153399 (622139), страница 3
Текст из файла (страница 3)
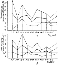
На підставі дослідження енергетичного потенціалу організму юних спортсменів за сумарним показником темпу розвитку фізичних здібностей порівняно з показниками попереднього року встановлено, що у хлопчиків найбільш інтенсивно розвиваються фізичні здібності у 8—9, 10—12 і 13—14 років (рис. 1.3) [7, 21].
Рис. 1.3 - Сумарні показники темпу розвитку фізичних здібностей хлопчиків (а) і дівчаток (б) шкільного віку: 1 — максимальний рівень; 2 — середній рівень; 3 — мінімальний рівень.
При цьому енергія нагромаджується поступово і в певному віці витрачається на формування систем і організму в цілому. Збільшення тренувального навантаження в ці вікові періоди, як і зменшення у віці 9—10, 12—13 і 16—17 років біологічно виправдано.
Дещо інший характер розвитку фізичних здібностей спостерігається в дівчаток (рис. 1.3, б): періоди зростання його темпів у них коротші, ніж у хлопчиків, але самих періодів більше. Відповідно до сповільнення темпів розвитку фізичних здібностей тренувальне навантаження для дівчаток зменшують у віці 9—10, 12—13, 14—15 і 16—17 років. Вікові періоди пов'язані із значним біологічним навантаженням внаслідок статевого дозрівання. При цьому помітна синхронність біологічних процесів: як у хлопчиків, так і дівчаток етапи статевого дозрівання збігаються з періодами зниження темпів розвитку фізичних здібностей [7, 22].
Таким чином, знаючи закономірності розвитку рухової активності дітей і підлітків можна визначати загальний обсяг тренувального навантаження. Проте для вірогідності цього показника потрібні дані про морфологічний розвиток молодого організму як цілісної системи, одержані при вивченні взаємозв'язку (кореляції) найбільш інформативних морфологічних ознак організму (зріст, маса тіла, окружності тіла та інші параметри) (рис. 1.4) [7, 23].
Рис. 1.4 - Динаміка взаємозв’язків морфологічних ознак у процесі росту хлопчиків (а) і дівчаток (б) шкільного віку
У періоди активного росту й розвитку окремих систем організму взаємозв'язок між ними може порушуватись через нерівномірність і гетерохронність зазначених процесів. Це дає підстави вважати, що в цей час знижуються адаптаційні можливості організму, його стійкість проти впливу значних фізичних навантажень, адже енергія витрачається на ріст.
Періодизація обсягу тренувального навантаження у молодшому шкільному віці. Дівчатка 8-річного віку мають багато взаємозв'язаних морфологічних ознак (на рівні 0,8—0,9), а в 9 років цей показник зменшується до 0,7—0,8. Це позначається на всіх факторах морфологічної системи при провідній ролі показника маси тіла й підвищенні інформативності показника довжини тіла.
У 10 років відбувається подальше зниження кількості кореляцій, що характерне не тільки для окремих факторів, а й для системи в цілому. Для більшості дівчаток вік 10 років є початком періоду статевого дозрівання. Тому починаючи з 8-річного віку тренувальні навантаження їм поступово зменшують до найменшого в 10 років, тобто на початку періоду статевого дозрівання.
У хлопчиків 8-річного віку найтісніше зв'язані між собою показники, які характеризують окружності тіла. У 9 років кількість взаємозв'язків збільшується (аналогічний рівень спостерігається у юнаків 15 років). Значне зниження кількості кореляцій відбувається у віці 10 років, тому в цей час треба зменшити загальний обсяг тренувальної дії [8, 69].
Періодизація обсягу тренувального навантаження в підлітковому віці. Для дівчаток 11 років властива найбільша узгодженість як окремих факторів, так всієї системи в цілому. У 13 років порушується гармонія росту й розвитку окремих систем і всього організму, що збігається з основним періодом статевого дозрівання. Дівчатка 14 років мають приблизно таку ж кількість кореляцій ознак морфологічної системи, як і в 12 років.
Структура взаємозв'язків ознак морфологічної системи дівчаток 15 років відповідає 10-річному віку.
При цьому значно порушується гармонійність розвитку морфологічної системи, зменшується функціональна готовність до великих обсягів тренувальних навантажень, закінчується період статевого дозрівання. Це друге й останнє значне зниження надійності організму в період його росту.
Для хлопчиків 11 років характерне підвищення кількості взаємозв'язків ознак до рівня 0,75. У 12 років число кореляцій зменшується й надійність організму погіршується, що свідчить про настання періоду статевого дозрівання. У 14 років кількість взаємозв'язків морфологічних ознак знову збільшується.
