151031 (621547), страница 6
Текст из файла (страница 6)
К. п. д. всякого нагревательного устройства зависит от конструкции последнего, от способа нагрева и от геометрических размеров нагреваемых деталей.
Чтобы вывести формулу для определения общего к. п. д. любого нагревательного устройства, необходимо записать выражение баланса энергии, справедливое для любого момента нагрева той или иной детали (речь идет об общей мощности, потребляемой электронагревательной установкой из сети):
где Рп — полезная мощность, затрачиваемая на нагрев детали
до заданной температуры;
Р1 — мощность, теряемая в силовом трансформаторе;
Рц — мощность, теряемая в элементах вторичной электрической цепи;
Р3 — мощность тепловых потерь вследствие излучения, конвекции и теплопроводности;
Р4 — мощность потерь в металлических деталях вследствие наличия магнитных потоков рассеяния проводников с током.
Тогда общий к. п. д. нагревательного устройства может быть найден из формулы:
Если в эту формулу подставить значение отдельных видов потерь, то получим зависимость к. п. д. от конкретных параметров детали и нагревательной установки (геометрических размеров детали и шин и их свойства).
Для практического использования формулы ее целесообразно представить в виде
ή о = ήтр ήэ ή t (18)
где ήтр — коэффициент полезного действия трансформатора;
ήэ — коэффициент, учитывающий электрические потери в
элементах вторичной цепи;
ή t — коэффициент, учитывающий тепловые потери, в том числе и потери в металлических массах, и носящий название теплового к. п. д.
Обычно в литературе по электронагреву к. п. д. трансформатора и вторичных элементов цепи ήэ объединяются одним коэффициентом, называемым электрическим к. п. д. установки. Но в данном случае будет удобнее пользоваться двумя коэффициентами — для учета потерь в трансформаторе и в элементах вторичной цепи.
К. п. д. силового трансформатора электроконтактных установок учитывает потери энергии в обмотках и в трансформаторном железе, а также в металлических крепежных деталях.
Поскольку токи и электрическое сопротивление в обмотках, а также индукция в трансформаторном железе и вес его известны, то определение потерь в них не представляет особых затруднений.
Общее выражение для к. п. д. трансформатора будет иметь следующий вид:
где I1 — ток в первичной обмотке трансформатора;
rт — активное сопротивление обмоток, проведенное к "первичной обмотке;
∆р — потери в трансформаторном железе магнитопровода;
Рн — номинальная мощность трансформатора в кет.
Из формулы видно, что для уменьшения потерь в трансформаторе необходимо стремиться к уменьшению сопротивления в обмотках и к уменьшению тока (если это возможно по условиям сохранения требуемой производительности).
Электрический к. п. д. ήэ вторичной цепи учитывает потери энергии в токоподводящих шинах, контактных колодках, контактах и других элементах вторичной цепи нагревательной установки.
Выражение для электрического к. п. д. в самой общей форме имеет следующий вид:
где rМ.д — электрическое сопротивление меди элементов вторичной силовой цепи;
r2 — омическое сопротивление нагреваемой детали.
Так как сопротивление детали зависит от температуры, то и электрический к. п. д. зависит также от последней. Ввиду того, что на одной и той же электроконтактной установке нагревается обычно несколько различных типоразмеров заготовок, сопротивление которых зависит от геометрических параметров нагреваемых зон заготовок, то целесообразно выразить сопротивление r2 через геометрические параметры и удельные сопротивления материала этих зон, тогда формула для электрического к. п. д. будет
где s2 — поперечное сечение нагреваемой детали;
ς2 — удельное электрическое сопротивление материала детали;
l2 — длина нагреваемой зоны.
Из формул (20) и (21) следует, что для получения наибольшего к. п. д. необходимо: а) уменьшить в разумных пределах сопротивление элементов вторичной цепи; б) максимально увеличить отношение длины нагреваемой зоны к сечению.
При учете явления скинн-эффекта толщина шин, подконтактных колодок и других элементов должна быть не более 30— 35 мм, а ширина их по конструктивным соображениям не более150 мм.
Если минимальная длина шины будет не менее 500 мм, то оптимальное сопротивление токоподводящих шин должно быть равным около (0,5-0,6) • 10- 5 ом. При учете контактных сопротивлений контактов, сопротивления колодок и других элементов вторичной цепи фактическое сопротивление ее, как показывают эксперименты, равно (0,15 - 0,20) • 10-4 ом.
На рисунке 4.2 кривая 3 представляет собой зависимость ήэ от отношения l2/s2 при среднем значении удельного сопротивления большинства стальных деталей ς2 = 0,6-10- 6 ом-м, при температуре 20—1100 ° С и указанных выше значениях сопротивления вторичной цепи. Из рассмотрения кривой следует, что электрический к. п. д. начинает быстро падать при l2/s2 менее 1,0—1,5. При больших значениях l2/s2 к. п. д. достигает максимальной величины и затем изменяется очень мало. Это обстоятельство, характеризующее установки электроконтактного нагрева, необходимо иметь в виду при их проектировании и эксплуатации, особенно в тех случаях, когда l2/s2 < 1, например в электровысадочных установках.
