160978 (623315), страница 4
Текст из файла (страница 4)
Дані свідчать про те, що сьогодні структура активів є достатньо диверсифікованою, зокрема, незначними залишаються вкладення в цінні папери. Певною мірою проблема диверсифікації кредитних портфелів банків регламентується НБУ шляхом встановлення для комерційних банків обов’язкових економічних нормативів.
На даний момент в Україні відбувається стратегія розвитку банків і фінансово – промислових груп, що зумовлена високими економічними, кредитними ризиками, особливостями чинного законодавства, яке не захищає належним чином прав кредитора. Найвідомішим об’єднанням такого типу є угрупування, до якого входять компанія „Київміськбуд” і АКБ „Аркада”, які беруть участь у реалізації житлово-будівельних проектів.
За підсумками розвитку кредитної системи України 2004 – 2006 р.р. можна продовжити зростання в першу чергу найбільших банків та збільшення капіталізації всієї системи в цілому. Але за цими ж показниками можна зробити висновок й про те, що проблема капіталізації часто поступається важливістю іншій проблемі – ціні вітчизняних ресурсів. Основним джерелом ресурсів для кредитування економіки залишаються вклади населення, які поки що мають високу ціну. Останнім часом найбільші банки все менш залучають кошти населення, оскільки робота за такими дорогими ресурсами малорентабельна. Натомість замість вітчизняних ресурсів найбільші банки вже всерйоз розглядають іноземні запозичення – хоча наразі вони не дуже значні. Зрозуміло, що напрацювавши позитивну кредитну історію перед іноземними фінансовими установами, вже через кілька років вітчизняні банки зможуть залучати з-за кордону досить значні недорогі ресурси, адже для найбільших фінансових установ взагалі немає такої проблеми, як „наситити Україну кредитними ресурсами” – необхідні обсяг для них є незначними, і єдине, що стримує іноземні банки, - це ризики та малий досвід роботи з вітчизняними позичальниками, тобто проблеми що мають тимчасовий характер [4, c.29-31].
2.2.Оцінка сучасного стану та специфіка функціонування кредитної системи України.
Розглянемо динаміку вимог банків за кредитами наданими фізичним особам та в економіку України станом на 01.01.2007р.
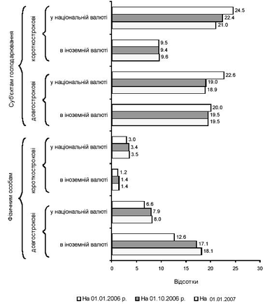
Вимоги банків за кредитами, наданими суб’єктам господарювання та фізичним особам, на 01.01.2007 р. становили 217,1 млрд. грн. У структурі кредитних вкладень за видами валют переважали вимоги за кредитами, наданими в національній валюті. Їх обсяг на 01.01.2007 р. становив 111,7 млрд. грн., або 51,4% від загального обсягу заборгованості за наданими кредитами, що на 5,3 процентного пункту менше, ніж на початок року 2006р. У структурі вимог банків за кредитами за категорією позичальників більшу частину становила заборгованість суб’єктів господарювання, частка якої внаслідок випереджаючих темпів кредитування фізичних осіб мала тенденцію до зниження. Так, якщо на початок 2006 року вимоги за кредитами суб’єктам господарювання становили 77,9% від загального обсягу вимог, то на кінець 2006 року – 69,0%.
Протягом 2006 року поліпшення структури ресурсної бази через залучення депозитних вкладів на довгостроковій основі сприяло подальшому зростанню частки заборгованості за довгостроковими кредитами у структурі кредитних вкладень. На 01.01.2007 р. питома вага довгострокових кредитів серед вимог банків за кредитами становила 64,6%, що на 2,8 процентного пункту більше, ніж на 01.01.2006 р.
Таким чином, у загальному обсязі вимог банків за кредитами, наданими суб’єктам господарювання та фізичним особам, найбільшою залишалася частка заборгованості суб’єктів господарювання за отриманими короткостроковими кредитами в національній валюті (21,0%) та довгостроковими кредитами як у національній (18,9%), так і в іноземній (19.5%) валюті. Також динамічно зростала частка довгострокових кредитів фізичним особам в іноземній валюті (до 18,1%) (рис. 2.1.)
