114617 (617251), страница 3
Текст из файла (страница 3)
Интеллектуальная рефлексия определяется как умение субъекта оценивать, выделять, анализировать и соотносить с предметной ситуацией собственные действия. Основой интеллектуальной рефлексии являются мыслительные операции: анализ, синтез, построение умозаключений, обобщений, аналогий, сопоставлений, оценок, выводов. Также важными функциями интеллектуальной рефлексии являются критичность анализа, логичность обоснования, обобщённость систематизация, составление собственных представлений, накопление опыта [14].
Рефлексия, по мнению некоторых исследователей, неразрывно связанна с самооценкой, воображением и развитием речи. В теории учебной деятельности Д.Б. Эльконина и В.В. Давыдова, с процессом учебная деятельность развивает у младших школьников способность к рефлексии, являющейся одним из трех компонентов теоретического мышления (анализ, планирование, рефлексия). Г.А. Цукерман предлагает изучать рефлексию как способность человека определять границы своего знания и находить способы перехода этих границ. Выходить за границы наличной ситуации и собственных возможностей — главная функция рефлексии и обобщенная характеристика умения учиться.
В современной теории учебной деятельности выделяют, как правило, три основные сферы проявления рефлексии (деятельность и мышление; коммуникация и кооперация; самосознание). Механизм порождения рефлексии определяется как процесс осознания оснований собственных действий и способности различения собственного знания и незнания.
Интеллектуальная рефлексия неразрывно связанна со сферой общения. Предпосылки учебной деятельности складываются на основе игровой деятельности, где громадную роль играет воображение, которое является в дошкольном периоде центральным новообразованием. Благодаря игре, ребёнок овладевает навыками общения и приобретает рефлексивную позицию в общении. Поэтому рефлексия непосредственно связанна с общением ребёнка с окружающими.
Недостаточное развитие рефлексии чаще всего связано с неполноценным развитием общения в дошкольном детстве, с бедным содержанием игрового взаимодействия детей и их предметной деятельности, и, как следствие, с недостатками в развитии воображения .
Способность к рефлексии формируется и развивается у детей при выполнении действий контроля и оценки. Осознание ребенком смысла и содержания собственных действий становится возможным только тогда, когда он умеет самостоятельно рассказать о своем действии, подробно объяснить, что и для чего он делает. Ведь хорошо известно: когда человек объясняет что-то кому-либо другому, он сам лучше начинает понимать то, что объясняет. Поэтому на первых порах обучения любому действию (математическому, грамматическому и др.) необходимо требовать от ребенка не только самостоятельного и правильного выполнения этого действия, но и развернутого словесного разъяснения всех совершаемых операций.
1.5 Развитие внутреннего плана действий у младших школьников.
Внутренний план действий - это способность выполнять действия в уме. Это умение является одной из универсальных характеристик человеческого сознания и представляет собой ключевое условие для развития интеллекта [12]. С точки зрения классификации психических явлений, внутренний план действий не относится ни к одному из традиционно выделяемых психических процессов, а представляет собой нерасторжимое единство, сплав внимания, мышления, воображения и памяти [19].
Несмотря на исключительную важность внутреннего плана действий для человеческой психики, эта способность в условиях традиционно школьного обучения формируется лишь в основном при устном счёте на уроках математике и устном разбор слов и предложений на занятиях русским языком.
Внутренний план действий тесно связан с воображением. Условием для развития внутреннего плана действий является общение с людьми, в ходе которого происходит усвоение социального опыта и средств его осмысления. Как и любое психическое действие становление внутреннего плана действий проходит в своём развитии несколько этапов. Сначала это внешнее, практическое действие с материальными предметами. Затем реальный предмет заменяется его схемой, изображением. На финальном этапе после фазы проговаривания действия с предметом "про себя" следует умственное действие, т. е. действием «в уме».
В своём развитии такую последовательность проходят все умственные действия (счет, чтение, выполнение арифметических операций и т. д.). Наиболее наглядный пример — обучение счету: 1) сначала ребенок учится пересчитывать и складывать реальные предметы, 2) учится проделывать то же самое с их изображениями (например, считает нарисованные кружочки), 3) может дать правильный ответ, уже не пересчитывая пальцем каждый кружок, а совершая аналогичное действие в плане восприятия, лишь переводя взор, но по-прежнему сопровождая счет громким проговариванием; 4) после этого действие проговаривается шепотом и, наконец, 5) действие окончательно переходит в умственный план, ребенок становится способен к устному счету.
