114193 (617115), страница 3
Текст из файла (страница 3)
Вторым широко применяемым методом систематизации в обучении математике является форма письменно-графических работ. Этот метод имеет свои качественные особенности: большая объективность по сравнению с устной формой, охват нужного числа проверяемых, экономия времени. Применение письменных работ используется для:
-
Формы знания теоретического материала
-
Умения применять его к решению задач
-
Систематизации сформированных навыков
В методике письменно – графических работ выделяют четыре основных этапа, которым надо уделять внимание, это подготовка, организация, проведение, анализ результатов.
При подготовке нужно: вычленить цель формы, отобрать содержание объектов формы, составить проверочные задания. Большую помощь при этом оказывают учебно – методические пособия “Книга для учителя”, “Дидактические материалы”, образцы проверочных работ в журнале “Математика в школе”.
При организации проверочной работы учащимся сообщается – в каких тетрадях ее выполнять, какие задания им предназначены, как озаглавить работу, как оформить решение, время выполнения работы. При этом следить за самостоятельностью выполнения работы каждым учеником.
Анализирование ответов учащихся эффективно тогда, когда оно проводится по определенным схемам (схемам поэлементного анализа). Тщательно проведенный анализ позволяет глубоко изучить пробелы и достижения отдельных учеников, выделить типичные ошибки и основные затруднения учащихся, изучить причины их появления и наметить пути их устранения.
Форма практических работ
С помощью этого метода получают данные об умении учащихся применять полученные знания при решении практических задач, пользоваться различными таблицами, формулами, чертежными и измерительными инструментами, приборами.
Учитель получает отчет ученика, в котором приводится только результат или схематически описаны план практической работы и ее результаты. Это несколько затрудняет форму и оценку каждого действия ученика. Поэтому на практике в проверочном задании приводиться алгоритм его выполнения, что позволяет осуществить такую форму правильности действий ученика. Все работы проверяются, но оцениваются по-разному, по результатам обзорных работ оценки выставляются в журнал, по результатам тренировочных работ можно выставить лишь положительные оценки.
Средства осуществления систематизации
В настоящее время создаются и распространяются такие средства, которые не требуют больших затрат времени на подготовку, проведение и обработку результатов. Среди них выделяют машинные и безмашинные средства формы[23, с. 74].
Безмашинные средства формы
Среди безмашинных средств формы наиболее распространены в практике работы школы устный опрос учащихся у доски, форма учителем тетрадей с домашним заданием, математический диктант, самостоятельная и систематизационная работы.
Форма домашнего задания
Роль домашних заданий практически обесценивается, если не налажена их форма. Учителя практикуют разные формы учета. Это и устный опрос у доски или с места по домашнему заданию, и короткая письменная работа, но, прежде всего это непосредственная форма задания в тетрадях – фронтальная при обходе класса в начале урока и более основательная, выборочная во внеурочное время.
Форму домашнего задания можно осуществлять в различных формах. Рассмотрим наиболее распространенные приемы формы домашнего задания.
I прием.
У доски готовится один учащийся, класс в это время занят другой работой. Затем ученик отвечает, а остальные слушают и задают вопросы.
II прием.
Отличается от первого тем, что к доске вызывается не один, а все учащиеся. Этот прием позволяет экономить время урока. Этот широко распространенный в школе прием называют уплотненным опросом.
Необходимо отметить недостатки этих приемов:
-
Вызванным учащимся выделяется время на подготовку к ответу.
Остальным не дается время, чтобы продумать ответы на поставленные вопросы.
-
Если вызванные учащиеся отвечают плохо, то уплотненный опрос
затягивается на 15-20 минут, а других учащихся учитель вызвать не может, так как они не готовились к ответу.
Кроме таких форм систематизации выполнения домашнего задания существуют и другие.
Самоформа по образцу применяется на первом уроке после объяснения нового материала. Образец решения домашней работы записан на доске заранее. Учащиеся рассматривают решение образец и устно комментируют его, тетради у всех закрыты. Затем ребята открывают тетради и проверяют свои работы по образцу, подчеркивая ошибки. Этот способ развивает внимание и выявляет ошибки с помощью образца.
