110599 (616278), страница 2
Текст из файла (страница 2)
В Таблице 5 приведены значения интенсивность событий удаления злоумышленника из охраняемых помещений и вероятность удаления злоумышленника.
Таблица 5 – Вероятность удаления злоумышленника из i-го помещения
| Номер помещения |
| Вероятность |
| 1 | 0,0333 | 0,4085 |
| 2 | 0,2500 | 0,3064 |
| 3 | 0,1667 | 0,2042 |
| 4 | 0,1667 | 0,2042 |
| 5 | 0,2000 | 0,2451 |
| 6 | 0,2500 | 0,3064 |
Составим матрицу смежности (Таблица 6).
Таблица 6 – Матрица смежности
| А0 | А1 | А2 | А3 | А4 | А5 | А6 | |
| А0 | 1 | 1 | 1 | 1 | 1 | 0 | 1 |
| А1 | 1 | 1 | 1 | 0 | 1 | 1 | 1 |
| А2 | 1 | 1 | 1 | 1 | 0 | 0 | 0 |
| А3 | 1 | 0 | 1 | 1 | 0 | 0 | 0 |
| А4 | 1 | 1 | 0 | 0 | 1 | 0 | 0 |
| А5 | 1 | 1 | 0 | 0 | 0 | 1 | 0 |
| А6 | 1 | 1 | 0 | 0 | 0 | 0 | 1 |
Матрица переходных вероятностей будет иметь вид:
Итак получаем следующую матрицу переходных вероятностей:
Решая систему уравнений Колмогорова-Чепмена для дискретного времени, определяются финальные вероятности нахождения преступника в различных состояниях, то есть в различных комнатах помещения:
, (2)
где
– вектор-строка начального состояния системы;
– квадратная матрица переходных вероятностей;
– вектор-столбец анализируемого состояния, который имеет все нулевые элементы и одну единицу, которая стоит в позиции, соответствующей порядковому номеру анализируемого состояния.
Получим финальные вероятности нахождения злоумышленника в различных комнатах помещения.
Таким образом, вероятность неуспешной реализации угрозы доступа равна
P0=0.728, где P0 – вероятность нахождения злоумышленника за пределами помещения в конкретный момент времени (в общем случае комнаты, где нет ценностей).
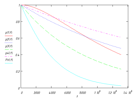
Графики зависимости вероятностей доступа в отдельные помещения объекта от времени, начиная от момента начала атаки, приведены на Рисунке 4. График изменения защищенности объекта в зависимости от времени, прошедшего от момента начала атаки приведен на Рисунке 5.
Рисунок 4 – График изменения вероятностей доступа в отдельные помещения кафедры в зависимости от времени
Рисунок 5 – График изменения защищенности объекта в зависимости от времени, прошедшего от момента начала атаки
2 Оценка и оптимизация коэффициента готовности средств сигнализации
2.1 Расчет надежности системы сигнализации для каждого топологического элемента
Структурная схема для расчета надежности отдельной ветви системы сигнализации приведена на Рисунке 6. Произведем ее декомпозицию на четыре блока:
Блок 1 – датчики:
а) датчики открытия двери;
б) датчики движения;
Блок 2 – линии связи, по которым передается сигнал от датчиков на центральный пульт охраны;
Блок 3 – пульт охранной сигнализации;
Блок 4 – блок питания.
Рисунок 6 – Структурная схема для расчета надежности сигнализации
Из опыта известно, что показатели безотказности элементов каждого блока равны:
Для расчета надежности по схеме (Рисунок 6) определим вероятность безотказной работы каждого блока:
-
Блок 1:
, поскольку отказ любого комплекта датчиков не приведет к отказу системы; -
Блок 2:
; -
Блок 3:
; -
Блок 4:
.
Тогда вероятность безотказной работы системы сигнализации буде вычисляться по формуле (3).
(3)
На Рисунке 7 приведены графики изменения вероятностей безотказной работы в зависимости от времени.
