153678 (622212), страница 4
Текст из файла (страница 4)
2. Якщо розрахувати кінцевий вид рівнянь прямолінійної регресії по формулах (3.1) і (3.2):
Т. ч.
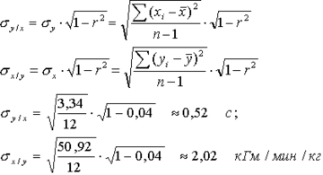
4. Якщо розрахувати абсолютні погрішності рівнянь регресії по формулах (3.3) і (3.4):
5. Необхідно розрахувати відносні погрішності рівнянь регресії по формулах (3.5) і (3.6):
6. Для графічного представлення кореляційної залежності між ознаками розрахувати координати ліній регресії, підставивши в кінцевий вид рівнянь (3.7) і (3.8) дані будь-якого досліджуваного (наприклад, четвертого зі списку).
Тоді:
при х = 12,8 кгм/хв/кг у =7,235 з " 7,2 з;
при в = 6,7 з х = 13,895 з " 13,9 кГм/хв/кг.
Аналіз рядів динаміки.
Якщо маємо
| Учасник | Результат | ||||||
| 1 | 56 | xt | T | t^2 | t^3 | T^4 | xt^2 |
| 2 | 56 | 56 | 1 | 1 | 1 | 1 | 56 |
| 3 | 54 | 112 | 2 | 4 | 8 | 16 | 224 |
| 4 | 12 | 162 | 3 | 9 | 27 | 81 | 486 |
| 5 | 28 | 8 | 4 | 16 | 64 | 256 | 32 |
| 6 | 28 | 40 | 5 | 25 | 125 | 625 | 200 |
| 7 | 25 | 48 | 6 | 36 | 216 | 1296 | 288 |
| 8 | 32 | 35 | 7 | 49 | 343 | 2401 | 245 |
| 9 | 21 | 256 | 8 | 64 | 512 | 4096 | 2048 |
| 10 | 23 | 9 | 9 | 81 | 729 | 6561 | 81 |
| 11 | 28 | 30 | 10 | 100 | 1000 | 10000 | 300 |
| 12 | 26 | 88 | 11 | 121 | 1331 | 14641 | 968 |
| 13 | 28 | 72 | 12 | 144 | 1728 | 20736 | 864 |
| 14 | 36 | 104 | 13 | 169 | 2197 | 28561 | 1352 |
| 15 | 54 | 84 | 14 | 196 | 2744 | 38416 | 1176 |
| 16 | 26 | 810 | 15 | 225 | 3375 | 50625 | 12150 |
| 17 | 78 | 96 | 16 | 256 | 4096 | 65536 | 1536 |
| 18 | 16 | 1326 | 17 | 289 | 4913 | 83521 | 22542 |
| Всього | 560 | 25 | 25 | 625 | 15625 | 390625 | 625 |
| 7076 | 325 | 5525 | 105625 | 2153645 | 127554 |
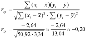
1) у досліджуваній групі спостерігається недостовірний зворотний взаємозв'язок між даними відносних значень PWC170 і часу машинного бігу 3х10 м, тому що rху = - 0,20 < rst = 0,55 для ДО= 11 при = 95%;
2) відносна погрішність функції ух = 7,875 - 0,05х менше (7,22%), а, отже, прогноз результату в машинному бігу за даними відносних значень проби PWC170 більш точний.
Висновки
1. За останні роки результат в індивідуальній гонці переслідування на 4 км. виріс з 4.32.53 секунд до 4.19.15 секунд, що складає 13 секунд. Але не можна судити про те, що результат виріс лише із-за доброї підготовленості спортсменів та удосконалення інвентаря і нових технологій в конструкції велосипеда і устаткування до нього. Також чинниками підвищення спортивних результатів, що можуть впливають на результат є:
А) місце розташування велотреку (високогір'я, середньо гір`я).
Б) покриття полотна велотреку.
В) погодні умови при відкритому треку.
2. Характеризуючи систему підготовки велосипедистів до індивідуальної гонки переслідування на 4 км. слід зазначити:
А) потрібно добитися добрих результатів на рівні майстрів спорту на шосе.
Б) виконати великий об'єм навантаження змагання на шосе (5-7 тис. км).
В) має бути система вкраплення етапів підготовки на треку, з врахуванням індивідуальних особливостей спортсмена.
3. У мікроциклі тренувань періоду юнаків велосипедистів слід виконати спочатку звикання до трека, а потім правильно підійти до тренувань та змагань з врахуванням індивідуальних особливостей гонщика.
На підставі вищевикладеного нами зроблені наступні виводи:
Підготовчий період - найбільш тривала одиниця тренувального макроциклу. Виходячи з сучасних вимог на цьому етапі підготовки повинні переважати спеціальною підготовкою вправи максимально наближені до змагань.
Для базового мезоциклу 1-етапу підготовчого періоду висококваліфікованих велосипедистів характерні мезоцикли двох типів: втягуючих і базові, а для другого контрольно-підготовчі або перед-змагання.