Вік 14—15 років для хлопчиків характерний тим, що організм в цей час набуває стійкості до великих тренувальних навантажень, бо настає гармонія і єдність у розвитку всіх елементів морфологічної системи. Це другий пік підвищеної надійності організму у період росту хлопчиків [8, 70].
Періодизація обсягу тренувального навантаження в юнацькому віці. Дівчата 16 років мають найбільшу кількість взаємозв'язків між показниками окружностей тіла. У 17 років гармонійність розвитку всередині окремих факторів і всієї морфологічної системи в цілому не порушується, лише впорядковується структура взаємозв'язків і виникають нові кореляції. У цей період завершується статеве дозрівання, підвищується надійність організму, його функціональна готовність до фізичних навантажень.
Для юнаків 16 років властиве значне зменшення кількості взаємозв'язків між ознаками; у 17 років структура морфологічної системи майже не змінюється, лише утворюється кілька кореляцій як в структурі окремих факторів, так і між ними.
При порівнянні динаміки взаємозв'язків морфологічних ознак з даними функціональних змін у молодому організмі (їх оцінюють за показниками сумарного темпу розвитку фізичних здібностей) чітко простежується гетерохронність розвитку двох систем — функціональної й морфологічної.
У періоди активного розвитку морфологічних ознак, що відбивається на зменшенні кількості кореляцій, темп розвитку фізичних здібностей сповільнюється. Це особливо помітно з настанням етапу статевого дозрівання.
Встановивши вікову періодизацію тренувального навантаження, потрібно також визначити його зміст, вирішити, за рахунок яких дій можна його збільшувати чи зменшувати, які засоби вибіркового впливу слід використати в навчально-тренувальному процесі на різних етапах спортивної підготовки. Щоб відповісти на ці питання, треба вивчити вікові закономірності вибіркового розвитку фізичних здібностей [7, 72].
1.3.3 Періодизація вибіркового обсягу тренувального навантаження
Через те що функціональні системи молодого організму дозрівають послідовно і вибірково, виникає потреба дозувати обсяг тренувальної дії, співвідношення її компонентів у системі багаторічної підготовки юних спортсменів. Тут можливі два напрями: перший — через серію експериментів визначити найбільш прийнятне співвідношення засобів вибіркового впливу; другий — використовуючи дані вікового розвитку фізичних здібностей, встановити періоди сенситивності (чутливості) до тренувального впливу.
Обидва напрями дають змогу на практиці визначити оптимальну величину вибіркового тренувального навантаження на різних етапах спортивної підготовки. Так, С. В. Каледін (1968) досліджував ефективність застосування в спортсменів 13—14 років таких співвідношень засобів тренувальної дії: а) 50 % основної частини заняття (уроку) — виховання швидкості, 25 % — сили і 25 % — витривалості; б) 50 % — виховання сили, 25 % — швидкості і 25 % — витривалості; в) 50 % — виховання витривалості, 25 % — швидкості і 25 % — сили [9, 103].
У першій групі спортсменів, де перевага надавалась вихованню швидкості, тренувальні засоби були спрямовані на розвиток швидкісних здібностей: біг (на короткі дистанції, за інерцією, східцями, підтюпцем, в упорі, бар'єрний, на місці), стрибки з розбігу тощо. У другій групі, в якій 50 % часу відводилось на виховання сили, застосовували віджимання штанги, перетягування за руки, підтягування, штовхання ядра, вправи з набивними м'ячами, силові ігри, присідання, біг з опором та інші засоби. Третя група спортсменів тренувалась переважно за програмою, спрямованою на виховання витривалості: тривалий біг помірного темну, крос, футбол, ручний м'яч, спортивна ходьба, біг різної інтенсивності тощо. Решта часу заняття відводилась на виховання інших фізичних здібностей.
Після закінчення експерименту були проведені контрольні випробування, які показали, що перший варіант, коли 50 % часу використовували на виховання швидкості і по 25 % — на формування сили і витривалості, найефективніший. Аналіз даних біохімічних досліджень підтвердив, що таке тренування створює в організмі спортсмена 13—14 років позитивні передумови для розвитку сили і витривалості, тобто справляє більш різноманітний вплив на нього.
Аналогічне дослідження для розробки співвідношення засобів вибіркової спрямованості проводилось групою тренерів під керівництвом В.П. Філіна (1972). Однак спрямованість засобів тренувальної дії була не швидкісною, а швидкісно-силовою. Результати педагогічного експерименту підтвердили ефективність такого підходу в комплексному вихованні фізичних здібностей юних спортсменів [15, 28].
При порівнянні результатів проведених досліджень з даними вивчення сенситивних періодів розвитку фізичних можливостей видно, що збільшення обсягу засобів тренувального впливу у 13—14 років є цілком обґрунтованим, бо в цьому віковому періоді активно розвиваються швидкісні і швидкісно-силові здібності юних спортсменів.
