150746 (621383), страница 2
Текст из файла (страница 2)
Рис.3. Температурная зависимость порогового напряжения.
Из приведенных расчетов видно, что концентрация примесей, а также количество вводимых ионов были выбраны правильно, что обеспечило требуемую величину порогового напряжения (4 В).
IV. Определение ширины канала:
Ширину канала в первом приближении можно определить из соотношения:
,
где
- крутизна характеристики передачи,
- заданный ток стока,
- подвижность носителей заряда в канале при слабом электрическом поле.
Пример расчета:
мкм
Результаты вычислений сведем в таблицу:
| | | | | | | | |
| 4,29 | 1,2 | 5,68·10-8 | 0,52 | 5·10-8 | 700 | 40 | 9,41 |
Т.к. ширина канала по величине сравнима с длиной каналу (
), то выбираем топологию транзистора с линейной конфигурацией областей истока, стока и затвора.
V. Расчет выходных статических характеристик МДП-транзистора:
Выходные статические характеристики представляют собой зависимости тока стока от напряжения на стоке при постоянных напряжениях на затворе:
,
где
- критическая напряженность продольной составляющей электрического поля в канале.
На пологом участке вольт-амперной характеристики, т.е. при
, воспользуемся следующей аппроксимацией:
,
где
- ток стока при
,
- длина "перекрытой" части канала вблизи стока.
Расчет
произведем по формуле:
где
= 0,2 и
= 0,6 - подгоночные параметры.
Пример расчета:
В
В
мкм
мА
Результаты вычислений сведем в таблицу:
| | | | | | |
| -0,108 | 20 | 10,35 | 4 | 4,58 | 40000 |
| | 0 | 1 | 2 | 3 | 4 | 5 | 6 | 7 | ||||||||
| | ---- | ---- | ---- | ---- | ---- | ---- | ---- | ---- | ||||||||
| | 0 | 1,11 | 1,99 | 2,71 | 3,28 | 3,73 | 4,06 | 4,31 | ||||||||
| | 8 | 9 | 10 | 11 | 12 | 13 | 14 | 15 | ||||||||
| | ---- | ---- | ---- | 0,031 | 0,073 | 0,108 | 0,139 | 0,166 | ||||||||
| | 4,47 | 4,56 | 4,58 | 4,61 | 4,66 | 4,7 | 4,73 | 4,76 | ||||||||
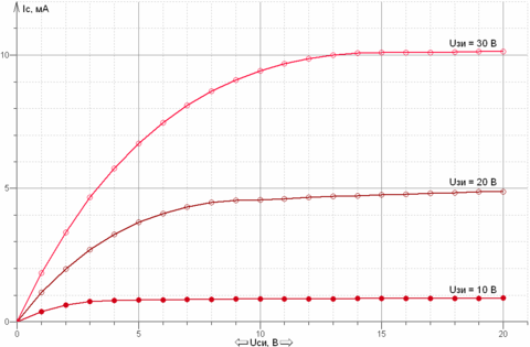
Рис.4. Статические выходные характеристики транзистора.
Зависимость, построенная на данном графике, довольно точно характеризует практическую закономерность возрастания выходного тока при увеличении напряжения между стоком и истоком. Характерный рост тока происходит до
В (
В), после чего наступает насыщение, при котором ток стока слабо зависит от напряжения на стоке из-за отсечки канала.
VI. Расчет крутизны характеристики передачи:
Если напряжение на стоке меньше напряжения насыщения, то крутизна определяется соотношением:
При
расчет крутизны характеристики передачи производим по приближенной формуле:
Пример расчета:
мА/В
Результаты вычислений сведем в таблицы:т
В
| | 0 | 1 | 2 | 3 | 4 …. 20 |
| | 0 | 0,076 | 0,15 | 0,23 | 0,3 |
В
| | 0 | 1 | 2 | 10 | 11 …. 20 |
| | 0 | 0,076 | 0,15 | 0,76 | 0,79 |
В
| | 0 | 1 | 2 | 16 | 17 …. 20 |
| | 0 | 0,076 | 0,15 | 1,2 | 1,24 |
Рис.5. Крутизна характеристики передачи транзистора.
Как видно из графика и расчетов, крутизна характеристики передачи, выбранная для расчета ширины канала (на графике обозначена
мА/В), обеспечивается при
В и
В.
Выводы
В данной работе был произведен расчет основных параметров МДП-транзистора с индуцированным n-каналом, а также выбор и обоснование использования материалов и технологических методов его изготовления.
итоговые значения основных параметров: толщина диэлектрика под затвором
нм, минимальная длина канала (критерий длинноканальности)
мкм, концентрация примесей в подложке
см-3, максимальное напряжение на стоке
В, пороговое напряжение
В, ширина канала
мкм. По этим параметрам был произведен расчет выходной характеристики транзистора, выбор топологии и построение зависимости крутизны ВАХ от напряжений на стоке и затворе.
1. Топология транзистора 2. Поперечное сечение транзистора