3. При розробці індивідуальних тренувальних планів слід використовувати рекомендації т. т. Гаммерштедта Ю.А. 1972 Жіхаревіча св., Черелисиной М.А. (1973г)
4. Таким чином виконання підвищеного об'єму специфічних тренувальних навантажень в першому місяці підготовчого періоду, а також використання на всьому протязі цього періоду інтенсивною тренувальною роботи, доля якої складає від 30-60% загального кілометражу є вельми ефективним.
Список використовуваної літератури
-
Бахвалов В.А. Роль тренера в організації виступу велосипедистів в змаганнях по треку. Велосипедний спорт. - М.; ФІС., 1977г.
-
Вильчковский Э.С. Физическое воспитание школьников в семье. - К.: Рад. шк., 1987. - 128 с.: ил.
-
Доман Г. Как сделать ребенка физически совершенным: Пер. с англ. - М.: АСТ, Аквариум, 2000. - 333 с.
-
Ердаков С.В. Підготовка велосипедистів - преследователей до відповідальних змагань. Ежегодник1975г. Велосипедний спорт - М.; ФІС., 1975г.
-
Ердаков С.В. Підсумки сезону-84 Щорічник. Велосипедний Спорт-м., ФІС., 2006
-
Крилатих Ю.Г. Техніка гонщиків-переслідувачів. Щорічник-м., ФІС., 2004
-
Лайзане С.Я. Физическая культура для детей: Кн. для учителя школы. - М.: Просвещение, 1987. - 160 с.: ил.
-
Морфофункциональное созревание основных физиологических систем организма детей школьного возраста / Под ред. М.В. Антроповой, М.М. Кольцовой. - М.: Педагогика, 1983.
-
Ніжегородцев А.Д. Дослідження ефективності різних видів змагань у зв'язку з вихованням спеціальної витривалості велосипедиста (на прикладі гонки переслідування на 4 км). Автореферат-м., 2002
-
Ніжегородцев А.Д. Дослідження спеціальної витривалості при різних поєднаннях об'ємно-інтенсивною Навантаження-м., ФІС., 2001
-
Осадчий В.П. Управління розвитком фізичних якостей при підготовці велосипедистів високого класу. Щорічник-м., ФІС., 1983г.
-
Осадчий В.П., Поліщук Д.А. Система педагогічного контролю за розвитком спеціальних фізичних якостей велосипедистів: Велосипедний спорт - М., ФІС., 1980г.
-
Пензулаева Л.И. Физкультурные занятия с детьми: Пособие для учителя школы. - М.: Просвещение, 1998. - 143 с.: ил.
-
Платонов В.Н. Загальна теорія та методика підготовки спортсменів в олімпійському Спорті., Олімпійська література, 2006
-
Платонов В.Н. організаційно-методичні проблеми підготовки велосипедистів Щорічник-м., ФІС., 1983г.
-
Платонов В.Н. Підготовка квалифицированых спортсменів - М., ФІС., 2003
-
Поліщук Д.А. Велосипедний спорт. Учбовий посібник., Віща школа 1998г.
-
Поліщук Д.А. Велосипедний Спорт., Олимпийская література, 1997г.
-
Поліщук Д.А. Дороги вдосконалення методики підготовки змагання велосипедистів високої кваліфікації. Велосипедний Спорт-м., ФиС., 1976г.
-
Поліщук Д.А. Підсумки сезону-80 в гонках по треку. Щорічник-м., ФІС. 1981г.
-
Практикум по общей физиологии и физиологии спорта. / Под редакцией А.Б. Гандельсмана. - М.: Физкультура и спорт, 1973.
-
Руденко В.П. Структура діяльності змагання велосипедистів в річному циклі підготовки (на матеріалі індивідуальної гонки). Автореферат, 2001.
-
Физиологические методы исследования в спорте С.Н. Кучкин, В.М. Ченегин. - Волгоград: изд. В.Г. И.Ф.К., 1982.
-
Физиология спорта. А.С. Солодков, Е.Б. Сологуб. СПб.: СПбГАФК им. П.Ф. Лесгафта. 1999.
-
Физиология спорта. Физиологические особенности спортивных упражнений скоростно-силового характера Н.А. Масальгин. - М.: изд. С.Г. И.Ф.К., 1979.
-
Физическая культура школьника: Ученик / Под ред.В.И. Ильинича. 2001г.
-
Физическая культура: Учебное пособие / Под ред. Коваленко В.А. 2000г.
-
Физическое воспитание детей школьного возраста: Кн. учителя школы / Сост. Ю.Ф. Луури. - М.: Просвещение, 1991. - 61 с.
-
Філін В.П. Виховання фізичних якостей у спортсменів - М., ФиС. 2006.
-
Хухлаева Г.В. Занятия по физической культуре с детьми: Кн. учителя школы. - М.: Просвещение, 1992. - 192 с.: ил.
-
Энциклопедия здоровья. Молодость до ста лет. Белов В.И. 1993г.
-
http://fkvot. infosport.ru/1996N1/p5-10. htm Концепция физического воспитания детей и подростков // Физическая культура: Научно-методический журнал. - 1996. - № 1.
-
http://www.infosport.ru/press/tpfk/1999N3/p54-58. htm Инновационные направления развития системы физического воспитания детей школьного возраста // Теория и практика физической культуры: Научно-теоретический журнал. - 1999. - № 3.