Отже, другий напрям більш доцільний і практичний, тобто оптимальний шлях вирішення питання про періодизацію обсягів тренувального навантаження — це вивчення закономірностей розвитку фізичних здібностей дітей і підлітків.
Біологічним обґрунтуванням такого підходу є теорія функціональних систем (П.К. Анохін, 1980), а педагогічним— дослідження Л.С. Виготського (1956), який установив, що педагогічний вплив під час сенситивних періодів значно прискорює розвиток здібностей дітей і підлітків. Це підтверджують також інші дослідження вітчизняних вчених [10, 211].
Для одержання порівняльних даних з метою комплексного вивчення цієї проблеми за критерій брали щорічний темп розвитку (приріст у процентах) окремих фізичних здібностей.
На підставі даних про темпи зростання окремих фізичних здібностей можна визначити обсяг вибіркового впливу, а також співвідношення засобів, яке відповідає закономірностям розвитку молодого організму.
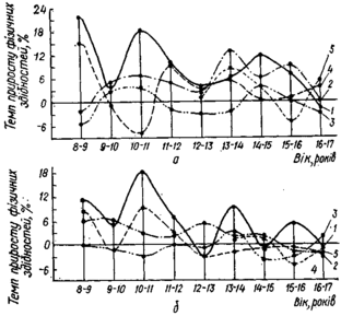
На попередньому етапі спортивної підготовки юні спортсмени мають найвищий темп розвитку швидкісно-силових здібностей. За три роки (з 8 до 11) ці здібності у хлопчиків зростають на 44 % (рис. 1.5, а), а в дівчаток на 34 % (рис. 1.5, б) [11, 162].
Рис. 1.5 - Вибірковий темп приросту фізичних здібностей у хлопчиків (а) і дівчаток (б): 1 — швидкісно-силових; 2 — швидкісних; 3 — гнучкості; 4 — спритності; 5 — витривалості.
З 10 до 11 років хлопчики значно випереджають дівчаток за темпами розвитку швидкості. Виховання швидкості рухів — швидкісних здібностей є одним з основних завдань навчально-тренувального заняття на попередньому етапі спортивної підготовки.
Вивчення закономірностей розвитку гнучкості показує, що у дівчаток не спостерігається великого підвищення її: з 8 до 9 років приросту показників немає, з 9 до 10 років темпи приросту зменшуються на 1 %, а з 10 до 11 років — на 3 %. У хлопчиків темпи розвитку гнучкості знижуються на 5 %, але потім протягом двох років зростають до 3 %, а після цього — до 4 %, тому треба збільшувати кількість вправ на гнучкість.
Вікові темпи приросту спритності у дівчаток і хлопчиків різні внаслідок неоднакових строків формування функціональних систем, які забезпечують виконання координаційно-складних рухів. У хлопчиків спритність сумарно збільшується в період з 8 до 11 років на 6 %, у дівчаток—на 15%. Після цього темпи трохи сповільнюються з переходом у хлопчиків на виразне зниження (8%), а в дівчаток—на підвищення (9%). Це є підставою для планування тренувального навантаження таким чином, щоб з 8 до 9 років обсяг вправ на спритність був великим; з 9 до 10 — середнім, а з 10 до 11 років для хлопчиків — незначним, для дівчаток— великим [11, 164].
Якщо аналізувати темпи розвитку витривалості, то до 9 років ця здібність у бігу з рівномірною швидкістю (2,5 м/с) збільшується. У хлопчиків результати зростають щорічно, у дівчаток — лише з 7 до 8 років.
Результати вивчення темпів розвитку фізичних здібностей юних спортсменів на попередньому етапі спортивної підготовки свідчать, що доцільно планувати великий обсяг засобів тренувального навантаження за рахунок швидкісно-силових і силових вправ. При цьому слід враховувати не тільки вікові, а й статеві відмінності. Це особливо суттєво для 10—11-літніх при вихованні швидкісних здібностей, 9—10 і 10—11-літніх — при вихованні гнучкості та 8—9-літніх — спритності. У ці періоди обсяг навантаження у дівчаток має бути значно меншим, ніж у хлопчиків. Для дівчаток характерне підвищення обсягу тренувальних навантажень при вихованні швидкості з 8 до 9 років і спритності з 10 до 11 років.
На початковому етапі спортивної підготовки у хлопчиків 11 —12 років показники приросту швидкісно-силових здібностей (10 %) майже не відрізняються від аналогічних показників у дівчаток (7 %). Надалі, під кінець періоду статевого дозрівання, темп розвитку цієї здібності знову збільшується і в дівчаток 13—14 років становить 8 %, а хлопчиків 14—15 років — 11 % [10, 210].
