Взаимоформа с помощью образца используется на следующем уроке. В этом случае учащиеся проверяют домашнюю работу своего соседа тоже по образцу. Как и в первом случае, окончательно тетради проверяет учитель.
Математический диктант
Математический диктант может заменить опрос по теме, заданной для повторения. Его продолжительность обычно 10-20 минут. Он представляет собой систему вопросов, связанных между собой.
Текст диктанта может быть:
-
Написан на плакате
-
Спроецирован на доску с помощью кадоскопа
-
Зачитан учителем
Существует еще такая разновидность диктанта, как математический диктант с графической записью ответа.
Приведем методику проведения диктанта.
-
Учитель полностью зачитывает текст, а учащиеся слушают, не делая записей.
-
Учитель читает текст по фразам, делая паузы от одной до четырех минут, чтобы дать учащимся возможность выполнить задание.
-
Когда все задания выполнены, учитель снова читает весь текст с небольшими остановками (это дает учащимся возможность что – то исправить и сделать дополнения)
Правильные ответы записываются на доске. Ученики могут проверить диктант самостоятельно у соседа по парте.
В 5-7 классах все работы проверяются учителем. Этот метод формы реже используется в старших классах.
С помощью математического диктанта можно проверить знание учащимися формулировок, определений, свойств, теорем, формул, умения и навыки в их использовании.
Организация самостоятельных работ
При изучении математики важно, чтобы учащиеся не только знали теоретический материал, но и умели применять его к решению задач и упражнений, обладали бы рядом навыков (вычислительными навыками, умениями преобразовывать выражения и т.д.). Эти умения и навыки могут быть по настоящему проверены только в письменной работе. Обычно самостоятельные работы проводятся после коллективного решения задач новой темы и предшествуют систематизационной работе по этой теме.
При проведении самостоятельной работы учитель сталкивается со следующими затруднениями:
-
Дети заканчивают работу не одновременно, поэтому целесообразно включать в работу дополнительные задания для тех, кто работает быстрее.
-
Трудно подобрать задания одинаково посильные всем учащимся.
-
Трудно организовать форму самостоятельных работ.
Организация систематизационных работ
Систематизационная работа может быть кратковременной и долговременной.
-
Перед проведением систематизационной работы необходимо определить объект систематизации, цель предстоящей работы и средства систематизации. Они должны быть сообщены учащимся.
-
В зависимости от вида заданий нужно продумать, каким образом ученик должен их оформить.
-
Учитель должен продумать, что он отнесет к недочетам, а что к ошибкам.
Из этого будет складываться оценка. Критерии оценки хотя бы в общих чертах должны быть известны учащимся.
-
Систематизационная работа должна быть посильной для всех учащихся без исключения. Сильным ученикам нужно дать задания труднее.
-
Каждой систематизационной работе должна предшествовать самостоятельная работа с аналогичными упражнениями.
-
Анализ систематизационной работы необходимо проводить сразу, для этого необходимо завершать работу за несколько минут до звонка. Желательно фрагменты решения разобрать сразу после написания работы, потому что на следующий день или позже учащиеся уже теряют интерес к содержанию работы и многие интересуются только оценкой.
-
Обязательно нужно проводить количественный и качественный анализ систематизационной работы.
Данные количественного анализа удобно представлять в виде таблицы
Но данные количественного анализа не позволяют установить уровень владения материалом конкретного ученика. Такую возможность представляет качественный анализ. Информация, которая подвергается качественному анализу, должна включать данные о выполнении каждого задания предложенной систематизационной работы каждым учеником класса. Такие данные можно фиксировать в таблице.
Содержание основной части таблицы свидетельствует об основных ошибках учащихся, допущенных при выполнении отдельных заданий.
Анализ результатов систематизационной работы может способствовать получению выводов об особенностях своей деятельности по организации усвоения школьниками учебного материала.
