160653 (623185), страница 3
Текст из файла (страница 3)
Зниження світового попиту, падіння цін на товарних ринках, загострення конкуренції та підвищення протекціонізму обумовили суттєве зменшення обсягів експорту товарів у 2009 році – на 40,3% порівняно з 2008 роком до 40,4 млрд. дол. США.
Більш значне падіння внутрішнього попиту та відносне подорожчання імпортованих товарів обумовили ще вищі темпи падіння обсягів імпорту в 2009 році – 45,4% до 45,7 млрд. дол. США. Найбільш значних скорочень зазнав імпорт машинобудівної продукції (в 2,9 рази).
Вперше з жовтня 2008 р. в Україні поновився притік боргового капіталу в значних обсягах – додатне сальдо за статтею «Кредити та облігації» у грудні становило 676 млн. дол. США, тоді як за перші 11 місяців відтік склав 9.4 млрд. дол. США. Такий чистий притік був обумовлений, з одного боку, покращенням ситуації з ліквідністю в світовій фінансовій системі, а з іншого, певним відновленням довіри до вітчизняних позичальників внаслідок стабілізації на українському фінансовому ринку, зокрема на його валютному сегменті, та зростання цін на світових сировинних ринках, що позитивно впливало на висновки іноземних кредиторів щодо перспектив української економіки, а також дуже низькими обсягами погашень зовнішніх зобов’язань.
Аналізуючи стан регулювання грошово-кредитної політики України на сучасному етапі варто відмітити безконтрольне нарощування зовнішнього боргу (рис. 2.6).
Як видно з рис. 2.6., протягом аналізованого періоду найнижчими темпами зростав зовнішній державний борг України (121 %), найвищими – зовнішні борги банків (у 14,1 рази). Це призвело до принципової зміни структури зовнішнього боргу України.
Рис. 2.6. Динаміка зовнішнього боргу України за 2005 – 2009 рр., % до 01. 01. 2005 р [32, с. 54].
Якщо станом на початок 2005 р. на сферу відповідальності уряду припадало більше третини зовнішнього боргу – 36,6%, то на дату календарного відліку світової фінансової кризи (початок жовтня 2008 р.) ця частка скоротилася майже втричі – до 11,76 % (табл. 2.7). Натомість зовнішня заборгованість банків із 8,7% зросла до 32,16 %. Разом із заборгованістю корпоративного бізнесу вона сягнула 72 % загального зовнішнього боргу України та перевищила 75 млрд. дол., що у 2 рази більше від офіційних валютних резервів України, які перебувають в оперативному управлінні НБУ.
Таблиця 2.7
Структура зовнішнього боргу України протягом 2006 – 2009 рр.
| Складові | 2006 р. | 2007 р. | 2008 р. | 2009 р. |
| сектор державного управління | 20,04 | 14,86 | 11,76 | 12,72 |
| органи грошово-кредитного регулювання | 1,61 | 0,58 | 4,65 | 5,80 |
| банки | 25,85 | 38,71 | 38,83 | 32,16 |
| інші сектори | 48,94 | 42,00 | 43,25 | 39,72 |
| валовий зовнішній борг | 100,00 | 100,00 | 100,00 | 100,00 |
Крім прорахунків у сфері валютного контролю та валютного регулювання Національний банк України своїми діями під час 2008 – 2009 рр. спричинив і інші інфляційні загрози:
-
імпортована інфляція, пов’язана із завезенням до країни вкрай необхідних товарів, які не можна у короткий термін замінити вітчизняними (наприклад, ліки);
-
кредитна емісія, що загрожує не прогнозованим зростанням грошової маси [21, с. 25].
Рятуючи банки від дефолту, Національний банк України різко наростив обсяги їх рефінансування (рис. 2.7).
Рис. 2.7. Помісячний приріст оборотів рефінансування за 2008 – 2009 рр., млрд. грн. [41].
Як видно з рис. 2.7, обсяг кредитів, які НБУ надав банкам, за 2008 р. сягнув 170 млрд. грн. (3/4 від суми доходів державного бюджету), що в чотири рази більше, ніж за чотири попередні роки разом узяті. За перші три місяці фінансової кризи – жовтень – грудень 2008 р. – сума рефінансування склала 105,4 млрд. грн. В першому півріччі 2009 р. Національний банк збільшив оборот рефінансування ще на 55,8 млрд. грн.