Упродовж 2006 року поліпшилась якість кредитних вкладень в економіку України, про що свідчить зменшення (з 2,5 до 2,3%) частки проблемних кредитів у загальному обсязі вимог банків за наданими кредитами. При цьому питома вага заборгованості за простроченими кредитами залишилася на рівні початку року – 1,2%, а за сумнівними кредитами – знизилася на 0,2 процентного пункту до 1,0%.
Темпи зростання заборгованості за кредитами протягом 2006 року були найвищими порівняно з аналогічним періодом останніх семи років, що сприяло прискоренню економічного зростання.
По відношенню до ВВП заборгованість за кредитами, наданими банками, зросла за 2006 р. з 33,8 до 43,6%. Обсяги кредитування економіки зростали з початку року переважно за рахунок приросту заборгованості за кредитами, наданими в іноземній валюті, – в цілому на 43,3 млрд. грн., або на 69,6%, до 105,4 млрд. грн.
Рис. 2.1. Структура вимог банків за кредитами, наданими суб’єктам господарювання та фізичним особам [10]
Така ситуація пояснювалася:
-
нижчим рівнем процентних ставок за кредитами в іноземній валюті порівняно з кредитами в національній валюті в умовах стабільності обмінного курсу гривні щодо долара США (додаток А).
На величину відсоткових ставок по банківських кредитах значною мірою впливає рівень облікової ставки НБУ (додаток Б) та відсоткових ставок за депозитами. Крім того, рівень відсоткових ставок за банківськими кредитами формується під впливом ризиків, які мають місце при кредитуванні банками своїх клієнтів, адміністративних, операційних та інших витрат банків.
Аналіз динаміки відсоткових ставок за банківськими кредитами свідчить, що вартість кредитів для всіх позичальників має тенденцію до зменшення. Так, наприклад, ще в липнi 2007 р. процентні ставки за кредитами банків у нацiональнiй валютi знизились до 13.9% рiчних, а за кредитами в iноземнiй валютi почали зростати. У серпні середньозважена ставка кредитування знизилась як в національній валюті на 0,6 в.п. (до 13,3%, на початку року – 15,1%), так і в іноземній - на 0,2 в.п. (до 11,3%, на початку року – 11,5%). Обсяг коррахунків банків збільшився на 0,5 млрд. грн. до рівня 19,9 млрд. грн. (при вільній ліквідності – 14,5 млрд. грн.). Такої ліквідності достатньо для кредитної підтримки процесів економічного розвитку, забезпечення поточної діяльності суб’єктів економіки та підтримки низької ставки міжбанківського ринку, яка протягом місяця залишалась стабільною (1,6%). Середньозважена ставка за кредитами в національній валюті у вересні збільшилася з 13.3% до 13.8% річних, в іноземній зменшилася з 11.3% до 11.1% річних. Інтегральна ставка за кредитами у вересні порівняно з серпнем збільшилася з 12.6% до 12.9% річних. Але вартість банківських кредитів в Україні є досить високою. За висновками експертів високі ставки за кредитами значною мірою обумовлені наступним чинниками :
- процентні ставки змушені перекривати ризик неповернення кредитів, у тому числі іншими позичальниками.
- неефективна структура витрат банків, коли процентні доходи виступають не тільки компенсатором процентних витрат, але і чи не єдиним джерелом покриття витрат адміністративних.
- недосконала практика управління кредитними ризиками, зокрема відсутність інструментів пом’якшення такого ризику.
- недосконала конкуренція на ринку банківських послуг та висока вартість залучених коштів [12,c.131-132];
-
нарощуванням ресурсної бази банків насамперед за рахунок прискореного зростання депозитних коштів у іноземній валюті на внутрішньому ринку та за рахунок активного залучення банками коштів на міжнародних фінансових ринках;
-
активізацією імпортерів, які формували попит на кредити в іноземній валюті (рис.2.2.)
Рис. 2.2. Динаміка вимог банків за кредитами, наданими в економіку України (за видами валют) [10]
Із початку року зберігалася позитивна тенденція до зростання довгострокових кредитних вкладень. За 2006 р. вимоги банків за кредитами, наданими на строк понад один рік, збільшилися на 51,5 млрд. грн. (на 58,2%) до 140,1 млрд. грн., що у 2,3 раза більше за збільшення вимог за короткостроковими кредитами – на 22,1 млрд. грн. (або на 40,4%) до 76,9 млрд. грн. У жовтні поточного року зростання заборгованості за довгостроковими кредитами становило 6,9 млрд. грн., або 5,2%, за короткостроковими – 0,5 млрд. грн., або 0,7%. Вагоміше зростання кредитних вкладень за всіма строками повернення спостерігалося в іноземній валюті.