Машинные средства формы
Для систематизации знаний учащихся используют персональный компьютер. Для систематизации знаний учащихся удобно применять типовые расчеты, которые включают наиболее характерные задания базового курса математики. Перечислим некоторые преимущества использования компьютера для создания типовых расчетов:
1. Однотипные задания печатаются в любом количестве неповторяющихся вариантов;
2. Варианты, созданные с помощью компьютерных программ, проверяются значительно быстрее, так как компьютер может предоставить ответы к каждому заданию;
3. Компьютерные типовые задания удобны для отработки необходимых навыков с отстающими учащимися (учитель не тратит время на подбор однотипных заданий для отработки определенных навыков);
4.Учащиеся с огромным интересом работают с такими заданиями, особенно, если карточка с заданием индивидуальна и ученик может работать в ней.
Глава 2. Экспериментальное исследование методов и приемов систематизации и обобщения знаний учащихся при изучении темы «Алгебраические уравнения» в 9 классе
2.1. Тематическое планирование
Одним из существенных моментов в организации обучения является систематизация за знаниями и умениями учащихся. От того, как она организована, на что нацелена, существенно зависит содержание работы на уроке, как всего класса в целом, так и отдельных учащихся. Вся система систематизации знаний и умений учащихся должна планироваться таким образом, чтобы охватывались все обязательные результаты обучения для каждого ученика. Одновременно в ходе систематизации надо дать учащимся возможность проверить себя на более высоком уровне, проверить глубину усвоения материала. В ходе изучения темы учитель проверяет результаты обучения путем проведения текущих самостоятельных работ, устного опроса, систематизационных работ и других форм систематизации.
История развития математического знания даёт возможность пополнить запас историко-научных знаний школьников, сформировать у них представления о математике как части общечеловеческой культуры.
Требования к знаниям и умениям учащихся в данном курсе не завышены. Так как чрезмерность требований порождает перегрузку, что ведёт к угасанию интереса к математике. Применение компьютерной технологии (презентации, слайды, поиск информации по имеющимся источникам) заинтересовывает учащихся данным курсом, что, помогая лучше овладеть ЗУН. Курс оснащён информационно-программным средством “Этот удивительный мир чисел, электронная версия”.
Цели курса: обобщение и систематизация, расширение и углубление знаний о множестве чисел, обретение практических навыков при выполнении тренировочных заданий, привитие устойчивого интереса к математике, повышение уровня математической подготовки школьников; увеличение количества учащихся, для которых математика станет профессионально значимым предметом.
Задачи курса:
-
сформировать у учащихся логическое представление о числах; > восполнить пробелы в знаниях о числах;
-
сформировать навыки применения данных знаний при решении разнообразных задач различной сложности;
-
сформировать навыки самостоятельной работы;
-
сформировать умения и навыки исследовательской работы, работы со справочной литературой, с компьютером;
-
способствовать развитию алгоритмического мышления, воспитанию умений действовать по данному алгоритму;
-
показать, что источник возникновения изучаемых понятий - реальный мир, что они возникли из практических потребностей людей;
-
показать, что понятия не изолированы друг от друга, а представляют определённую систему знаний, все звенья которой находятся во взаимной связи;
-
способствовать развитию творческого и логического мышления учащихся;
-
способствовать формированию познавательного и устойчивого интереса к математике;
-
пополнить исторические сведения;
-
обеспечить условия для расцвета личности школьника с учётом возрастных особенностей;
-
привить навыки работы в группах, выступать, вести переговоры, отстаивать свое мнение и интересы;
-
подготовка учащихся к профильной школе.
Календарно – тематическое планирование.