Развитие внутреннего плана действий обеспечивает способность ориентироваться в условиях задачи, выделять среди них наиболее существенные, планировать ход решения, предусматривать и оценивать возможные варианты и т. д. «Чем больше «шагов» своих действий может предусмотреть ребенок и чем тщательнее он может сопоставить их разные варианты, тем более успешно он будет контролировать фактическое решение задачи. Необходимость контроля и самоконтроля в учебной деятельности, а также ряд других ее особенностей (например, требование словесного отчета, оценка) создают благоприятные условия для формирования у младших школьников способности к планированию и выполнению действий про себя, во внутреннем плане» [4, с.83].
Помимо устного счёта и разбора предложений развитию внутреннего плана действий у младших школьников способствуют различные игры, в особенности шахматы, «пятнашки», шашки.
Глава 2. Экспериментальное изучение связи успеваемости и успешности обучения младших школьников с развитием свойств внимания.
2.1 Методы исследования.
Высокий уровень развития свойств внимания положительно влияет на успешность обучения у младших школьников [12], [19]. Большинство неуспевающих учащихся начальных классов характеризуются низким уровнем развития устойчивости, распределения и переключения внимания [12]. Особенно важную роль точность распределения внимания играет при усвоении русского языка, устойчивость внимания при обучении чтению. [13]. Как правило, у учеников, хорошо успевающих по школьным дисциплинам, степень интеграции основных свойств внимания — объема, устойчивости, концентрированности, распределения и переключения выше [14].
Чем более развиты свойства внимания, тем эффективнее обычно ученик справляется с учебными заданиями. Но и среди слабо успевающих учеников встречаются дети с объективно высокими свойствами внимания [12]. Поэтому в данном исследовании были протестированы две группы детей: хорошо успевающие и слабо успевающие по школьным дисциплинам. Были протестированы ученики третьих классов по методике «Да и нет». Также была использована корректурная проба: таблица Бурдона (5-минутный вариант заполнения) [9]. При работе с корректурной пробой Бурдона цель работы было измерение количественных характеристик внимания. В работе использовался бланк теста Бурдона в модификации, предложенной советским психологом П.А. Рудиком. В ходе работы каждому испытуемому были выданы листы с тестом Бурдона. Выполнению данной работы предшествовало упражнение, осуществляемое в специальной части бланка теста. Испытуемый должен был зачеркивать в бланке всегда четыре буквы: А, М, К, З. Работа шла построчно. Время, отведённое на выполнение задания, составляет пять минут.
Методика «Да и нет», также использованная для выявление уровня развития произвольного внимания, представляет собой некую модификацию известной детской игры «Да» и «Нет» не говорите, черного и белого не берите». По ходу игры ведущий задает ее участникам такие вопросы, на которые проще всего ответить словами «Да» и «Нет», а также употребив названия белого и черного цветов. Но именно этого по правилам игры делать нельзя. Для предлагаемой методики здесь запрещается отвечать на вопросы словами «Да» и «Нет». Испытуемым были заданны вопросы, среди которых- были такие, которые провоцировали ребенка высказывать свое отношение к школе и учению. Испытуемому задаются следующие вопросы:
1. Ты хочешь идти в школу?
2. Ты любишь, когда тебе читают сказки?
3. Ты любишь смотреть мультфильмы?
4. Ты хочешь пойти в школу не осенью, а только через год?
5. Ты любишь гулять?
6. Ты любишь играть?
7. Ты хочешь учиться?
8. Ты любишь болеть?
Затем детям была предложена игра в вопросы и ответы по типу игры в фанты с запретами : «Да» и «Нет» не говорите, белого и черного не берите». По ходу игры ребенку задавали ряд вопросов. Ребенок должен был отвечать как можно быстрее и при этом выполнять инструкцию:
1) не называть запрещенных цветов, например черного и белого;
2) не называть дважды один и тот же цвет;
Также была проведена методика изучения внимания у школьников 3-4 классов [15]. Здесь испытуемым нужно было исправить в предложенном тексте ошибки. Текс, данный учащимся, содержал десять ошибок:
Старые лебеди склонили перед ним гордые шеи. Зимой в саду расцвели яблони. Взрослые и дети толпились на берегу. Внизу над ними растилась ледяная пустыня. В ответ я киваю ему рукой. Солнце доходило до верхушек деревьев и тряталось за ними. Сорняки шипучи и плодовиты. Настоле лежала карта нашего города. Самолёт сюда, чтобы помочь людям. Скоро удалось мне на машине.
1.2 Полученные результаты
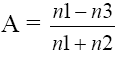
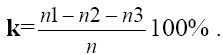
При обработке результатов корректурной пробы - таблицы Бурдона, вычислялся показатель концентрации внимания k. Для этого необходимо было подсчитать:
- общее количество правильно зачеркнутых букв - n1;
- количество пропусков букв А М К З - n2; количество ошибочно зачеркнутых букв - n3;
- общее количество в просмотренных строках букв А, М, К, З, подлежащих вычеркиванию - n.