Рисунок 7 - Вероятности безотказной работы отдельных блоков и системы сигнализации в целом
Интенсивность отказов блоков определяется по формулам (4):
(4)
Построим графики зависимости интенсивностей от времени (Рис. 8).
Рисунок 8 – Графики изменения интенсивностей в зависимости от времени
2.2 Расчет коэффициентов готовности и коэффициентов простоя
Оценим коэффициент готовности системы охранной сигнализации и рассмотрим возможность его повышения за счет выбора оптимального периода проведения профилактических работ.
Глубина контроля блока датчиков равна нулю (
), поскольку датчики не контролируются, а любой отказ линий связи, пульта охранной сигнализации и блока питания обнаруживается автоматически, поэтому значения их глубины контроля могут быть приняты равными единице, т.е.
.
Интенсивность отказов комплекса определяется по формуле (5), а глубина контроля всей системы по формуле (6).
(5)
(6)
Рисунок 9 - График зависимости глубины контроля всей системы от времени
Рисунок 10 – Зависимость интенсивности отказов комплекса
от времени
Профилактические работы в помещении проводятся 2 раза в год, то есть интенсивность профилактических работ равна:
(7)
Определяем значения показателей системы к моменту начала профилактических работ. Время наработки к началу профилактических работ составляет:
(8)
Вычислим значения интенсивностей профилактических работ для каждой комнаты:
Устанавливаем параметры системы технического обслуживания. Профилактические работы проводятся в течение 8 часов, т. е. интенсивность обслуживания:
(9)
В случае наличия неисправностей в системе сигнализации ремонтные работы проводятся в течение 1,5 суток, т. е. интенсивность восстановления составляет
(10)
Определим состав анализируемых состояний комплекса:
-
- работоспособное состояние;
-
- состояние контролируемого отказа;
-
- состояние неконтролируемого отказа;
-
- состояние проведения профилактических работ.
Составим диаграмму графа, моделирующего поведение системы с учетом процессов технического обслуживания (Рисунок 7).
Рисунок 11 - Диаграмма графа, моделирующего поведение системы с учетом процессов технического обслуживания
По полученному графу составим систему уравнений Колмогорова-Чепмена:
(11)
Решая систему, получим значение коэффициента готовности:
(12)
Коэффициент простоя равен:
(13)
Итак, коэффициент готовности равен
, а коэффициент простоя
.
2.3 Оптимизация периода профилактических работ
Для определения минимального значения коэффициента простоя находим его производную по интенсивности профилактических работ и приравниваем ее к нулю.
Оптимальные интенсивность и период профилактических работ при заданных параметрах обслуживания и ожидания равны:
(14)
(15)
(16)
Получаем значение оптимального периода профилактических работ, который равен 353 часа или 15 дней. При этом оптимальный коэффициент простоя равен
, а коэффициент готовности
.
3 Расчет показателя информационной безопасности и размера потенциального ущерба (риска)
Размер потенциального ущерба (риска) в случае реализации угрозы определяется по формуле:
(17)
где
– стоимость ценностей, хранимых в i-ой комнате
(18)
где
– коэффициент готовности,
– финальная вероятность нахождения злоумышленника в i-ой комнате.
Риск потенциального ущерба после оптимизации:
(19)
Рассчитанные значения рисков до оптимизации и после оптимизации приведены в Таблице 9:
Таблица 7 - Оптимизация периода профилактических работ
| Номер комнаты | Риск до оптимизации Ri | Риск после оптимизации Ri |
| 1 | 1390 | 573 |
| 2 | 4565 | 2202 |
| 3 | 8110 | 4286 |
| 4 | 13038 | 6934 |
| 5 | 8167 | 2092 |
| 6 | 5808 | 2595 |
| Все помещение | 41078 | 18682 |
Коэффициент выгоды системы защиты:
То есть оптимальная организация профилактических работ позволила бы снизить риск в 2,2 раза.
, поскольку отказ любого комплекта датчиков не приведет к отказу системы;
;
;
.