| №/№ | Тема занятий. | Кол - во часов. | Дата проведения. | Виды деятельности. | Оборудование. |
| 1. | Натуральные и целые числа. | Зч. | |||
| 1 | Натуральные числа. Система счисления. | 1ч. | Анкетирование, аукцион знаний, демонстр. презентации. | Лист ответов, компьютер, программ. обеспечение. | |
| 2 | 1ростые и составные числа. НОД (Алгоритм Евклида). | 1ч. | Исследов. работа, Работа со справочником, практикум. | Компьютер, программное обеспечение | |
| 3 | Множество целых чисел. Самостоятельная работа. | 1ч. | Беседа, работа со справочником. Самостоят. проверочная работа | Компьютер, программное обеспечение. Лист ответов. | |
| 2. | Рациональные числа. | 1ч. | |||
| 1 | Обыкновенные и десятичные дроби. Периодические дроби. - | 1ч. | Исследов. работа. Работа со справочником, практикум. | Компьютер, программное обеспе-ние . | |
| 3. | Действительные числа. | Зч. | |||
| 1 | Непериодические бесконечные десятичные дроби. Иррациональные числа. | 1ч. | 1екция, аукцион знаний. | Компьютер, программное обеспечение. | |
| 2 | Коредь 1с-й степени из действительного числа. | 1ч. | Работа со справочником, практикум. | Компьютер, программное обесп. | |
| 3 | Систематизацияное тестирование. | 1ч. | Самостоятельная работа. | Компьютер, лист ответов. | |
| 4. | Комплексные числа. | Зч. | |||
| 1. | Алгебраическая форма комплексного числа. Действия с комплексными числами. | 1ч. | Проблемная беседа Практикум. | Компьютер, программное обссп. | |
| 2. | Применение комплексного числа. | 1ч. | Лекция. | Компьютер, программное обесп. | |
| 3. | Систематизационное тестирование. | 1ч. | Самостоятельная работа. | Компьютер, лисе ответов. | |
| 5. | Круглый стол | 2ч. | Вопросы - ответы. Обсуждение. Анкетирование | Заготовленные вопросы. Лист ответов. | |
| Итого: | 12ч. |
Тест
Действительные числа
1. Обратить обыкновенную дробь в десятичную:
Ответ: а) 1) 0,102; 2) 0,125; 3) 0,1205.
б) 1) 0,55; 2)0,505; 3)0,255.
в) 1) 0,(925); 2) 0,9(25); 3) 0,92(5).
г) 1) 0;21; 2) 0,2(1); 3)0,(21).
2. Обратить десятичную дробь в обыкновенную:
а) 0,15; б) 0,225; в) 0,(6); г) 2,2(41).
Ответ: а) 1) 3/20; 2) 4/17; 3) 3/5.
б) 1) 9/40; 2) 2/19; 3) 1/40.
в) 1) 2/3; 2) 1/9; 3) 3/7.
г) 1) 2219/90; 2) 2219/990; 3)2219/999.
3)Выписать из данных чисел иррациональные:
Ответ: а) 1)
2)
3)
4. При каких х имеет смысл выражение:
А.
Ответ: а) 1) х>0; 2) x<0; 3) x- любые числа.
б) 1) х>5; 2) x<5; 3) x- любые числа.
в) 1) х ≥5; 2) x≤5; 3) x- любые числа.
Б.
Ответ: а) 1) х ≥0; 2) x≤0; 3) x- любые числа.
б) 1) х ≥3; 2) x≤3; 3) x- любые числа.
5* Упростить выражение:
Б.
Ответ: а) 1) 2-5х; 2) 5х-2; 3) x;
б) 1) 5х-2; 2) 2-5х; 3) x;
в) 1) 2-5х; 2) x; 3) 5х-2;
В.
Ответ: а)
б)
Тест
Комплексные числа.
1. Изобразить комплексные числа на координатной оси: z1=4-6i; z2=3+i; z3=-5i; z4=4-0i; z5=-1,5=3i; z1=-2-8i;
2. Для комплексных чисел z1 и z2 найти:
1)z1+ z2; 2)z2- z1; 3) z1z2; 4) z1: z2:
z1 = 5-3i , z2 = -4+7i.
Ответ:1. а)z1+ z2=1+4i; б)z1+ z2 =4+i; в)z1+ z2=2+3i;
2. а)z2- z1=9-10i; б) z2- z1=-9+10i ; в)z2- z1= -9-10i ;
3. а)z1z2=-41+47i ; б) z1z2=-1-47i ; в)z1z2=1+47i ;
4. а)z1: z2=
; б) z1: z2=
; в) z1: z2=
.
