151759 (621925), страница 7
Текст из файла (страница 7)
Рисунок 3.3 – Применение правила буравчика
Соленоид, внутри которого находится стальной (железный) сердечник в соответствии с рисунком 3.4, называется электромагнитом. Магнитное поле у электромагнита сильнее, чем у соленоида, так как кусок стали, вложенный в соленоид, намагничивается и результирующее магнитное поле усиливается.
Полюсы у электромагнита можно определить, так же как и у соленоида, по «правилу буравчика».
Рисунок 3.4 – Полюса соленоида
Магнитный поток соленоида (электромагнита) увеличивается с увеличением числа витков и тока в нем. Намагничивающая сила зависит от произведения тока на число витков (числа ампер-витков).
Если, например, взять соленоид, по обмотке которого проходит ток 5А, и число витков которого равно 150, то число ампер-витков будет 5•150=750. Тот же магнитный поток получится, если взять 1500 витков и пропустить по ним ток 0,5А, так как 0,5• 1500 = 750 ампер-витков.
Увеличить магнитный поток соленоида можно следующими путями:
а) вложить в соленоид стальной сердечник, превратив его в электромагнит;
б) увеличить сечение стального сердечника электромагнита (так как при данных токе, напряженности магнитного поля, и стало быть, магнитной индукции увеличение сечения ведет к росту магнитного потока);
в) уменьшить воздушный зазор электромагнита (так как при уменьшении пути магнитных линий по воздуху уменьшается магнитное сопротивление).
Индуктивность соленоида. Индуктивность соленоида выражается следующим образом:
(3.8)
где V – объём соленоида.
Без использования магнитного материала плотность магнитного потока B в пределах катушки является фактически постоянной и равна
B = μ0Ni / l (3.9)
где μ0 – магнитная проницаемость вакуума;
N – число витков;
i – ток;
l – длина катушки.
Пренебрегая краевыми эффектами на концах соленоида, получим, что потокосцепление через катушку равно плотности потока B, умноженному на площадь поперечного сечения S и число витков N:
(3.10)
Отсюда следует формула для индуктивности соленоида эквивалентная предыдущим двум формулам
(3.11)
Соленоид на постоянном токе. Если длина соленоида намного больше его диаметра и не используется магнитный материал, то при протекании тока по обмотке внутри катушки создаётся магнитное поле, направленное вдоль оси, которое однородно и для постоянного тока по величине равно
(3.5)
где μ0 – магнитная проницаемость вакуума;
n = N / l – число витков на единицу длины;
I – ток в обмотке.
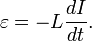
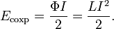
При протекании тока соленоид запасает энергию, равную работе, которую необходимо совершить для установления текущего тока I. Величина этой энергии равна
(3.6)
При изменении тока в соленоиде возникает ЭДС самоиндукции, значение которой
(3.7)
Соленоид на переменном токе. При переменном токе соленоид создаёт переменное магнитное поле. Если соленоид используется как электромагнит, то на переменном токе величина силы притяжения изменяется. В случае якоря из магнитомягкого материала направление силы притяжения не изменяется.
В случае магнитного якоря направление силы меняется. На переменном токе соленоид имеет комплексное сопротивление, активная составляющая которого определяется активным сопротивлением обмотки, а реактивная составляющая определяется индуктивностью обмотки.
Применение соленоидов. Соленоиды постоянного тока чаще всего применяются как поступательный силовой электропривод. В отличие от обычных электромагнитов обеспечивает большой ход. Силовая характеристика зависит от строения магнитной системы (сердечника и корпуса) и может быть близка к линейной. Соленоиды приводят в движение ножницы для отрезания билетов и чеков в кассовых аппаратах, язычки замков, клапаны в двигателях, гидравлических системах и проч.
Соленоиды на переменном токе применяются в качестве индуктора для индукционного нагрева в индукционных тигельных печах.
4. Расчет намагничивающего устройства для магнитопорошкового метода неразрушающего контроля
Исходные данные для расчета:
1 Соленоид круглого сечения диаметром 30 мм и длиной 200 мм;
2 Материал сердечника – Сталь 20;
3 Провод обмотки соленоида – медный;
4 Напряженность магнитного поля в центре соленоида – 100 А/см при постоянном токе 1А.
Магнитная индукция поля В связанна с напряженностью магнитного поля Н соотношением
, для воздуха
, поэтому формула представляется в виде
(4.1)
Если витки соленоида расположены вплотную или очень близко друг к другу, то соленоид можно рассматривать, как систему последовательно соединенных круговых токов одинакового радиуса с общей осью.
