150600 (621297), страница 2
Текст из файла (страница 2)
Рис. 2.1. Схема установки для двохекспозиційної голографічної інтерферометрії прозорих об'єктів (а) і типові двохекспозиційні голографічні-ітерферограми прозорих об'єктів, отримані в [9,10] при запису в кристалах BSО (б,в).1- лазер, 2- світоподільник, 3- спостережуваний об'єкт, 4 — зразок взірець ФРК, 5 — проектуюча лінза, 6 — видікон, 7 — монітор.
Найважливішою особливістю ФРК, яку необхідно враховувати в подібних експериментах, є динамічний характер записуваних голограм. Прочитування подібної двохекспозиційної голограми опорним пучком на тій же довжині хвилі неминуче призведе до її оптичного стирання. Тому для подовження часу спостереження відновленого зображення потрібне або ослаблення інтенсивності зчитуючого пучка, або використання запису телевізійного зображення.
Стираюча дія позначається не тільки в процесі зчитування, але і протягом запису другої з голограм. Стиранню в даному випадку піддається перша раніше записана голограма. Тому для досягнення максимального контрасту інтерференційних смуг перша голограма повинна записуватися до амплітуди, близько в два рази більшої, ніж друга. При роботі на початковій ділянці запису, де амплітуда голограми у ФРК пропорційна часу запису, це фактично означає приблизно подвоєну величину експозиції при запису першої голограми [9,10].
2.2 Голографічна інтерферометія в реальному часі
При використанні даної методики проводиться імпульсний запис одної єдиної голограми спостережуваного об'єкту в деякий початковий момент часу tо. Далі проводиться спостереження об'єкту, що освітлюється початковим світловим пучком, через голограму, що освітлюється опорною хвилею (рис. 2.2). В результаті за площиною голограми відбувається інтерференція реальної об'єктної хвилі, що відбилася або пройшла через об'єкт в даний момент часу t, і відновленої з голограми хвилі, відповідаючої стану об'єкту у момент часу tо. Аналогічно випадку двохекспозиційної голограми, спостерігач бачить об'єкт, покритий мережею інтерференційних смуг, які відображають різницю між станами об'єкту в моменти часу tо і t. Очевидно, що за наявності стійкої голограми і незмінних умов її (а також об'єкту) освітлення є можливість спостерігати безперервні зміни стану об'єкту в часі, з чим зв'язана назва методу.
Рис. 2.2. Схема установки для отримання голографічних інтерферограмм прозорих об'єктів в реальному часі».
1 — спостережуваний об'єкт, 2 — зразок ФРК, 3 — вихідна площина; пунктирі лінії показують світловий пучок, відновлений з голограми
Використання ФРК як фото чутливого середовища не дозволяє реалізувати дану методику голографічної інтерферометії в чистому вигляді. Дійсно, безперервне відновлення голограми, записаної у ФРК, рано чи пізно приведе до стирання її початкового стану, що, природно, накладає обмеження на максимально можливу тривалість спостереження за об'єктом. Більш того, при одночасному розповсюдженні через ФРК об'єктної хвилі в його об'ємі за відсутності спеціальних засобів застереження додатково записуватимуться голограми всього набору станів за час спостереження об'єкту через голограму. Проте ця методика простіша і швидша, ніж двохекспозиційна.
2.3 Голографічна інтерферометія за допомогою двох довжин хвиль
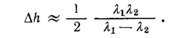
На відміну від розглянутих вище дана методика призначена для контролю рельєфу поверхні і точності позиціонування спостережуваних об'єктів. Інтерферограмма тут також двохекспозиційна, проте голограми записуються не в різні моменти часу, а на різних довжинах хвиль λ1 і λ2, близьких по величині |λ1 - λ2| << λ1,2 (рис. 2.3, а). Відновлення інтерферограмм здійснюється на одній з довжин хвиль λ1 або λ2. В результаті інтерференції двох хвильових фронтів, відновлюваних з двох вказаних голограм, відбувається порівняння фазових рельєфів одного і того ж об'єкту, але взятих в різному масштабі. Відновлене зображення буде покрито системою смуг, що відповідають рельєфу поверхні: центр кожної світлої або темної смуги відповідає точкам, що залягають на однаковій глибині щодо плоского хвильового фронту, освітлюючого об'єкт. Перехід з однієї темної смуги на поряд лежачу означає зсув по глибині об'єкту на величину:
Рис. 2.3. Схема установки для голографічної інтерферометії з двома довжинами хвиль, дифузно розсіюючих об'єктів (а) і приклад інтерферограмми рельєфу монети (б, в).А1(λ1, λ2— освітлюючий світловий пучок 1 — спостережуваний об'єкт, 2 — зразок ФРК. 3 — світлодільник, 4 — вихідна площина.
Основні особливості використання ФРК в даній методиці не відрізняються від перерахованих вище для двохекспозиційної голографічної інтерферометії. На рис. 2.3, б приведений результат відновлення двоххвилевої голографічної інтерферограмми поверхні монети.
2.4 Голографічна інтерферометія з усередненням у часі
Дана методика застосовується для контролю просторового розподілу амплітуди коливання вібруючих об'єктів. Голограма в цьому випадку записується протягом достатньо тривалого відрізку часу Δt >> f-1 де f — частота вібрації тестованого об'єкту. При відтворенні подібної «усередненої» за часом голограми відновлюється зображення початкового об'єкту, покрите системою смуг різної яскравості. Найбільш яскраві смуги на відновленому зображенні відповідають лініям нульових коливань (вузловим лініям) на картині розподілу коливань по об'єкту. Очевидно, що для цих областей голографічний запис протікає оптимальним чином, оскільки інтерференційні структури, записувані на голограмі в протягом часу Δt, виявляються нерухомими.
Використання ФРК в схемі голографічної інтерферометії з усередненням в часі для цілей голографічної віброметрії виявляється найбільш природним. В даному випадку можливість безпосереднього відновлення голограми в процесі її запису у ФРК являється найважливішою перевагою. Воно дозволяє безперервним чином візуально (або на екрані монітора) контролювати зміну просторового розподілу амплітуди коливань по об'єкту при зміні частоти збудження f її інтенсивності, а також інших чинників: температури, зовнішнього навантаження, змін в конструкці і так далі Відзначимо, що характерним часом усереднювання Δt при подібній безперервній методиці є час запису-стирання голограми у ФРК τsc.
Розглянемо один з методів відновлення усереднених в часі голограм, що формуються у ФРК неперервним чином. Перший з них полягає у використанні додаткової світлової хвилі R2, що зчитує голограму. Вона розповсюджується строго назустріч плоскій опорній хвилі R1, що бере участь в записі голограми (рис. 2.4, а) [13, 14], що фактично означає перехід до геометрії 4-хвильової взаємодії. Відновлена світлова хвиля S2 є комплексно-зв'язаною по відношенню до записуваної сигнальної хвилі S1 і тому формує дійсне зображення об'єкту. Для просторового рознесення об'єкту і його відновленого зображення використовується напівпрозоре дзеркало, поміщене між голографіруємим об'єктом і фоторефрактивным зразком.
Рис. 2.4 Схема безперервного відновлення голографічної інтерферограмми з усередненням в часі з використанням зустрічно направленого зчитуючого пучка R2 [13, 14] (а) і голографічна інтерферограмма дифузора, що коливається на різних частотах (б, в).
1 — вібруючий об'єкт, 2 — зразок ФРК, 3 — світлодільник, 4 — відікон, 5 — монітор.
У роботі розглянуто два дещо різних варіантів такої схеми: з плоским дзеркалом, що відбиває назад пучок R1 після проходження ним кристала, і з незалежно формованим зчитуючим пучком R2. Перша з них простіша по конструкції і, відповідно, легша в юстируванні, проте накладає жорсткіші вимоги на фазову однорідність кристала і плоскопараллельність його граней. Друга, складніша, допускає отримання оптимального співвідношення між інтенсивністю записуючих і зчитуючих світлових пучків (ISl + IR1≈ IR2), внаслідок чого інтенсивність відновленої інтерферограмми при її використанні виявляється приблизно в 2 рази більшою.
Типовий приклад інтерферограмми вібруючого дифузора, отриманої в, приведений на рис. 2.4, б, в.
3. АДАПТИВНІ ІНТЕРФЕРОМЕТРИ НА ОСНОВІ ФРК
Строго кажучи, термін «адаптивна» в певному значенні може застосовуватися і до звичайної голографічної інтерферометрії, заснованої на використанні стандартних нединамічних фоточутливих середовищ, наприклад звичайних фотоматеріалів. Дійсно, вона дозволяє компенсувати складний рельєф об'єкту, що тестується (тобто адаптуватися до нього) і отримувати інформацію виключно про зміни, що відбулися з ним. У випадку фоторефрактивних кристалів ми матимемо справу з безперервною адаптацією до відносно повільних змін форми хвильового фронту. Як буде показано нижче, це необхідно для оптимальної реєстрації швидких його коливань. Таким чином, очікувані застосування подібної методики лежать в області віброметрії, інтерферометричних .датчиков що швидко змінюються в часі або коливальних процесів і т, д.
Поява цього важливого напряму голографічної інтерферометії практично повністю пов'язана з розробкою і впровадженням високочутливих ФРК.
3.1 Ефект енергообміну фазомодульованих світлових пучків
Нехай зразок ФРК освітлюється інтерференційною картиною двох пересікаючихся плоских когерентних світлових пучків однакової інтенсивності, один з яких промодульований по фазі з деякою частотою Ω (рис. 3.1, а). У випадку, якщо частота коливань значно більша зворотного характерного часу формування голограми у ФРК за даних умов його освітлення (Ω >> τsc-1), голограма не встигає «відстежувати» переміщення інтерференційної картини. Проте вона відображає основний ефект, що полягає в перетворенні початкової фазової модуляції одного із світлових пучків на вході ФРК в амплітудну на його виході.
Очевидно, що в іншому граничному випадку при Ω << τsc-1 динамічна фазова голограма встигає відстежувати зсуви інтерференційної картини, тобто адаптуватися до неї. Амплітуда голограми і величина фазового зсуву між гратками і картиною виявляються практично не залежними від часу і співпадають зі своїми стаціонарними значеннями. Якщо проводити аналогію з напівпрозорим дзеркалом, використовуваним зазвичай для спостереження биття між двома лазерними пучками, то в даному випадку ми маємо справу з багатошаровим інтерференційним дзеркалом. Останнє, проте, володіє тією важливою властивістю, що положенння і форма його відзеркалювальних поверхонь, відстежуючи зсув смуг інтерференційної картини, тим самим підтримує величину фазового зсуву між пучками S(d) і R(d)), що інтерферують, на виході схеми постійною. Фактично це і приводить до того, що за наявності достатньо повільної фазової модуляції в одному з вхідних пучків світла інтенсивність вихідних пучків підтримується практично на постійному рівні.
Рис. 3.1 Адаптивний інтерферометр на основі ФРК (a) і його передавальна характеристика (тобто залежність амплітуди вихідного сигналу IRΩ від частоти модуляції F=Ω/2π (б). а: 1 — елемент, в якому здійснюється фазова модуляція снгнального пучка; 2 — зразок ФРК; 3 — фотодетектор, що перетворює модуляцію інтенсивності світлового пучка в електричний сигнал UΩ.
Докладніший аналіз показує, що за наявності: чисто релаксаційного характеру процесу запису-стирання фазової голограми передавальна характеристика подібного адаптивного перетворювача фаза—амплитуда
Тобто вона співпадає з передавальною характеристикою звичайного радіотехнічного RС-кола з постійною часу RC, рівною τsc.
3.2 Практичні застосування і експериментальні дослідження адаптивних інтерферометрів на основі ФРК
Перш за все слід вказати, що розглянутий ефект «динамічної» самодифракції інтерференційної картини, що коливається, є гарним способом досліджень ФРК [16 -19] і інших динамічних голографічних середовищ. Він вельми простий в юстируванні, не вимагає додаткових зчитуючих пучків і дозволяє визначати як амплітуду гратки і кут фазового розузгодження φ, так і характерний час її запису.
Вперше пропозиція по використанню динамічних голограм у ФРК для цілей адаптивної інтерферометії у волоконно-оптичних датчиках була зроблена в [19]. Автори цієї роботи вказали, що пропонована методика дозволяє використовувати в плечах інтерферометра багатомодові оптичні волокна, значно спростити юстування вихідного вузла інтерферометра, а також забезпечити придушення повільних змін в інтерференційній картині, пов'язаних із зміною зовнішніх умов. Дійсно, у високочутливих волоконно-оптичних датчиках з великою довжиною плечей (102—103 м) саме повільний дрейф фазової затримки між плечима інтерферометра через зміну температури або тиску може досягати значної величини (≥103 рад) [20]. Через істотно нелінійний режим роботи фотоприймача при вказаній величині випадкового фазового зрушення спектр корисного високочастотного сигналу розширюється. Використання динамічної голограми дозволяє компенсувати вказаний повільний дрейф фазової затримки і пропустити практично без ослаблення корисний сигнал в діапазоні -частот Ω≥τsc-1.
4. ОБЕРНЕННЯ ХВИЛЬОВОГО ФРОНТУ В НЕЛІНІЙНІЙ ОПТИЦІ