3
. Составить квадратное уравнение с действительными коэффициентами, если известен один из его корней
х1 =
Ответ: а) x2-6x+10=0; б) x2-6x+8=0; в) x2+6x-10=0
4. Вычислить: 1)i21 ,2) i75 ,3) i44
Ответ: 1) а)i; б)1; в)-i;
2) а)i; б)1; в)-i;
3) а)i; б)1; в)-i.
5. Выполнить действия:
1) (2+5i)2 (3-i);
2)*
Ответ: 1. а)-43+81i; б)-83+81i;в)-23+39i;
2. а)8i; б)0; в)-4i.
2.2. Планы-конспекты уроков
План-конспект №1. Тема урока: «Графический способ решения систем уравнений».
Цели урока:
-
открыть совместно с учащимися новый способ решения систем уравнений, закрепить навыки построения графиков элементарных функций;
-
формировать потребность приобретения новых знаний, создать условия для систематизации (самосистематизации) усвоения умений и навыков;
-
развивать математическую речь при комментировании решения;
-
воспитывать уважение друг к другу, взаимопонимание, уверенность в себе, развивать самостоятельность и творчество.
Ход урока.
Для урока мы используем следующую литературу: Учебник Ю.Н. Макарычева “Алгебра 9” под редакцией С.А. Теляковского., “Сборник задач для проведения письменного экзамена по алгебре за курс основной школы” “Дрофа” Москва 2001г., Материалы Единого Государственного Экзамена.
Во время урока учащийся ведет лист самосистематизации, где в ходе урока оценивает свое участие по 3-х бальной шкале (0,1,2).
1 – Самоопределение к деятельности. Организационный момент
Эпиграф: Настоящий ученик умеет выводить известное из неизвестного и этим приближается к учителю (Гёте И.)
2 – Актуализация знаний и фиксация затруднений в деятельности.
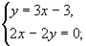
А) Какие способы решения систем уравнений вы знаете?
Б) Решить систему уравнений (любым способом)
Решение системы №1:
Ответ (1,5;1,5)
Ответ (-3;2)
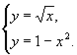
Решение системы 3 вызывает у учащихся затруднение. Известными способами эту систему не решить.
3 - Постановка учебной задачи.
Учащиеся формулируют цель урока: “Научиться решать системы новым способом”
Вспоминаем недавно изученный графический способ решения уравнений. Нельзя ли его применить к решению систем. Вспомните определение графика уравнения с двумя переменными.
Работа устно:
С помощью каких преобразований можно построить графики данных элементарных функций.
4 – Построение проекта выхода из затруднений.
Совместное создание алгоритма решения систем:
-
выразить переменную У через Х (если возможно);
-
построить график каждого уравнения;
-
найти координаты точки пересечения графиков.
Координаты любой точки построенного графика являются решением уравнения, следовательно, координаты каждой точки пересечения являются решением системы уравнений.
На доске учащиеся решают систему №3
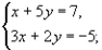
5 – Первичное закрепление (работа у доски по учебнику)
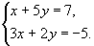
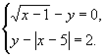
Решить графически систему уравнений
Решение:
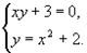
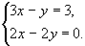
С помощью графиков решите систему уравнений
Решение:
Физ. Минутка.
(ведет физорг или валеолог класса).
Самостоятельная работа с самопроверкой. По вариантам. Упражнения взяты из “Сборника заданий для проведения экзамена по алгебре за курс основной школы”
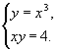
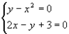
1) Решите графически систему.
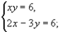
2) С помощью графиков определите: сколько решений имеет система уравнений
Решение №203 – 1 вариант.
Решение №206 вариант 1
№203 вариант 2
№206 вариант 2:
В конце работы выявляются причины ошибок или затруднений.
Работа творческого характера (по группам).
-
Решить систему
-
По готовому рисунку составить систему.
Учащиеся оценивают свое участие в работе групп.
Систематизация знаний:
-
Что нового вы узнали на уроке?
-
Достигли ли вы, поставленной в начале урока, цели?
-
Какую цель вы для себя ставите на следующем уроке?
