116343 (617866), страница 3
Текст из файла (страница 3)
Цель:
1. Раскрыть учащимся физический смысл закона Архимеда через эксперимент, использование Т.С.О., исторический материал.
2. Развивать логическое мышление учащихся через анализ фрагментов из художественной литературы.
3. Формировать у учащихся любовь к книге как источнику знаний.
Оборудование урока: видеопроектор, кодоскоп, приборы для демонстрации опыта с "ведерком Архимеда", динамометр демонстрационный, кирпич на резиновом шнуре, аквариум с водой, пробка. На каждом столе: болт на нитке, стаканчик с водой, учебный динамометр, мишень для игры "Снайпер".
Оформление доски:
"О выталкивающей силе знали все, а чему она равна — понял один" Д.М. Балашов
I. Организационный момент (2')
Ребята, вы видели телевизионный фильм "Капитан Немо"? Как вы думаете, это фантастика или реальность?! Если внимательно прочитать книгу французского фантаста Жуль Верна "Двадцать тысяч лье под водой", то вы убедитесь в научной справедливости некоторых эпизодов, изучив тему нашего урока сегодня. Видимо, автор хорошо понимал законы физических явлений. И он не одинок.
II. Актуализация знаний (5')
Русский писатель А.П. Чехов в повести "Степь" пишет: (цитаты лучше зачитывать из книг-первоисточников для реализации 2 и 3 цели).
"Егорушка... разбежался и полетел с полуторасаженной вышины. Описав в воздухе дугу, он упал в воду, глубоко погрузился, но дна не достал; какая-то сила, холодная и приятная на ощупь, подхватила и понесла его обратно наверх..."
Какая же сила подхватила Егорушку и подняла вверх? Правильно — выталкивающая сила. Давайте с вами повторим все, что мы о ней знаем, потому что она — именинница.
На доске заранее заготовлен кроссворд. Учащиеся, отвечая на вопросы устно, быстро заполняют его на доске.
Вопросы к кроссворду:
-
Имя какого ученого носит закон, который утверждает: "Давление, производимое на жидкость или газ, передается без изменения в каждую точку жидкости или газа". (Паскаль.)
-
Прибор для измерения силы. (Динамометр.)
-
Куда направлена выталкивающая сила? (Вверх.)
-
С погружением тела в жидкость давление увеличивается. Какая величина характеризует увеличение давления в жидкости? (Глубина.)
-
Математическая величина, которая характеризуется произведением длины, ширины и высоты. (Объем) Допишем формулу на доске, она нам пригодится.
-
Сила, действующая на попру или подвес. (Вес.)
-
А ну-ка, быстро посмотри,
И разреши сомненья
Скажи нам, как узнать внутри
У жидкости... (Давление.)
Формулу дописать на доске.
-
А сейчас я задам последний вопрос, а вы хором ответите на него, прочитав, что получилось по вертикали в выделенных клетках:
Скажи, какой великий человек
Прославил свой далекий, древний век
Тем, что открыл для жидкости закон,
Тем, что навек был в физику влюблен.* (Архимед.)
*Здесь и далее четверостишия к опытам из книги И.Я. Ланиной "Внеклассная работа по физике"
III. Объявление темы урока (8?) (Исторический материал.)
Тему урока, ребята, вы определили сами и она уже на доске, запишите ее в тетради.
Закон Архимеда.
А вы знаете, почему выталкивающая сила — именинница? Потому что у нее сегодня появилось имя, имя великого мыслителя древности — Архимеда. А чем же он так знаменит? На помощь к нам спешит книга Ефима Ефимовского "След колесницы". Зачитаем фрагмент.
Сиракузы. III век до нашей эры.
Автор: Жил в Сиракузах мудрец Архимед,
Был другом царя Гиерона,
Какой для царя самый важный предмет?
Вы все догадались — корона!
Захотелось Гиерону
Сделать новую корону.
Золота отмерил строго.
Взял не мало и не много —
Сколько нужно — в самый раз.
Ювелиру на заказ.
Через месяц Гиерону
Ювелир принес корону
Взял корону Гиерон,
Оглядел со всех сторон,
Чистым золотом сверкает…
Но ведь всякое бывает,
И добавить серебро можно к золоту хитро,
А того и хуже — медь
(если совесть не иметь)…
Гиерон: Вот корона, Архимед,
Золотая, или нет?
Архимед: Чистым золотом сверкает.
Гиерон: Но ты знаешь, все бывает!
И добавить серебро можно к золоту хитро,
А того и хуже — медь,
Если совесть не иметь.
Сомневаться стал я что-то:
Честно ль сделана работа?
Можно ль это, ты скажи, определить?
Но корону не царапать, не пилить…
Автор: И задумался ученый,
Что известно? ВЕС короны,
Ну а как найти ОБЪЕМ?
Думал ночью, думал днем.
И однажды в ванне моясь
Погрузился он по пояс.
На пол вылилась вода —
Догадался он тогда,
Как найти ОБЪЕМ короны
И помчался к Гиерону
Не обут и не одет…
А народ кричит вослед:
Что случилось, Архимед?
Может быть, землетрясенье?
Или в городе пожар?
Всполошился весь базар!
Закрывали лавки даже.
Шум, и крики, и смятенье!
Он промчался мимо стражи.
Архимед: Эврика! Нашел решенье!
Автор: Во дворец примчался он
Архимед: Я придумал, Гиерон!
Во дворце
Архимед: Эврика! Раскрыл секрет!
Гиерон: Ты оденься, Архимед!