За своєю суттю рефінансування – це первинна емісія, яка погрожує, за ефектом мультиплікатора, багатократним зростанням маси грошей, що завдяки НБУ з’явилась на балансах банків. Отже, своїми діями НБУ сформував потужний інфляційний потенціал.
Крім того, обсяги грошової емісії Національного банку України (основного чинника інфляції) на сьогодні жодним чином не регламентовані й не регульовані.
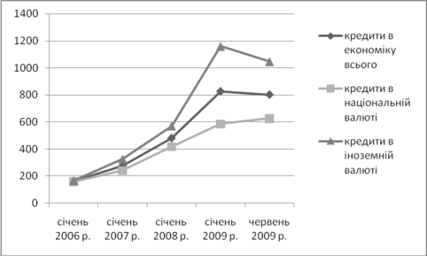
Також доволі серйозним прорахунком грошової політики Національного банку є безконтрольна доларизація економіки держави (рис. 2.8).
Рис. 2.8. Динаміка кредитних вкладень банків України за 2005 – 2009 рр. в розрізі валют, % до 01.01.2005 р [38, с. 440]
Як бачимо з рис. 2.8, протягом досліджуваного періоду в Україні чітко простежується тенденція випереджаючого зростання обсягів кредитування в іноземній валюті (в основному в доларах США).
Активізація процесу доларизації хронологічно збігається з нарощуванням присутності іноземних банків на вітчизняному ринку. Причому якщо станом на початок 2005 р. на іноземну валюту припадало 42 % загального обсягу виданих в Україні кредитів, то вже на початку 2007 р. обсяги кредитів у іноземній валюті зрівнялися з гривневими, а станом на 1 жовтня 2008 р. кредити в іноземній валюті перевищили гривневі – 51,4 %. Переоцінка цієї заборгованості внаслідок обвалу курсу гривні призвела до того, що на початку 2009 р. частка інвалютних кредитів становила 57,7 % від загальної суми заборгованості клієнтів банкам.
Водночас потрібно наголосити, що значні масштаби доларизації економіки України несуть у собі серйозні загрози для національної грошової системи не так через ризики, яких сьогодні зазнає обіг долара як провідної світової валюти, як через обмеження можливостей повноцінного монетарного регулювання економіки, що виникають за умов паралельного перебування в обігу нарівні з національною грошовою одиницею іноземної валюти. Тому доларизація економіки України як результат фінансової глобалізації є явищем більшою мірою негативним, хоча й цілком об’єктивним.
Таким чином, підсумовуючи проведений аналіз стану грошового обороту України та його регулювання можемо зазначити, що на сьогоднішній день вичерпалися всі наявні в Україні важелі регулятивного впливу на грошовий ринок, а тому постає нагальна потреба в розробці нових методів та запровадженні нових підходів грошово-кредитного регулювання, застосуванні інших монетарних стратегій.
РОЗДІЛ 2. НАПРЯМКИ УДОСКОНАЛЕННЯ ДЕРЖАВНОГО РЕГУЛЮВАННЯ ГРОШОВОГО ОБОРОТУ УКРАЇНИ
Фінансова криза, що відбувається у світі, зумовила погіршення стану економік майже всіх країн. Відбувається зупинення підприємств, падіння обсягів виробництва, зменшення реальних доходів населення, погіршується стан банківської системи.
Порівняно з багатьма іншими країнами вплив глобальної кризи на Україну виявився досить суттєвим, що пояснюється особливостями інтеграції країни в систему світо господарських зв’язків та структури національної економіки, незавершеністю багатьох інституційних та структурних реформ. До того ж економічна криза в країні розгортається на тлі політичної кризи, що об’єктивно ускладнює процес вироблення та реалізації антикризової політики.
Криза, яка з особливою гостротою розгорнулася восени 2008 р., виявила усю безпорадність самостійного і неузгодженого управління грошово-кредитною політикою з боку Національного банку України. Таким чином, назріла нагальна потреба в розробці системи заходів впливу на певні грошові індикатори.