В конце урока учащиеся сдают листы самооценки учителю.
Домашнее задание: № 302, № 304 или №305.
План-конспект №2. Компьютерные технологии на уроке математики в 9-м классе
Из классической педагогической литературы известно, что наиболее эффективной является такая организация учебного процесса, при которой максимально стимулируются творческие способности учащихся, и используются возможности новых информационных технологий обучения в организации внутреннего диалога учащихся на основе мультимодального взаимодействия.
Урок проходит в кабинете математики, оборудованном компьютерами, связанными локальной сетью в 9 классе с углубленным изучением математики, в котором учащиеся занимаются по подгруппам.
Тема: Метод замены переменной в уравнениях. Исследование структуры уравнений приводимых к квадратным. (2 часа).
1-й час – исследование уравнений высших степеней, имеющих более сложную структуру, чем те, которые изучались в восьмом классе.
2-й час – урок-практикум - решения задач.
Цели:
1) выработать умение учащихся видеть структуру уравнений и выбирать наиболее эффективно замену переменных для их решения на основе анализа коэффициентов уравнения;
2) расширить круг приемов решения уравнений, приводимых к квадратным;
3) углубить теоретические основы подхода к решению уравнений;
4) развить навыки работы с информационными технологиями;
5) активизировать интеллектуальную деятельность учащихся.
Задачи:
1) распознавание уравнений, приводимых к квадратным;
2) обоснование выбора подходящей замены переменных;
3) отработка навыков решения подобных уравнений;
4) повторение способов решения различных типов уравнений, сводящихся к квадратным;
5) развитие умения самостоятельно осуществлять небольшие исследования;
6) тренировка умения работы с электронными учебно-методическими материалами.
Схема урока.
I. Повторение пройденного материала и вопросов, подготавливающих к пониманию новых задач.
II.
1) Методы решения квадратных уравнений:
а) формула корней квадратного трехчлена;
б) выделение полного квадрата;
в) использование теоремы, обратной теореме Виета;
г) разложение на множители;
2) теоретические положения о количестве корней квадратного трехчлена;
3) теоремы о тождественных преобразованиях и равносильности уравнений;
4) метод замены переменной в биквадратных уравнениях.
Форма проведения урока – сочетание объяснения учителя с фронтальной коллективной работой учащихся.
III. Восприятие и первичное осознание нового материала, осмысление связей и отношений в объектах изучения.
Исследование структуры и решение уравнений, сводящихся к квадратным, на следующих примерах:
Объяснение учителя.
1)
;
2)
;
3)
.
Далее №№9.15(а); 9.16(а); 923(а) - решаются учащимися на доске.
Применение учащимися приобретенных знаний в самостоятельном выполнении задания по выбору подходящей замены переменной в решении уравнений, приводимые к квадратным.
Каждый ученик имеет свое рабочее место за персональным компьютером, на котором он получает свой вариант задания, сгенерированный компьютером по числу учеников по образцу подобранному учителем, решает и вводит с клавиатуры свой ответ.
Систематизация и обобщение знаний: После окончания выполнения задания компьютер проверяет ответ и выставляет оценку. В случае удовлетворительной (или неудовлетворительной) оценки ученик имеет возможность изучить правильное решение, запросив на компьютере соответствующую опцию, просмотреть правильное решение и выявить допущенные ошибки. Полученные оценки выставляются учителем в журнал.
IV. Образец вариант задания, получаемого учащимися на этом уроке:
1)
;
2)
;
Домашнее задание: №№ 9.14(в, г), 9.16(б, г), 9.23(в, г).
М.А. Галицкий, А.М. Гольдман, Л.И. Звавич “Сборник задач по алгебре” 8 – 9 класс.
2.3. Результаты эксперимента
Цель: Изучить уровень систематизации и обобщения полученных знаний на завершающем этапе эксперимента.
Для выявления влияния эксперимента, проведенного с детьми экспериментальной группы, мы провели эксперимент с учащимися систематизационной и экспериментальной групп. При этом использовались те же методики, что и в констатирующем эксперименте.