П
оказатель концентрации внимания k вычисляется как отношение:
В зависимости величины этого коэффициента можно было получить качественную оценку.
Очень хороший - 81... 100%
Хороший -61... 80%
Средний -41... 60%
Плохой -21... 40%.
Коэффициент точности и аккуратности внимания А вычислялся по формуле:
Полученные результаты показывают, что дети с хорошей успеваемостью, как правило, имеют достаточно высокий уровень концентрации внимания и его точности. У большинства слабо успевающих детей уровень внимания средний или низкий. Хотя среди второй группы учащихся имеются и школьники с достаточно высоким уровнем внимания.
При ответе на заданные вопросы в методике «Да и нет» испытуемым нужно было постоянно помнить правила игры и отвечать определённым образом, контролируя свои ответы. При этом от них также требовалось одновременное обдумывание своих ответов, чтобы не произнести запрещённых слов. Эти действия были бы невозможны без определенного развития произвольности. Некоторые дети постарались облегчить поставленную задачу различными способами и, например, давали повторяющийся односложный ответ (например, «хочу»). Это действие лишало смысла их ответов. Для таких детей самым главным было лишь соблюдение формальности правила игры. Некоторые просто подменяли слова «да» и «нет» соответствующими движениями головы. Тем самым они соблюдали условия игры и не утруждали себя поиском адекватного ответа, что в достаточной степени сложно. Многие дети довольно долго молчали и обдумывали свой ответ прежде, чем дать содержательный ответ, не включающей запретные слова.
Обработка результатов проводится путем подсчета баллов, начисляющихся за ошибки, под которыми понимаются только слова «да» и «нет», «чёрное», «белое». Употребление детьми просторечной лексики (слова «ага», «не-а» и т.п.) не рассматриваются в качестве ошибки. Также не считается ошибкой бессмысленный ответ, если он удовлетворяет формальному правилу игры. Каждая ошибка оценивалась в 1 балл. Если ребенок правильно ответил на все вопросы, за его результат выставляется 0 (ноль). Таким образом, чем хуже выполнено задание, тем выше суммарный балл.
При обработке результатов методики изучения внимание у школьников третьих-четвёртых классов высшую оценку получали ученики, не пропустившие в тексте ни одной или не заметившие одной-двух ошибок. Средний уровень показали учащиеся, упустившие из своего внимания 3-4 ошибки в тексте. Низкий уровень внимания у учеников, не обнаруживших более пяти ошибок.
Полученные данные дают возможность выяснить, существует ли связь между успеваемостью и уровнем развития произвольного внимания.
Расчёт коэффициента корреляции между успеваемостью и уровнем развития произвольного внимания производился по следующей формуле:
, где r -коэффициент ранговой корреляции
d – разность рангов,
n - число предложенных.
Полученное значение корреляции (r=0.94, p<0,05) является показателем умеренной тесноты связи. Как видно из полученных данных, внимательные дети учатся лучше, чем невнимательные, не означает, что уровень развития произвольного внимания линейно связан с успеваемостью во всем диапазоне изменчивости этих показателей. Корреляционный анализ взаимосвязи свойств внимания и успеваемости отдельно в группах хорошо успевающих и слабо успевающих учеников обнаружил у невнимательных учеников большую зависимость успеваемости от уровня развития произвольного внимания. Учитывая, что уровень этих показателей у невнимательных учащихся достоверно ниже по сравнению с внимательными, можно предполагать, что это у существенно ограничивает возможности успешного выполнения учебных заданий. Однако, среди неуспевающих учеников есть ребята с достаточно неплохим показателем уровня внимания. Следовательно достаточно развитое произвольное внимание не может гарантировать успешность обучения.
Проведенное экспериментальное исследование подтвердило гипотезу и позволило сделать следующие выводы:
-
Хорошо успевающие ученики обычно имеют достаточно высокий уровень внимания.
-
Благодаря корреляционному анализу выявлена взаимосвязь свойств внимания и успеваемости. Дети с более высокий показателем сформированности произвольного внимания, в основном, имеют более высокую успеваемость.
-
Но, учитывая факт, что и среди слабо успевающих учеников есть такие, которые имеют достаточно высокий уровень произвольного внимания, можно сделать вывод, что какие-то другие психологические факторы оказывают влияния на процесс обучения этих учащихся (например, слабая мотивация к учёбе, лень).
-
В процессе школьного обучения происходит недостаточное и весьма хаотичное развитие произвольного внимания (в основном, при устном счёте на уроках математики). Поэтому необходимо дополнительные занятие по развитию произвольного внимания.