Аналізуючи досвід подолання фінансової кризи в зарубіжних країнах, можна назвати два основних шляхи державного регулювання:
1. США, ЄС та Японія обрали шлях зниження центральними банками облікової ставки та норм резервування для комерційних банків.
2. Росія, зіштовхнувшись із проблемою великомасштабного відтоку капіталу та необхідністю витрачати великі кошти на обслуговування кредитів у іноземній валюті, підняла ставку рефінансування (з 10 до 13%) з тим, щоб зменшити девальваційний тиск на рубль [1, с. 116].
Ключовим елементом національних антикризових програм розвинутих країн стали заходи, спрямовані на стабілізацію ситуації на фінансових ринках.
Важливим елементом антикризових програм є державна допомога системним банкам та фінансовим інституціям, що переживають труднощі. Така допомога здійснюється різними шляхами, а саме:
-
кредитування за рахунок бюджетних коштів;
-
рекапіталізація за участю держави;
-
надання гарантій (за певну плату) на вартість минулих інвестицій банків, які можуть з певною імовірністю виявитися збитковими;
-
розміщення державних коштів на депозитних рахунках комерційних банків;
-
викуп цінних паперів, забезпечених виданими кредитами [31, с. 12].
Однак, при виборі методів подолання фінансової кризи для нашої країни слід враховувати внутрішні чинники фінансової кризи в Україні, адже вони мають значний вплив на нинішню економічну ситуацію:
По-перше, це постійне збільшення соціальних виплат, незалежно від показників зростання виробництва праці й товарного забезпечення , як для внутрішнього споживання, так і для експорту.
По-друге, як наслідок, це негативне сальдо торгового балансу, яке до кінця 2009 р. досягло вже майже 20 млрд. дол.
По-третє, сума іноземних кредитів за перше півріччя 2008 р. досягла 85 млрд. дол., що в 2,2 рази перевищує державні резерви. А у зв’язку зі світовою фінансовою кризою комерційні банки та підприємства втратили можливість постійно брати зовнішню позику задля погашення старих кредитів.
Четвертою причиною є виникнення дисбалансу між попитом і пропозицією іноземної валюти, що зумовило зниження курсу національної валюти.
П’ятий чинник – високий рівень доларизації економіки, що створює загрозу для національної економіки в умовах нестабільного курсу долара. Це обмежило дію інструментів монетарної політики НБУ і зробило ситуацію на вітчизняному фінансовому ринку залежною від такої на міжнародних фінансових ринках.
Що стосується зовнішніх чинників, слід зазначити, що вони лише збільшили дію внутрішніх. Можна відокремити такі з них: фондовий ринок, банківська система, зовнішньоторговельна та боргова сфери.
Отже, враховуючи ці проблеми, для поліпшення стану фінансового ринку України релевантною є зміна грошово-кредитної політики на більш жорстку і послідовну, а саме:
-
зниження ставки рефінансування комерційних банків на 5 – 6 % (зараз становить 12 %), що зробить кредити більш доступними. Разом із цим, необхідно запровадити контроль за виданими кредитами банкам, щоб запобігти ситуації, коли вони будуть отримувати кредити під 6 – 7 %, а надавати підприємствами під 20 – 30 %. Для рефінансування банків можна використовувати частину золотовалютних резервів держави;
-
запровадження адміністративного регулювання процентних ставок задля запобігання корупції й зловживань, встановлення банківської маржі по операціях за кредитом, який виділяє держава, на рівні 2 – 3 %;
-
виконання Національним банком функції «кредитора останньої надії» та забезпечення рефінансування вибірково, залежно від вкладу банку в розвиток економіки країни;
-
реальне прив’язування монетарної політики до попиту підприємств, тобто збільшення долі рефінансування банків під виробничі векселі;
-
здійснення націоналізації активів проблемних банків. Для цього можна створити державну компанію з повернення активів;
-
використання керованого плаваючого курсу з поступовим переходом до режиму вільного обмінного плаваючого курсу. Це сприятиме посиленню гнучкості обмінного курсу гривні через розширення діапазону його можливих коливань;
-
запровадження контролю над зовнішнім боргом приватного сектору (банківського та корпоративного) і зіставлення з можливостями його погашення.