Таблица 1
Данные экспериментального изучения уровня систематизации и обобщения полученных знаний
| Контрольная группа | Экспериментальная группа | ||
| Учащийся, № | Количество правильных ответов | Учащийся, № | Количество правильных ответов |
| 1 2 3 4 5 6 7 8 9 10 11 12 13 14 15 | 7 5 5 5 3 3 3 5 3 5 3 3 3 3 3 | 1 2 3 4 5 6 7 8 9 10 11 12 13 14 15 | 8 6 5 6 7 4 5 4 5 3 3 3 4 3 3 |
По данным таблицы мы получили следующие результаты:
-
учащихся с высоким уровнем в контрольной группе 1 человек, в экспериментальной группе – 2 человека;
-
количество учащихся со средним уровнем в контрольной группе 5 человек, в экспериментальной – 8 человек;
-
учащихся с низким уровнем в контрольной группе 9 человек, в экспериментальной – 5 человек.
Контрольная группа:
F / N * 100%,
1/15*100% = 6,7%
5/15*100% = 33,3%
9/15*100% = 60%
Экспериментальная группа:
F / N * 100%,
2/15*100% = 13,3%
8/15*100% = 53,3%
5/15*100% = 33,4%
Результаты опроса представлены на рисунке 1.
Р
ис. 1. Выявление уровня систематизации и обобщения полученных знаний на стадии контрольного эксперимента по теме
«Алгебраические уравнения», 9 класс.
Из полученных данных мы видим, что высокий уровень составил в контрольной группе 6,7%, в экспериментальной – 13,3%. Средний уровень в контрольной группе – 33,3%, в экспериментальной – 53,3%, низкий уровень в контрольной группе 60%, в экспериментальной – 33,3%.
Таким образом, подводя итоги опроса, мы можем сделать вывод о том, что, говоря о систематизации и обобщении полученных математических знаний можно констатировать, что данный опрос показал, у учащихся 9 классов повысился уровень знаний по сравнению с итогами констатирующего эксперимента. Но, если сравнивать уровень знаний в контрольной и экспериментальной группах, то мы можем утверждать, что в экспериментальной группе уровень намного выше. Это было достигнуто благодаря использованию в нашем исследовании специализированных интегрированных уроков.
Таблица 2
Данные экспериментального изучения уровня сформированности знаний в контрольном эксперименте.
| Контрольная группа | Экспериментальная группа | ||
| Учащийся, № | Количество правильных ответов | Учащийся, № | Количество правильных ответов |
| 1 2 3 4 5 6 7 8 9 10 11 12 13 14 15 | 6 4 3 4 4 7 5 2 3 4 2 2 3 1 2 | 1 2 3 4 5 6 7 8 9 10 11 12 13 14 15 | 7 6 5 7 5 3 5 8 5 3 3 3 5 4 4 |
По данным таблицы мы получили следующие результаты:
-
учащихся с высоким уровнем в контрольной группе 1 человек, в экспериментальной группе – 3 человека;
-
количество учащихся со средним уровнем в контрольной группе 6 человек, в экспериментальной – 8 человек;
-
учащихся с низким уровнем в контрольной группе 8 человек, в экспериментальной – 4 человека.
Контрольная группа:
F / N * 100%,
1/15*100% = 6,7%
6/15*100% = 40%
8/15*100% = 53,3%
Экспериментальная группа:
F / N * 100%,
3/15*100% = 20%
8/15*100% = 53,3%
4/15*100% = 26,7%
Результаты опроса представлены на рисунке 2.
Рис. 2. Выявление уровня математических знаний учащихся на стадии контрольного эксперимента
Из полученных данных мы видим, что высокий уровень составил в контрольной группе 6,7%, в экспериментальной – 20%. Средний уровень в контрольной группе – 40%, в экспериментальной – 53,3%, низкий уровень в контрольной группе 53,3%, в экспериментальной – 26,7%.