Позитивною тенденцією у 2006 р. було суттєве зростання обсягів кредитів, наданих в інвестиційну діяльність суб’єктів господарювання та фізичних осіб, заборгованість за якими за десять місяців поточного року зросла на 89.3%, зокрема у жовтні – на 6,2% до 42,4 млрд. грн. Проте їх частка у структурі кредитних вкладень, хоча й підвищилася на 3,9 процентного пункту, залишалася на невисокому рівні (19,5%). Заборгованість за кредитами, наданими на інвестиційні цілі суб’єктам господарювання та фізичним особам, на 01.01.2007 р. розподілилася майже порівну і становила по 21,2 млрд. грн.
У структурі вимог банків за кредитами в інвестиційну діяльність відзначалася позитивна динаміка зростання питомої ваги заборгованості за іпотечними кредитами, яка на кінець 2006 року становила 52,1%. Серед цих вимог переважну більшість (73,4%) становили вимоги за кредитами, наданими фізичним особам, з яких 87,4% – заборгованість в іноземній валюті.
Заборгованість за кредитами, наданими на забезпечення потреб поточної діяльності, на 01.01.2007 р. становила 174,7 млрд. грн., або зросла за 2006 р. на 44,4%, у тому числі за жовтень – на 2,6%.
Упродовж 2006 року найбільший приріст вимог банків за кредитами забезпечило зростання заборгованості за кредитами, наданими суб’єктам господарювання, збільшившись на 36,4%, або на 40,0 млрд. грн. У структурі вимог банків за кредитами, наданими суб’єктам господарювання, переважала заборгованість у національній валюті, частка якої на кінець 2006 року становила 57,8% і зменшилася за десять місяців поточного року на 3,6 процентного пункту. З початку року темпи зростання заборгованості за кредитами в іноземній валюті становили 149,3%.
Найбільше кредитів у іноземній валюті було надано суб’єктам господарювання в доларах США та євро, частки яких на 01.01.2007 р. становили 83,3 та 14,9% відповідно. Решту (1.8%) становили кредити в російських рублях та інших валютах.
Заборгованість суб’єктів господарювання за отриманими довгостроковими кредитами, які становили переважну більшість (55,7%) у загальному обсязі вимог за кредитами, наданими суб’єктам господарювання, за 2006 рік збільшилася на 22,3 млрд. грн., або на 36,6% до 83,4 млрд. грн. Вимоги банків за короткостроковими кредитами на 01.01.2007 р. становили 66,4 млрд. грн., або зросли на 17.6 млрд. грн., або на 36,1% до 66,4 млрд. грн., у тому числі в іноземній валюті – на 52,9%. У жовтні їх обсяг скоротився на 0,2% виключно за рахунок зменшення їх частини в національній валюті (на 2,8%).
У 2006 році зростання вимог банків за кредитами суб’єктам господарювання забезпечувалося зростанням заборгованості за кредитами, наданими на операції з нерухомим майном, оренду, інжиніринг та надання послуг підприємцям, на 78,8%, у будівництво – на 53,1%, на виробництво електроенергії, газу та води – на 53,0%, підприємствам транспорту та зв’язку – на 48,6%, у сільське господарство, мисливство та лісове господарство – на 43,8%, у переробну промисловість – на 31,1%, торгівлю; ремонт автомобілів, побутових виробів та предметів особистого вжитку – на 26,6% та в добувну промисловість – на 26,1%.
Слід зазначити, що переважну більшість заборгованості зазначених видів економічної діяльності становила заборгованість за довгостроковими кредитами . У загальному обсязі кредитних вкладень частка заборгованості за кредитами суб’єктам господарювання торгівлі, що були найвагомішими споживачами кредитних ресурсів, знизилася за 2006 р. на 2,7 процентного пункту до 37,2%. Одночасно частка заборгованості за кредитами, наданими сільгосптоваровиробникам, підвищилася з 7,5 до 8,0%, будівництва – з 5,4 до 6,2% та підприємствам транспорту та зв’язку – з 4,0 до 4,3% (рис. 2.3.) [11, c.37-38].