Вот сандалии, хитон,
И расскажешь все полом!
Архимед: Пусть весы сюда несут
И с водой большой сосуд…
Все доставить Гиерону!
(Слуги все приносят)
На весы кладем корону
И теперь такой же ровно
Ищем слиток золотой…
(Находит кусок золота, по весу равный короне)
Гиерон: Все понятно!
Архимед: Нет, постой!
Мы теперь корону нашу опускаем в эту чашу.
Гиерон! Смотри сюда —
В чаше поднялась вода!
Ставлю черточку по краю.
Гиерон: А корону?
Архимед: Вынимаю.
В воду золото опустим…
Гиерон: В воду золото? Допустим…
Архимед: Поднялась опять вода
Метку ставлю я …
Гиерон: Куда?
Архимед: Ну конечно же по краю.
Гиерон: Ничего не понимаю.
Лишь две черточки я вижу:
Эта — выше, эта — ниже.
Но какой же вывод главный?
Архимед: Равный вес.
Объем — не равный!
Понимаешь, Гиерон.
Я сейчас открыл закон.
Тот закон совсем простой:
Тело вытеснит…
Гиерон: Постой!
Говоришь, объем не равный?
Мастер мой — мошенник явный!
За фальшивую корону
Он ответит по закону!
Автор: На этом прервалась беседа…
Немало воды утекло с стой поры,
Но помнят закон Архимеда
(Через видеопроектор на экран проецируем иллюстрации. Если нет Т.С., то необходимо нарисовать на бумаге атрибуты – уравновешенные весы с короной и куском золота, чан с водой с отметками уровня воды с короной и с золотом. Наглядность необходима для подготовки учащихся к восприятию физического опыта с "ведерком Архимеда". Мною практиковалось проигрывание спектакля в лицах. Это, естественно, требует дополнительной подготовки учащихся и весь реквизит, чтобы обыгрывать сцену.
Наибольшей эффективности запоминания, а, главное, понимания физической сути открытия и его ценности, удавалось добиться именно включая в урок спектакль. Следует, однако, учесть эмоционально-психологические доминанты в классном коллективе и то, что исторический сюжет – это лишь подготовка к осознанному восприятию физического опыта).
Учитель: Теперь нам понятны слова Д.М. Балашова, которые написаны на доске, и почему выталкивающую силу назвали Силой Архимеда.
IV. Объявление темы урока (12')
1. Фронтальный эксперимент (3')
Ребята, как экспериментально, опытным путем можно определить выталкивающую силу Архимеда, действующую на любое тело, погруженное в жидкость? Хотя бы на эти болтики, что лежат у вас на столе?
В воде тело стало легче на 0,1Н, это и есть величина
Вам достался болтик, а мне кирпич. Как же мне определить
, ведь динамометр не выдержит такой нагрузки?
Поднимаю кирпич, резиновый шнур растягивается. Опускаю в аквариум и резиновый шнур заметно сократился. Определить
в данном случае нам поможет Закон Архимеда, но его еще надо вывести.
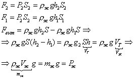
2. Вывод формулы
Через кодоскоп проецирую рисунок с прошлого урока, а нижнюю часть закрываю.
"Вопрос непрост
Прошу подумать всех,
Докажет кто, что жидкость
Давит снизу вверх".
по закону Паскаля
Закрываю нижнюю часть кодопозитива и открываю её после опыта с "ведёрком Архимеда".
3. Опыт с "ведерком Архимеда" (3')
Опустим цилиндр в воду и соберем всю вытесненную воду в стакан. Выливаем собранную воду из стакана в ведерко; 1) стрелки сравнялись:
; 2) ведерко полное:
. Открываем нижнюю часть вывода и проецирую на экран с комментированием и ссылкой на результаты эксперимента. Выключаю кодоскоп. Запишите вывод самостоятельно рядом с рисунком, сделанным на прошлом уроке на заранее оставленном месте. Через 2–3 мин. Высвечиваю для проверки.
4. Вывод и формулировка закона. (2')
— на доске и в тетради.
Выталкивающая сила, действующая на погруженное в жидкость (или газ) тело, равна весу жидкости (или газа), вытесненной этим телом.
V. Решение задачи (5’)
Ребята, вы-то молодцы,
, действующую на болтики, нашли, а вот как же быть с кирпичом?
Дано:
Решение:
Если тело в жидкость опустить,
Будет сила снизу на него давить.
Почему же тело погружается,
Может быть, здесь физика кончается?
Ответ:
, действующая на кирпич? 12,5 Н.
, поэтому он тонет.
Дома: Рассчитайте
и сравните с
.
VI. Закрепление. (7')
Возвращаемся в читальный зал и попытаемся проанализировать эпизоды из литературных произведений, опираясь на Закон Архимеда.
(1) "Умная галка". Так называется небольшой рассказ Л.Н. Толстого.
Хотела галка пить. На дворе стоял кувшин с водой, а в кувшине была вода только на дне. Галке нельзя было достать. Она стала кидать в кувшин камушки и столько накидала, что вода стала выше и можно было пить.
Зачем галка бросала камни? Почему вода поднималась?
(2) Н.А. Некрасов. "Дедушка Мазай и зайцы"
…Мимо бревно суковатое плыло,
Сидя, и стоя, и лежа пластом,
Зайцев с десяток спасалось на нем.
"Взял бы я вас — да потопите лодку!"
Жаль их, однако, да жаль и находку —