Итак, анализ данных контрольного эксперимента показал, что уровень знаний возрос в обеих группах по сравнению с результатами констатирующего эксперимента. Но, если сравнивать показатели знаний в контрольной и экспериментальной группах, то уровень знаний в экспериментальной группе намного выше уровня знаний контрольной группы. Это стало возможным при использовании интегрированного урока.
Таким образом, проведенные нами исследования свидетельствуют о том, что, если систематически использовать такие формы систематизации и обобщения на уроках математики, как математический диктант, контрольные работы, а также проводить специализированные уроки, то:
-
расширяются и систематизируются представления школьников по предмету;
-
формируются навыки самосистематизации и обобщения знаний.
Заключение
Систематизация и обобщение знаний и умений учащихся – одно из основных условий повышения качества обучения. Учитель математики в своей работе должен использовать не только общепринятые формы систематизации (самостоятельная и систематизационная работы, устный опрос у доски и т.д.), но и постоянно изобретать, внедрять свои средства систематизации. Умелое владение учителем различными формами систематизации знаний и умений способствует повышению заинтересованности учащихся в изучении предмета, предупреждает отставание, обеспечивает активную работу каждого ученика. Систематизация для учащихся должна быть обучающей.
В результате проведения нетрадиционных форм систематизации знаний и умений раскрываются индивидуальные особенности детей, повышается уровень подготовки к уроку, что позволяет своевременно устранять недостатки и пробелы в знаниях учащихся.
Список литературы
-
Амонашвили Ш. А. Обучение. Оценка. Отметки. – М.: Знание, 2004.
2. Баймуханов Б. Б. Тематический контроль и учет знаний // Математика в школе, 2006. - №5.
-
Борода Л.Я. Некоторые формы систематизации знаний на уроке // Математика в школе, 2005. - №4.
-
Вахламова А. П., Рабунский Е. С. О систематической взаимопроверке знаний учащихся на уроках // Математика в школе, 2004. - №1.
-
Груденов Я. И. Совершенствование методики работы учителя математики – М: Просвещение, 2005.
-
Дакацьян У. В. Проверка знаний учащихся по математике – М.: Академия, 2005.
-
Денищева Л. О., Кузнецова Л. В., Лурье И.А. и др. Зачеты в системе дифференцированного обучения математики – М: Просвещение, 2003.
9. Зив Б. Г. Задачи к урокам алгебры: 7-11 кл. – М.: Русское слово, 2003.
10. Ильина Т. А. Педагогика: курс лекций: учебное пособие для студентов пед. ин-тов.– М: Просвещение, 2004.
11. Калинина М.И. К вопросу о систематизации знаний учащихся/ сб. статей, сост. Борчугова З. Г., Батий Ю. Ю. – М.: Просвещение, 2004.
12. Колобова Е. В. Использование зачетной системы для контроля и оценки знаний учащихся // Математика в школе , 2004. - №3.
13. Качество знаний учащихся и пути его совершенствования / Под ред. Скаткина М.Н., Краевского М.Н. – М.: Педагогика, 2003.
14. О совершенствовании методов обучения математики / Сб. статей сост. Крамор В. С. – М.: Просвещение, 2004.
15. МПМ в средней школе. Частная методика / Сост. Мишин В. И. – М: Просвещение, 2003.
16. Петровский Е. И. Проверка и оценка знаний учащихся – М.: АПН РФ, 2005.
18. Планирование обязательных результатов обучения математике / сост. В. В. Фирсов – М.: Просвещение, 2002.
19. Программы общеобразовательных учреждений. Математика – М: Просвещение, 2006.
21. Скобелев Г. Н. Систематизация знаний на уроках математики – Минск, 2006.
22. Современные основы школьного курса математики. / Н. Я. Виленкин, К. И. Дудничев, Л. А. Калужнин, А. А. Столяр. – М.: Просвещение, 2004.
23. Утеева Р. А. Групповая работа как одна из форм деятельности учащихся на уроке // Математика в школе, 2005. - №2.
24. Харламов И. Ф. Педагогика. Курс лекций. – Минск, 2005.
25. Шаталов В. Ф. Куда и как исчезли тройки – М.: Педагогика, 2004.
0>5>