Необхідною складовою стратегії подолання економічної кризи є реанімація фондового ринку в Україні. Для цього можливим є здійснення наступних заходів:
-
консолідація всіх інститутів фондового ринку під контролем (можливо, за участі) держави, залишивши одну фондову біржу (за конкурсом) та єдиний центральний депозитарій (шляхом злиття існуючих депозитаріїв – МФС, Всеукраїнського центрального депозитарію, депозитарію Нацбанку та Національного депозитарію);
-
створення інституту Центрального контрагента, що зможе забезпечити реальність цін на українські цінні папери;
-
встановлення правил щодо обов’язкового здійснення розрахунків за операціями з цінними паперами через центральний депозитарій;
-
здійснення всіма акціонерними товариствами емісії акцій в без документарній формі та знерухомлення їх у центральному депозитарії [22, с. 89].
В умовах економічної кризи і банки і держава, в особі уряду України, все частіше вдаються до фінансування від міжнародних фінансових організацій (МФО), таких, Міжнародний валютний фонд, Європейський банк реконструкції та розвитку і Міжнародна фінансова корпорація. При цьому вимоги Міжнародного валютного фонду досить жорсткі, кредити надаються в основному для найшвидшого повернення корпоративними позичальниками своїх боргів іноземним кредиторам.
Для стабілізації грошово-кредитної системи України в цих умовах доцільно використовувати ряд методів і механізмів:
-
Поступово перетворювати короткострокові кредити в середньострокові та довгострокові.
-
Спрямовувати майбутні іноземні кредити на інвестиції в імпортозамінюючі й експорт орієнтовані виробництва (на даному етапі західні кредити використовувати на конкретні проекти розвитку підприємств або галузей, здійснення їх реструктуризації та підвищення конкурентоспроможності продукції з одночасним посиленням контролю за їх використанням і поверненням).
-
Досягати незв’язаного характеру іноземних кредитів, щоб вони слугували національному виробнику, а не експорту товарів з країн – позичальників кредитів. Подальше залучення зв’язаних товарних кредитів може здійснюватися лише на умовах визначення критеріїв і проведення ретельної оцінки ефективності залучення і використання кредитних ресурсів, забезпечення чіткої керованості процесом залучення, використання і повернення зовнішніх запозичень.
-
Брати зовнішні кредитні ресурси з метою фінансування платіжного балансу (своєчасного виконання зобов’язань з виплати зовнішнього боргу, підтримки національної валюти).
-
Для широкої громадськості істотно підвищити прозорість системи залучення і використання іноземних кредитів (які залучаються як державою, так і підприємствами під державні гарантії).
-
Поступово знижувати кількість зовнішніх кредитів.
-
Брати тільки такі кредити, які можливо обслужити.
-
Національному банку України слід встановити жорсткіші вимоги до формування банківських резервів на відшкодування можливих втрат від кредитних операцій в іноземній валюті з фізичними і з юридичними особами, що не мають джерел валютних надходжень.
-
Відстежувати цільову спрямованість використання кредитних ресурсів і наявність у компанії реальних джерел для погашення боргів. Економічно обґрунтовано залучати такі кредити тільки для фінансування інвестиційних проектів.
-
Збільшити прозорість комерційних банків, зробити їх публічними, виявити реальних власників, вжити заходів щодо скорочення кількості кєптивних банків, що дозволить підвищити відповідальність за них безпосередніх власників.
-
Провести реструктуризацію фінансово-кредитних інститутів шляхом:
-
скорочення числа відділень;
-
створення ефективних регіональних центрів з флагманським відділенням у кожній області;
-
консолідації фінансово-кредитних інститутів. Якщо таке укрупнення відбудеться, фінансові установи, що залишилися, цілком зможуть діяти з іноземними на рівних з погляду залучення ресурсів на зовнішньому ринку;
-
зміни технологій роботи (наприклад, розвиток систем самообслуговування, зокрема шляхом електронних платежів, що стане альтернативою відкриттю нових банківських відділень).
-
12. Нормативно обмежити споживче кредитування, впровадити диференційовані ставки резервування залежно від структури кредитного портфеля, забезпечити позичальника інформацією про реальну ціну кредиту.















