150852 (621465), страница 2
Текст из файла (страница 2)
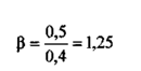
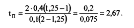
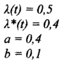
изменение интенсивности отказов без профилактик и с профилактиками. Тогда tП определим из уравнения:
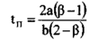
На малом интервале времени интенсивность отказов изделия возрастает линейно λ(t) = а + bt. Тогда для определения периодичности профилактик находим:
Отсюда искомая периодичность
2.3.1. Исходные данные
2.3.2. Рассчитаем статистические показатели
2.3.3. Выберем периодичность по заданному снижению интенсивности отказов
Периодичность, месс
3. Описание технологии текущего ремонта электродвигателя
3.1. Целью текущего ремонта является восстановление работоспособности двигателя за счет замены или восстановления отдельных его частей. В результате поддерживается работоспособность двигателя в течение длительного времени.
ТР проводится электротехническим персоналом предприятия либо на месте их установки, либо на пункте (участке) технического обслуживания, по заранее составленному графику с остановкой рабочей машины на время ремонта.
Графики ТР составляются на год в соответствии с ППРЭсх.
Периодичность ТР электродвигателей серий 4А и АИР составляет 24 месяца, за исключением электродвигателей установленных на молочных вакуум-насосах и пастеризаторах в особо сырых помещениях, в этом случае периодичность ТР составляет 18 месяцев.
3.2. Технология текущего ремонта электродвигателя
3.2.1 Подготовительные работы
— очистить электродвигатель от пыли и грязи;
— отсоединить электродвигатель от питающих проводов, разъединить с рабочей машиной и снять с фундамента.
3.2.2 Разборка
— разобрать электродвигатель, очистить и промыть детали, продуть обмотку сжатым воздухом, определить неисправности.
3.2.3 Ремонт статора
— устранить нарушение изоляции лобовых частей, в местах выхода проводов из паза и выводных концов;
— замена ослабленных и выпавших пазовых клиньев, а также бандажей лобовых частей;
— устранение мелких неисправностей стали статора (коррозия, вмятины);
— разогрев изоляции для пропитки;
— сушка изоляции, ее пропитка и окончательная сушка.
3.2.4. Ремонт ротора
— проверка состояния и устранение неисправностей обмотки ротора (для двигателей с фазным ротором);
— замена неисправных подшипников;
— устранение мелких неисправностей активной стали ротора (вмятины, коррозия).
3.2.5. Сборка электродвигателя
— проверка исправности всех узлов и деталей;
— измерение воздушного зазора между статором и ротором;
— заполнение подшипников на 2/3 их объема смазкой; сборка электродвигателя, проверка мягкости вращения ротора и плотности затяжки болтовых соединений, при необходимости его покраска.
3.2.6. Послеремонтные испытания
— измерение сопротивления изоляции, пробный пуск без нагрузки на его валу и под нагрузкой на месте установки двигателя.
3.2.7. Для двигателей с фазным ротором и машин постоянного тока дополнительно шлифовка, а при необходимости проточка коллектора; замена и притирка щеток и проверка степени их искрения.
3.3. Технические указания
3.3.1. К пункту 2. Электрические машины передаются для выполнения капитального ремонта при наличии следующих неисправностей: витковые замыкания в обмотках; замыканий обмоток на корпус или между фазами; обрыва обмоток; обугливания обмоток; изгиба вала и повреждения посадочных мест подшипниковых щитов; трещины в корпусе и подшипниковых щитах; сопротивление изоляции ниже нормы и не поддается восстановлению после сушки.
3.3.2. К пункту 4. Замене подлежат подшипники, имеющие коррозию, сколы, глубокие царапины на поверхности беговых дорожек или шариков (роликов), а также при радиальном и осевом зазоре (люфте) более 0,2 мм.
3.3.3. К пункту 5. Воздушный зазор между статором и ротором должен быть не более при мощности до 1 кВт -0,2...0,25 мм; до 7,5 кВт - 0,35...0,6 мм; до 15 кВт-0,4...0,65 мм.
3.3.4. К пункту 6. Сопротивление изоляции должно быть не ниже 4 Мом при температуре окружающей среды 20°С и 0,5 Мом - при рабочей температуре (+ 75 °С).
4. Компоновка участка по проведению ТО и ТР электрооборудования
Качественное и своевременное проведение технического обслуживания на предприятиях с.х. профиля при наличии соответствующей материально-технической базы позволит уменьшить выход из строя электрооборудования и увеличить его эксплуатационные свойства. Основой материальной базы являются стационарные участки (пункты) технического обслуживания и передвижные средства (электроремонтная автопередвижная мастерская или специально оборудованный автомобиль).