Тепловой к. п. д. учитывает тепловые потери вследствие тепловых процессов теплообмена, потерь на токи Фуко и гистерезис в стальных деталях каркаса и зажимных головках нагревательной установки, находящихся в магнитных полях проводников с током.
Тепловой к. п. д. в общем виде может быть найден из формул, определяющих перечисленные три вида тепловых потерь, и исходя из значения теоретического минимума энергии, потребной для нагрева данной детали до соответствующей температуры.
Рисунок 4.2 - Зависимость к. п. д. электроконтактной установки ς2 от отношения длины к сечению нагреваемой детали
1- ή t для l2 = 1000 мм; 2- ή t для l2 = 100 мм; 3 — ή э для ς2=0,6; 4- ή t = 0,94ή t ή э для l2 = 100 мм; 5- ή t эксплуатационный коэффициент
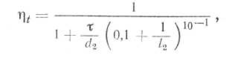
Если предположить, что в нагреваемую деталь передаются теоретически потребное количество энергии и тепловые потери, то для теплового к. п. д. цилиндрической детали можно написать следующую приближенную формулу:
где τ — время нагрева в сек;
d2 и l2—диаметр и длина нагреваемой зоны детали в см. Эта формула соответствует следующим условиям:
1. Удельная интенсивность излучения с нагретой детали равна 12 вт/см2 в продолжение всего периода нагрева, т. е. потери этого вида взяты с явным превышением с тем, чтобы ими восполнить потери, не поддающиеся непосредственному учету.
2. Осевая длина зажимного токоподводящего контакта равна диаметру нагреваемой детали, а ширина площадки контактирования l К — 0,5 см по всей длине контакта.
-
Для подвода тока, а следовательно, и для отвода тепла используется четыре контакта.
-
Потери конвекции определяются по формуле (12).
Рисунок 4.3 - График
Если скорость нагрева определяется из формулы (5), то тепловой к. п. д. можно выразить либо через параметры детали, либо через длину детали и время нагрева:
На рисунке 4.2 и 4.3 приведены кривые зависимости теплового к. п. д.
ή t от отношения /2/s2, диаметра d2 и времени нагрева τ для двух значений длин нагреваемых зон детали (/2 =100 и 1000 мм).
Большее значение теплового к. п. д. для заготовок большой длины объясняется относительно меньшими потерями теплопроводности через токоподводящие контакты, приходящимися на единицу длины детали; при этом энергия, вводимая в деталь, пропорциональна ее длине. Поэтому хотя потери конвекции и излучения и пропорциональны длине детали, они в данном случае не сказываются на величине к. п. д.
Общий к. п. д. В связи с тем, что все три коэффициента формулы (21) определены, общий к. п. д. электроконтактного устройства может быть выражен кривой 4 (на рисунке 4.2) в зависимости от отношения длины заготовки к сечению при среднем значении к. п. д. силового трансформатора ήтр = 0,94.
Для сопоставления расчетно-теоретической кривой общего к. п. д. с экспериментальной на той же фигуре приведена кривая 5, выражающая значения общего к. п. д. одной из однопозиционных электроконтактных установок.
Из рассмотрения кривых видно, что действительный к. п. д. нагревательной установки в функции отношения l 2/s2 в основном соответствует расчетно-теоретическому, отличаясь от него только при малых значениях l 2/s2 (от 2,2 до 1,2).
При теоретических расчетах электротехнических характеристик нагревательных установок целесообразнее пользоваться расчетно-теоретической кривой 4 общего к. п. д., а не экспериментальной 5, справедливой для определенной конкретной установки. Экспериментальные данные можно было бы обобщить для любого случая электроконтактного нагрева, если бы они отвечали условию изменения напряжения на заготовке в соответствии с потребной мощностью, вычисляемой по теоретической формуле.
Но так как в действительности такое изменение напряжения осуществить очень трудно, то и получить обобщенную зависимость общего к. п. д. от отношения l2/s2 почти невозможно, поэтому наиболее приемлемой является расчетно-теоретическая зависимость.
Коэффициент мощности
Для всякой электронагревательной установки коэффициент мощности, (после коэффициента полезного действия) является наиболее важным технико-экономическим показателем.
В связи с тем, что электроконтактные установки в большинстве своем имеют большую мощность и преимущественно активную нагрузку при сравнительно высоком коэффициенте мощности, применение компенсирующих конденсаторов для увеличения коэффициента мощности, как правило, нерационально. Тем не менее повышение его весьма желательно, поэтому при разработке электроконтактных установок необходимо использовать все имеющиеся в распоряжении проектанта и конструктора средства, чтобы получить оптимальный для данных конкретных условий коэффициент мощности.
Коэффициент мощности электроконтактных установок зависит от типа и конструкции обмоток трансформатора, их взаимного размещения, от конструкции магнитопровода, а также от индуктивного и активного сопротивления вторичной цепи установки и геометрических параметров нагреваемой детали.
Теоретически учесть перечисленные факторы чрезвычайно сложно и можно только очень приближенно. Поэтому целесообразнее коэффициент мощности выразить с помощью экспериментальных и эксплуатационных данных. Изменение коэффициента мощности в процессе Рисунок 4.4 – График нагрева аналогично изменению сопротивления детали, напряжения на ней и т. Д.
