Рис. 2.3. Структура вимог банків за кредитами суб’єктам господарювання (за окремими видами економічної діяльності) [10]
У структурі кредитних вкладень за формами власності основну частину (94.3%) становили кредити, надані суб’єктам господарювання з приватною формою власності, заборгованість за якими з початку 2006 року збільшилася на 36,5% (у жовтні – на 2,0%) до 141,3 млрд. грн. Вимоги за кредитами, отриманими державними підприємствами, за цей період зросли на 31,1% (у жовтні – зменшилися на 2,9%) і на 01.01.2007 р. становили 7,7 млрд. грн. (або 5,1%). Решту 0,8 млрд. грн. (або 0,6%) становили вимоги за кредитами, наданими господарствам з комунальною формою власності.
Таким чином надання кредитів і проведення кредитної політики є найпоширенішою операцією банківських установ. Кредитні операції приносять банківським установа основну частину доходу, при цьому процентні ставки мають тенденцію зниження [11, c.39-40].
3.Проблема кредитування фізичних осіб та шляхи її вирішення.
Кредитування приватних осіб – ринковий сегмент, що динамічно розвивається. На нього виходить усе більше банків. І завдяки зростанню конкуренції умови кредитування стають привабливішими для клієнтів. Автор статті, узагальнюючи досвід роботи основних операторів роздрібного ринку, розкриває особливості кредитного обслуговування приватних осіб.
Роздрібний ринок кредитування, попри підвищену порівняно з оптовим трудомісткість операцій і потребу в розвинутій мережі філіалів, приваблює банки обсягами та низьким рівнем кредитного ризику. Чинниками його динамічного розвитку впродовж трьох останніх років були: стабільність курсу національної валюти, підвищення платоспроможності громадян, зниження процентної ставки за кредитами, можливість надання кредитів у іноземній валюті резидентам за операціями з використанням карток міжнародних платіжних систем.
Приватних клієнтів кредитують за тими ж принципами, що й суб’єктів господарювання: на умовах цільової спрямованості, строковості, повернення, платності та забезпеченості.
З огляду на суб’єкт кредитування на роздрібному ринку – фізичну особу – висуваються особливі вимоги до позичальника, пакета документів для одержання кредиту та видів його забезпечення. Вони суттєво відрізняються від вимог до позичальників на оптовому ринку – юридичних осіб – і пов’язані з віком клієнта, станом його здоров’я, соціальною стабільністю.
Зростання обсягів коштів, залучених банківською системою, крім підвищення рівня довіри до банків з боку економічних суб’єктів та населення, висвітлило в інший бік – у які активи трансформується приплив грошових ресурсів. Зважаючи на уповільнення темпів розвитку української економіки та посилення інфляційних ризиків, проблема розміщення залучених банками ресурсів набуває актуальності, оскільки в такій ситуації концентрація ризиків може негативно вплинути на макроекономічну та фінансову стабільність.
Аналіз тенденцій банківського кредитування за останні роки засвідчив, що у кредитній політиці банків відбулися зміни – банки дедалі активніше нарощують кредитні вкладення у сектор домогосподарств (див. табл. 3.1.): починаючи 3 2002 року, темпи нарощування кредитів домогосподарствами стабільно перевищують темпи кредитування не фінансового сектору економіки.
Таблиця 3.1. Кредити банків за окремими інституційними секторами економіки, 2001-2005 р.р.
| Показники | 01.01.2002 | 01.01.2003 | 01.01.2004 | 01.01.2005 | 01.01.2006 |
| Кредити нефінансовго сектору, млрд.грн. | 26,6 | 38,15 | 57,4 | 71,59 | 106,08 |
| Відсоток до загального обсягу кредитних вкладень | 93,8 | 90,8 | 84,6 | 80,8 | 74 |
| Кредити домогосподарствам, млрд.грн. | 1,56 | 3,66 | 9,89 | 16,13 | 35,66 |
| Відсоток до загального обсягу кредитних вкладень | 5,5 | 8,7 | 14,6 | 18,2 | 24,9 |
[7]