На участках ТО проводят текущий ремонт электрооборудования, для восстановления работоспособности или поддержания технического состояния которого необходимо специальное оборудование (сушильные шкафы, пропиточные ванны, токарные и шлифовальные станки), а также сложное электрооборудование (генераторы передвижных электростанций, сварочные преобразователи и др.).
Технические уходы и текущие ремонты электрооборудования, при проведении которых не требуется специального оборудования, проводят на месте его установки бригады электромонтеров, имеющие передвижные средства или набор соответствующего инструмента.
Участок технического обслуживания - это отдельное здание или сооружение, либо помещение (комната) внутри здания, удовлетворяющая предъявляемым к ней требованиям, оснащенная оборудованием, установками, приспособлениями, приборами, инструментом, запасными деталями и материалами, при помощи которых можно качественно выполнять все работы по ТО и ТР электрооборудования в соответствии с техническими требованиями.
Основными показателями качества работы пункта ТО и ремонта служат радиус зоны обслуживания (r, км), годовая производственная программа (Q, у.е.э.) и штатный состав (N, чел.).
Чтобы определить годовую производственную программу, необходимо знать, какое количество электрооборудования ремонтируется в год.
Из второго раздела известна периодичность проведения ТО и ТР – ti, поэтому определим годовой объём работ пункта Qiua ,у.е.э:
где QA - общий годовой объём работ по электроприводам в хозяйстве, у.е.э. (из здания), ti, - периодичность проведения ТО и ТР.
Далее определяем годовую трудоёмкость работ ТА, чел-ч:
где tiq = 7... 9 чел-ч — трудоёмкость текущего ремонта одной у.е.э.
Расчет числа электромонтеров участка осложнен неравномерностью загрузки в течение суток, года, отсутствием сведений о затратах времени на подготовительные и заключительные операции и т.д. Для принятия окончательного правильного решения следует определить нормативное, среднегодовое и гарантированное число электромонтеров.
Нормативное число электромонтеров N используют для ориентировочной оценки размера участка и определяют по выражению:
где а - норма обслуживания электромонтером (а =100).
Среднегодовое число электромонтеров служит для определения фондовооруженности. Его определяют по формуле:
где Q – годовой фонд рабочего времени электромонтера
где dе, da, di, di - соответственно число календарных, выходных, праздничных, где 6 - годовой фонд рабочего времени электромонтера отпускных и предпраздничных дней; tr - продолжительность смены (8 часов); ∆t - сокращение предпраздничного дня (1 час).
Расчеты, выполненные по формулам (7) и (8), не учитывают квалификацию электромонтеров, индивидуальную производительность и сложность и каждого ремонта. Поэтому одну и ту же работу электромонтеры выполняют заразное время, и, следовательно, годовой фонд рабочего времени имеет случайные величины.
Для учета этих особенностей можно рассчитать гарантированное число NA электромонтеров, обеспечивающих выполнения максимально возможного объема работ при наихудших условиях:
где NA - среднегодовое число электромонтеров; kQ,kQ - коэффициенты вариации объема работ и производственных исполнителей, kQ =0,10...0,12, kQ = 0,05...0,15; d=1...2 - оценка доверительного интервала изменения случайных.
Площадь пункта обслуживания Fn определяют исходя из числа электромонтеров (гарантированных)
где f1 - норма площади на рабочего ремонтной группы;
На последнем этапе выполняют технологическую компоновку всего участка. Принципы компоновки следующие.
Главные размеры здания должны соответствовать строительным нормам (ширина, кратная 3 или 6, отношение длины к ширине не более 3:1).
Необходимо учитывать, что размещение всех отделений должно строго соответствовать технологическому процессу ремонта по принципиальной схеме движения.
При расстановке оборудования необходимо выполнить требования технической безопасности и строительные нормы. Расстояние от стен — 0,5м, проходы -0,7м, проезды - 1,5м.
Оборудование на плане можно показывать блоками, указывая номер и название каждого в подрисуночной подписи.
5. Выбор оборудования для диагностирования и ремонта
Профилактические СД предназначены для выявления в процессе эксплуатации дефективных деталей и элементов, выработавших свой ресурс, т.е., тех элементов объекта, параметры которых близки к предельно допустимым значениям. С этой целью систематически проводят плановые профилактические испытания.
Дифференциальные СД служат для обнаружения отдельных неисправностей при плановом техническом обслуживании и ремонте ЭО. По полученным результатам уточняют вид необходимого ремонта (текущий или капитальный) и состав его операций. Для дифференциального диагностирования применяют приборы общего и специального назначения.
