Рассмотрим поле кругового витка с током. В центре О кругового витка радиуса R с электрическим током I векторы dB магнитных полей всех малых элементов витка направлены одинаково – перпендикулярно плоскости витка (за чертеж) в соответствии с рисунком 4.1.
Рисунок 4.1 – Магнитная индукция кругового витка с током
Также направлен и вектор В результирующего поля всего витка. По закону Био – Савара – Лапласа:
(4.2)
где
- угол, под которым из очки О виден элемент dl витка.
Интегрируя это выражение по всем элементам витка, т.е. по l от 0 до 2πR или по α от 0 до 2π, получаем:
(4.3)
Определим теперь магнитную индукцию поля витка с током в точке, лежащей на оси витка, т.е. на прямой ОО', проходящей через центр витка перпендикулярно его плоскости в соответствии с рисунком 4.2.
Рисунок 4.2 – Магнитная индукция поля витка с током в произвольной точке
На рисунке показан круговой виток радиуса R, плоскость которого перпендикулярна плоскости чертежа, а ось ОО' лежит в этой плоскости. В точке А на оси ОО' векторы для полей различных малых элементов dl витка с током I не совпадают по направлению. Векторы dВ1 и dВ2 для полей двух диаметрально противоположных элементов витка dl1 и dl2, имеющих одинаковую длину (dl1= dl2= dl), равны по модулю:
(4.4)
Результирующий вектор dВ1 + dВ2 направлен в точке А по оси ОО' витка, причем
(4.5)
Вектор В индукции в точке А для магнитного поля всего витка направлен также вдоль оси ОО', а его модуль
(4.6)
Если воспользоваться понятием вектора pm магнитного момента витка с током I
(4.7)
где S – площадь поверхности, ограниченной контуром,
то выражение (4.6) можно переписать в форме
(4.8)
Рисунок 4.3 – Сечение соленоида
На рисунке 4.3 показано сечение соленоида радиуса R и длины L с током I. Пусть n – число витков, приходящихся на единицу длины соленоида.
Магнитная индукция В поля соленоида равна геометрической сумме магнитных индукций Bi полей всех витков этого соленоида. В точке А, лежащей на оси соленоида О1О2, все векторы Bi и результирующий вектор В направлены по оси О1О2 в ту сторону, куда перемещается буравчик с правой резьбой при вращении его рукоятки в направлении электрического тока в витках соленоида. На малый участок соленоида длиной dl вдоль оси приходится ndl витков. Если l – расстояние от этих витков до точки А, то согласно формуле (4.8), магнитная индукция поля этих витков
(4.9)
Так как
и
, то
(4.10)
(4.11)
В нашем случае
, поэтому
(4.12)
Учитывая формулу (4.1) приравняем значения магнитной индукции и получим выражение для напряженности магнитного поля:
(4.13)
Из этой формулы найдем число витков намотки, приходящихся на единицу длины соленоида:
(4.14)
Подставив известные нам значения в формулу (4.14) получим n=102 витка в 1 см.
Число витков намотки находится по формуле:
(4.15)
Получаем N=2040 витков.
Для обмотки соленоида в соответствии с током, проходящим по ней, выбираем медную проволоку в соответствии с таблицей 4.1.
Таблица 4.1 – Основные параметры медных обмоточных проводов
Таким образом, выбираем провод марки ПЭВ-1 с диаметром сечения 0,86 мм.
Число витков проволоки данного сечения, укладывающихся в длину соленоида определяется по формуле:
(4.16)
Подставив известные данные получаем N=233 витка. То есть в нашем случае получена девятислойная катушка.
Рассчитаем массу соленоида. Для этого сначала рассчитаем массу его обмотки. Для этого нам нужно вычислить длину проволоки обмотки. Ее можно вычислить зная количество витков и длину каждого витка. Учитывая, что радиус витка в каждом слое намотки будет меняться в соответствии с рисунком 4.4, рассчитаем длину проволоки намотки каждого слоя отдельно.
Рисунок 4.4 – Сечение соленоида
Для первого слоя обмотки радиус витка будет равен сумме диаметра соленоида и двух радиусов проволоки.
(4.17)
Получаем D1=30,86 мм.
Длину витка обмотки рассчитываем по формуле
(4.18)
Длина витка обмотки первого слоя С1=96,9 мм.
Длину обмотки первого слоя вычисляем как произведение числа витков и длину одного витка:
(4.19)
Получаем l1=22,6 м.
Проводя подобные вычисления получим длины всех поледующих обмоток:
















