате, тыс. д.е. (стр. 2 + стр. 3) | 148 | 132 | 116 |
Далее необходимо рассчитать суммы доходов (выручка без НДС) от сбыта готовой продукции (табл. 5). Представленные расчеты показывают, что за первый год реализации проекта выручка составит 1254 тыс. д.е. За второй и третий год реализации проекта выручка составит 1584 тыс. д.е. по каждому году.
Таблица 5. Расчет выручки от реализации
| № п/п | Показатель | 1 год реализации проекта по мес. | 2 год | 3 год | |||||||||||||
| 1 | 2 | 3 | 4 | 5 | 6 | 7 | 8 | 9 | 10 | 11 | 12 | ||||||
| 1 | цена за ед. изделия, д.е. | 0 | 0 | 660 | 660 | 660 | 660 | 660 | 660 | 660 | 660 | 660 | 660 | 660 | 660 | ||
| 2 | планируемый объем производства, шт. | 0 | 0 | 100 | 200 | 200 | 200 | 200 | 200 | 200 | 200 | 200 | 200 | 2400 | 2400 | ||
| 3 | выручка без НДС, тыс. д.е. ((стр. 2 * стр. 3) / 1000) | 0 | 0 | 66 | 132 | 132 | 132 | 132 | 132 | 132 | 132 | 132 | 132 | 1584 | 1584 | ||
Представленные расчеты показывают, что выручка от реализации изделий превышает затраты на себестоимость изделий, таким образом на данном этапе можно предположить, что представленный проект выгоден. Однако в данном расчете не участвуют иные расходы не связанные с производством и реализацией продукции (амортизация, налоги на имущество, платежи по кредиту), поэтому далее необходимо составить финансовый план и определить состоятельность данного проекта.
| № п/п | Показатель | Годы | ||
| 1 год | 2 год | 3 год | ||
| Операционная деятельность | ||||
| 1 | Выручка от продаж (без НДС) | 1254 | 1584 | 1584 |
| 2 | Постоянные затраты | 424 | 480 | 480 |
| 3 | Переменные затраты | 598,5 | 756 | 756 |
| 3.1. | Итого расходов на производство (сумма строк: 2+3) | 1022,5 | 1236 | 1236 |
| 4 | Амортизация | 18,3 | 16,7 | 15,4 |
| 5 | Проценты по кредиту | 48 | 32 | 16 |
| 6 | Налог на имущество (2,2%) | 4,4 | 4,1 | 3,7 |
| 6.1. | Всего расходы (сумма строк 3.1.+4+5+6) | 1093,2 | 1288,8 | 1271,1 |
| 7 | Балансовая прибыль (стр. 1 – стр. 6.1.) | 160,8 | 295,2 | 312,9 |
| 8 | Налог на прибыль (20%) (стр. 7*20%) | 32,2 | 59,0 | 62,6 |
| 9 | Чистая прибыль от операционной деятельности (стр. 7 – стр. 8) | 128,6 | 236,2 | 250,3 |
| 10 | Сальдо операционной деятельности (стр. 9 – 4) | 110,3 | 219,5 | 234,9 |
| Инвестиционная деятельность | ||||
| 11 | Заводское оборудование | 220 | 201,7 | 185 |
| 12 | Оборотный капитал | 40 | 40 | 40 |
| 13 | Сальдо операционной и инвестиционной деятельности (стр. 11 + стр. 12) | 260 | 241,7 | 225 |
| Финансовая деятельность | ||||
| 14 | Долгосрочный кредит | 100 | 100 | 100 |
| 15 | Погашение основного долга | -100 | -100 | -100 |
| 16 | Остаток кредита | 300 | 200 | 100 |
| 17 | Проценты выплаченные | 48 | 32 | 16 |
| 18 | Сальдо финансовой деятельности (стр. 15+16+17) | 248 | 132 | 16 |
| 19 | Сальдо трех потоков (стр. 10 + стр. 13 + стр. 18) | 618,3 | 593,2 | 475,9 |
| 20 | Дисконтирующий множитель (d = 11,5%) | 0,898 | 0,807 | 0,725 |
| 21 | Дисконтированный денежный поток (стр. 20 * стр. 21) | 555,3 | 478,7 | 345,0 |
Расчет дисконтирующего множителя (с учетом того, что ставка рефинансирования составляет 11,5%):
где n – год реализации проекта
Далее необходимо рассчитать чистый дисконтированный доход, рентабельность инвестиций, индекс доходности, срок окупаемости проекта, внутреннюю норму доходности.
Таблица 6. Расчет чистого дисконтированного дохода
| Год | Доходы по проекту, тыс. д.е. | Расходы по проекту, тыс. д.е. | Коэффициент дисконтирования | Дисконтированные доходы, тыс. д.е. | Дисконтированные расходы, тыс. д.е. | NPV |
| 1 | 1254 | 1093,2 | 0,898 | 1126,1 | 981,7 | 144,4 |
| 2 | 1584 | 1288,8 | 0,807 | 1278,3 | 1040,1 | 238,2 |
| 3 | 1584 | 1271,1 | 0,725 | 1148,4 | 921,5 | 226,9 |
| ИТОГО | 4422 | 3653,1 | 3552,8 | 2943,3 | 609,5 |
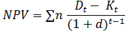
Чистый дисконтированный доход (NPV) рассчитывается по следующей формуле:
Где:
Dt – доходы t-го периода,
Kt – единовременные затраты t-го периода;
n – количество периодов реализации проекта;
d – ставка дисконтирования.
Очевидно, что чистый дисконтированный доход имеет положительное значение, следовательно, проект эффективен, однако для полного заключения об эффективности проекта необходимо рассчитать все указанные выше показатели.
Срок окупаемости проекта при неравномерном поступлении доходов определяют путем прямого подсчета количества лет, исходя из того, что совокупные затраты по проекту составляют 3563,1 д.е., следовательно:
Т.е. период окупаемости проекта практически равен сроку реализации проекта, далее, согласно принятым критериям: проект должен иметь меньший срок окупаемости, нежели срок реализации, с одной стороны критерий соблюдается, с другой стороны разница между сроком реализации проекта и сроком окупаемости составляет всего 6 мес. В данном случае эффективность проекта сомнительна.
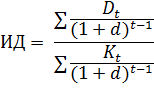
Индекс доходности проекта (ИД) – это отношение суммарного дисконтированного дохода к суммарным дисконтированным единовременным затратам:
Рассчитаем индекс доходности согласно имеющимся данным:















