132528 (619666), страница 4
Текст из файла (страница 4)
Учитель для подростков не является таким непререкаемым авторитетом, как для младших школьников. Подростки предъявляют высокие требования к деятельности, поведению и личности учителя. Они постоянно оценивают учителя и свое отношение к нему строят на основе оценочных суждений. Очень важно, чтобы мнение товарищей, коллектива, мнение самого подростка совпадало или было сходно с мнением воспитателей и родителей. Только в этом случае можно разрешить возникающие противоречия и тем самым создать благоприятные условия для нормального развития подростка.[7]
Формирование мотивов учения непосредственно связано с удовлетворением доминирующих потребностей возраста. Одна из таких потребностей подростка – познавательная потребность. При ее удовлетворении формируются устойчивые интересы.[2]
Наряду с познавательным интересом большое значение имеет значимость знаний для подростка. Важно осознать, осмыслить значение знаний и для развития личности, и для жизни. Сформированные убеждения подростка и его интересы способствуют повышению эмоционального тонуса и активности учения.
Отношение подростка к учению во многом обусловлено мастерством работы учителя и его отношением к учащимся. Учитель, по мнению подростков, должен быть требовательным, справедливым и чутким.
Еще одна задача педагога – управлять процессом формирования взаимоотношений между подростками внутри класса, помогать каждому из них занять достойное место среди одноклассников.
Глава 3. Гендерные различия в подростковом возрасте
3.1 Индивидуальные различия подростков: рост и вес
В первые три года жизни существенных различий по длине и массе тела, а также по окружности грудной клетки нет. Мальчики немного превосходят девочек в длине тела - до 10 лет, а в массе - примерно до 8,5 лет. Однако в связи с более ранним (на 1-1,5 года) началом полового созревания у девочек они начинают превосходить мальчиков в длине тела (с 10 до 13 лет) и в массе (с 9 до 14 лет). После 12 лет у девочек снижаются темпы увеличения роста, а с 14 лет - и темпы увеличения массы тела. У мальчиков же в этот период физическое развитие протекает весьма интенсивно. В результате в 17 лет масса тела юношей превышает таковую девушек на 12 %, а рост и окружность грудной клетки - на 9 %. Формируются мужские пропорции тела: широкие плечи и спина, таз существенно уже, чем плечи, сравнительно длинные конечности, центр тяжести находится выше пояса, тогда как у женщин - ниже. Мышечная ткань у мужчин развита значительно лучше, чем жировая, в связи с чем хорошо выражен обычно и рельеф мышц.
Дж. Таннер (1968) отмечает, что девочки уже с рождения опережают мальчиков по оссификации (замещение в скелете хрящевой ткани костной) приблизительно на 20 %. Оссификация скелета у девочек в возрасте 10-12 лет на 2-3 года опережает таковую у мальчиков. Однако девочки, а в последствии уже женщины обладают более хрупким скелетом. [13]
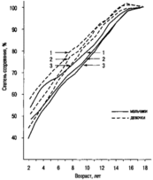
Согласно данным Дж. Таннер (1968), темпы развития конечностей выше у девочек, чем у мальчиков. Уже с рождения по пропорциям тела девочки ближе к дефинитивному (окончательному) состоянию по сравнению с мальчиками. Это видно на рис. 3.1, где представлены градиенты созревания (степень приближения в данный момент к дефинитивным размерам, принятым за 100 %) верхних конечностей у девочек и мальчиков.
(1 - кисти рук; 2 - предплечье; 3 - плечо)
Рис. 3.1. Градиенты созревания верхних конечностей
Большие темпы роста и созревания девочек по сравнению с мальчиками можно объяснить тем, что в крови первых имеется большая концентрация гормона роста - соматотропина, чем в крови вторых.
Рис. 3.2. Содержание соматотропина в плазме крови у детей на разных стадиях полового созревания
Правда, надо отметить, что все приведенные данные не учитывают тип телосложения детей, который может внести в темпы развития мальчиков и девочек существенные коррективы.
У лиц мужского пола мышечная (активная) масса тела больше, чем у лиц женского пола. Эти различия начинают проявляться уже у маленьких детей, когда после первого увеличения жировых отложений в возрасте от 0 до 6 месяцев они начинают уменьшаться явно заметнее у мальчиков, чем у девочек. В подростковом возрасте у мальчиков эта тенденция сохраняется, а у девочек опять начинается рост подкожного жирового слоя.
Жировая ткань больше развита у женщин (вследствие врожденной способности более эффективно вырабатывать жировые вещества). В среднем у женщин она составляет 25 % от веса тела, а у мужчин - 15 %. Абсолютное количество жира у женщин больше, чем у мужчин, на 4-8 кг. Поскольку жировая ткань почти не содержит воды, общее содержание воды в теле у женщин меньше, чем у мужчин.
Эти особенности телосложения имеют биологический смысл. Широкий таз - это защитное костное кольцо для внутренних половых органов и для ребенка в период его внутриутробного развития, женский таз более глубокий и больше по емкости, он обеспечивает широкий родовой путь. У женщин больше относительная длина позвоночного столба, более широкие, чем у мужчин, межсуставные щели и лучше растяжимость заполняющей их хрящевой прослойки, что создает условия для большей гибкости. Меньшая длина ног и низкое расположение центра тяжести тела обеспечивают устойчивость тела при беременности. У женщин имеется характерная постановка головки и шейки бедра: они располагаются под прямым углом к бедренной кости. Это обеспечивает большую амплитуду движений в тазобедренном суставе. Так, для нормальной менструальной функции женщине необходимо иметь не менее 22 % жировой массы.
В то же время преобладание мышечной массы у мужчин имеет значение для их маскулинизации, так как в мышцах происходит метаболизм андрогенов.
В период полового созревания у мальчиков происходит увеличение и изменение формы гортани. Особенно существенно изменяется щитовидный хрящ, образующий характерный гортанный выступ - кадык ("адамово яблоко"). Его пластинки сходятся не под тупым углом, как у девочек, а под острым. Эта морфологическая особенность имеет следствием и появление у мужчин функциональной особенности. Вследствие увеличения объема гортани и удлинения голосовых связок происходит понижение голоса, примерно на одну октаву в сравнении с предшествующим периодом. При этом изменяется тембр голоса и другие его качества, причем изменения бывают как в лучшую, так и в худшую сторону. Поэтому по качеству пения мальчика нельзя предсказывать, каким певцом он станет после ломки (мутации) голоса.
Период полового созревания высвечивает еще одно различие в развитии мужского и женского организма. Как у девочек, так и у мальчиков под влиянием гормона гипофиза фоллитропина начинает развиваться молочная железа: увеличение ткани железы непосредственно под ореолой - пигментированным кружком кожи вокруг соска. Однако для окончательного развития молочных желез необходимо содружественное влияние фоллитропина и женских половых гормонов. Поэтому у девочек такое развитие происходит, а у мальчиков, у которых женских половых гормонов мало, а тестостерона, который тормозит развитие этих желез, много, наблюдается обратное развитие молочных желез.
Правда, у некоторых мальчиков-подростков молочные железы могут увеличиваться до значительных размеров. Связано это как с увеличенным выделением фоллитропина, так и с повышенной чувствительностью к нему ткани молочной железы.
В период полового созревания начинают проявляться различия между лицами мужского и женского пола в оволосении. Первое различие проявляется в лобковом оволосении. У большинства мужчин оно характеризуется линией волос, поднимающейся вверх в виде клина. Правда, примерно у каждого шестого мужчины характер лобкового оволосения приближается к женскому, характеризующемуся ровной горизонтальной линией, так что поверхность, покрытая волосами, имеет форму треугольника, вершиной обращенного вниз.
Второе различие в оволосении состоит в том, что у мужчин волосы начинают расти на лице (сначала над верхней губой, а потом и на подбородке), на груди, спине и ногах (распространение волос на теле называется гипертрихозом). Эти особенности мужского оволосения связаны с тем, что под влиянием мужского полового гормона тестостерона пушковые волосы превращаются в так называемые длинные. Разная волосистость мужчин определяется различной чувствительностью у них кожи к тестостерону и различным количеством этого гормона. Последнее определяет и тот факт, что гипертрихоз значительно реже и в меньшей степени выражен у женщин.
3.2 Половые различия
Хотя наблюдается большая изменчивость типов конституции с возрастом и образом жизни, все же можно отметить, что, по данным большинства авторов, у лиц мужского пола чаще отмечается мышечный тип, а у лиц женского пола - астеноидный или торакальный (А. В. Гордина, Т. В. Панасюк, 1975; С. С. Дарская, 1975; ). Последний из перечисленных авторов отмечает, что численность мальчиков чистого мышечного типа с возрастом увеличивается: с 8 до 13 лет - от 20 до 40 %, а в более старших возрастах - до 50 %. В то же время на протяжении школьного возраста у мальчиков уменьшается процент чистого торакального и особенно дигестивного типа, которые становятся смешанными с признаками мышечного типа. [5, 6]
3.3 О различиях в строении мозга мужчин и женщин
В последние годы появляется все больше публикаций о различиях в строении головного мозга у мужчин и женщин. Некоторые авторы указывают на то, что передняя спайка, т. е. структура, участвующая в обмене информацией между полушариями мозга, у женщин больше, чем у мужчин. Это могло бы объяснить отмечаемые невропатологами у женщин большие компенсаторные возможности при поражении одного полушария за счет другого. Однако другие исследователи выявили противоположные результаты: передняя спайка была больше у мужчин, чем у женщин.
Рядом нейрофизиологов найдены большие размеры у мужчин третьего промежуточного ядра переднего гипоталамуса, связанного с поведением, в том числе и сексуальным. Однако пока это только единичные находки, требующие своего подтверждения.
3.4 Физиологические половые различия
Девочки быстрее мальчиков продвигаются к своему взрослому статусу как по морфологическим параметрам, так и по физиологическим функциям, примером чего является их более раннее половое созревание. Сохраняется в отношении развития физиологических функций и другая закономерность онтогенетического развития: с каждым годом различия между мальчиками и девочками увеличиваются в пользу первых.
Сердечно-сосудистая система. Данные физиологов показывают, что в дошкольном и младшем школьном возрасте темпы развития девочек выше, чем мальчиков. Если у мальчиков наиболее координированная деятельность сердца и гемодинамики наблюдается в 11-12 лет, то у девочек такие взаимоотношения имеют место в 7-8 и 10 лет (Р. А. Калюжная, 1983). Имеются данные, что у женщин все же меньше основные параметры гемодинамики: объем сердца - на 100-200 мл, его вес - на 50 г, систолический объем - на 30-40 %, минутный объем - на 10-15 % (несмотря на большую, чем у мужчин, частоту сердцебиений в покое - на 6-8 уд/мин), масса циркулирующей крови - на 1,2 л, содержание гемоглобина в крови - на 1,5 г%. У женщин меньше продолжительность диастолы при более продолжительной фазе изгнания крови. У них сердечные сокращения слабее, что является одной из причин более низкого уровня артериального давления. По данным ряда авторов, объемная скорость кровотока у мальчиков 7-13 лет выше, чем у девочек того же возраста. [9]
В то же время лица женского пола от рождения обладают рядом врожденных преимуществ, в частности большей эластичностью кровеносных сосудов. Женщины могут терять большее количество крови, чем мужчины. Например, потеря 1 л крови для мужчины нередко является смертельной, в то время как женщина перенесет эту потерю без переливания крови.
Дыхательная система. До периода полового созревания, когда различия в размерах и составе тела между мальчиками и девочками минимальны, максимальное потребление кислорода (МПК) тоже почти одинаково. У молодых мужчин МПК в среднем на 20-30 % больше, чем у женщин. По мере старения различия в МПК между мужчинами и женщинами становятся меньше.
Даже рассчитанное на килограмм веса тела МПК у женщин меньше, чем у мужчин. Однако среди мужчин и женщин одного возраста наблюдаются значительные индивидуальные вариации в величинах МПК. У физически более подготовленных женщин МПК такое же, как у физически плохо развитых мужчин.
Более низкое МПК у женщин обусловлено тем, что максимальное количество кислорода, которое может переноситься из легких в ткани, у женщин меньше, чем у мужчин. Это различие связано с меньшим у женщин количеством эритроцитов, а следовательно, и гемоглобина, меньшим объемом циркулирующей крови (600 мл против 800 мл у мужчин), меньшим объемом сердца и полостей желудочков, меньшим систолическим объемом.
В то же время до периода полового созревания концентрация гемоглобина в крови у мальчиков и девочек почти одинаковая.
По данным Т. Д. Кузнецовой (1983), до 12 лет половые различия по величине легочных объемов выражены слабо. Это объясняется тем, что прирост объема дыхания у девочек с 6 до 14 лет выше, чем у мальчиков того же возраста, и в результате величина объема дыхания девочек практически становится равной таковой мальчиков. [11]
3.5 Половые различия в темпах моторного развития
По данным П. С. Бабкина (1975), половые различия в психомоторике начинают проявляться у детей уже на безусловно-рефлекторном уровне. Так, у девочек по таким рефлексам, как глоточный, хоботковый, брюшная гипо- и арефлексия наблюдается чаще, чем у мальчиков. Во многом благодаря морфологическим и физиологическим различиям, проявляющимся после периода полового созревания, по мышечной силе и быстроте, а также аэробной выносливости лица мужского пола превосходят лиц женского пола. [1]
Подвижность нервных процессов. По данным Н. Е. Высотской (1972) и А. Г. Пинчукова (1974), среди мальчиков 7-16 лет количество лиц с подвижностью как возбуждения, так и торможения больше, чем среди девочек (рис. 3.3). Затем с подвижностью возбуждения больше становится женщин. [4, 12]
Рис. 3.3. Изменение с возрастом подвижности возбуждения у лиц мужского и женского пола (Н. Е. Высотская, 1972)















