104531 (615847), страница 3
Текст из файла (страница 3)
Внешняя среда состоит из макро-, мезо-, микроокружения.
Анализ макроокружения включает:
-
его всестороннее изучение с целью отслеживания специфических тенденций и обнаружения признаков возможных изменений;
-
их прогнозирование и оценку направленности с точки зрения их вероятного воздействия на организацию.
Такой анализ позволяет:
-
лучше понимать значение происходящих в организации событий, действовать как система раннего предупреждения, успевать прогнозировать угрозы, сосредоточивать внимание на первых признаках стратегических перемен;
-
точнее оценить обстановку, в которой функционирует организация, роль национальных и международных влияний;
-
повысить качество принимаемых стратегических решений.
Для исследования макроокружения чаще всего используют методы PEST-анализа (от английских слов "политико-правовой", "экономический", "социокультурный", "технологический").
1. Политико-правовой анализ имеет в качестве объектов:
-
политический режим в стране и степень его стабильности;
-
общую политическую ситуацию, особенности политической борьбы и возможность смены политического курса в связи с очередными выборами;
-
участие страны в политических блоках и международных экономических союзах, отдельных соглашениях, которые могут влиять на положение организации;
-
основные политические партии и общественные объединения, их активность, влияние на законодательную и исполнительную власть;
-
крупнейших политических деятелей и их ориентацию;
-
характер взаимодействия политики и бизнеса;
-
обстановку в конкретных регионах; степень влияния региональных и местных властей на политику и экономику;
-
общую стабильность правовой системы;
-
национальное законодательство (коммерческое, налоговое, антимонопольное, природоохранное, внешнеэкономическое, трудовое и пр.) и его соответствие нормам международного права, например требованиям Европейского союза;
-
специфику учреждения и преобразования фирм, а также создания совместных предприятий;
-
криминогенную ситуацию; защищенность собственности и права личности.
2. Экономический анализ сосредоточен на:
-
общей экономической ситуации (уровень деловой активности, темпы и перспективы роста, инвестиционная активность, инфляция, дефицит бюджета и пр.);
-
доле государственного сектора и характера государственного регулирования экономики и социальной сферы;
-
особенностях налоговой системы;
-
тенденциях изменения внешнеэкономических связей (ориентация, интенсивность, объем, структура) и особенностях их регулирования;
-
состоянии банковской системы;
-
характеристиках располагаемых ресурсов (величина, обеспеченность и пр.)
-
стадии делового цикла;
-
инвестиционном климате;
-
величине безработицы; количестве крупных забастовок;
-
уровне оплаты труда в различных сферах;
-
основных экономических проблемах.
3. Социокультурный анализ направлен на изучение:
-
демографической ситуации в регионах, где расположены предприятия компании или покупается значительная часть ее продукции;
-
социально-экономической структуры населения (удельный вес отдельных социальных слоев, социальная мобильность и пр.)
-
системы общественных и национальных ценностей, вкусов и предпочтений, образ жизни населения; отношения к образованию, отдыху, работе;
-
жизненного цикла, характера распределения доходов;
-
среднего уровня образования работающих; число студентов высших учебных заведений;
-
активности потребителей.
4. Технологический анализ рассматривает:
-
степень совместности техники и технологического бызиса экономики;
-
состояние инфраструктуры, коммуникационных и информационных систем;
-
положение в сфере научных исследований; численность научных учреждений и ученых; количество открытий, изобретений, патентов, имеющих значение для создания новых продуктов;
-
защиту интеллектуальной собственности.
Анализ внутренней среды предприятия
Изучение внутренней среды происходит с помощью стратегического управленческого анализа, представляющего собой комплексное обследование ресурсов и возможностей организации, их соответствия существующим стратегическим задачам. Это вторая часть SWOT-анализа (разделение на две части связано с тем, что за каждую из них должны отвечать разные службы).
Анализ внутренней среды имеет несколько уровней - организация, основные службы и действующий хозяйствующий субъект. В его основе лежит детализированное исследование потенциала (активы, занятость, научно-технические возможности) и текущей деятельности с точки зрения ее перспектив.
Целями правленческого анализа являются:
-
глубокое изучение самой организации, выявление стратегических проблем, сильных и слабых сторон, негативных факторов, которые могут повлиять на реализацию стратегии, резервов развития;
-
оценка ресурсов и стратегических способностей, критических факторов успеха, оценка инвестиционной привлекательности компании;
-
разработка стратегии развития и оценка ее обоснованности;
-
поиск путей адаптации к изменениям среды;
-
формирование новой парадигмы управления;
-
определение уровня эффективности текущего бизнеса, организации ценностной цепочки, качества продукции;
-
изучение финансового состояния компании, ее инвестиционного потенциала и пр.
Рассмотрим основные объекты управленческого анализа.
Во-первых, это стратегический ресурсный потенциал. Выбор характеристик потенциала, становящихся объектами оценки, зависит от конкретных задач, решаемых фирмой, а также от ее положения в отрасли. Такими объектами являются:
-
собственно ресурсы - материальные, финансовые, интеллектуальные, структура предприятия;
-
операционные возможности (способность обеспечить соответствие запросам потребителей);
-
особенности системы управления (централизация, методы руководства, механизм стимулирования);
-
организационная структура (ценности, нормы, ритуалы, символы, мотивированность персонала, микроклимат, стиль руководства, способы разрешения конфликтов и пр.)
Во-вторых, результаты деятельности и финансовое положение организации, которые характеризуются также доступностью источников финансовых средств, наличием финансовых ограничений, конкурентоспособностью цен и уровнем затрат (особенно это касается производства потребительских товаров, где ценовая конкуренция играет более важную роль и лидируют компании с низкими издержками). На основе результатов анализа принимаются стратегические решения об объеме и направлениях будущих инвестиций.
В-третьих, качество деятельности и ее результата (его оценка должна быть многоаспектной, содержать рассмотрение как положительных, так и отрицательных сторон, соотношение с ценой, позициями конкурентов), удовлетворенность покупателей, их приверженность торговой марке.
В-четвертых, стратегия и ее составляющее:
-
насколько анализируемая стратегия логична, соответствует миссии организации, ее генеральной и другим стратегиям, ситуации;
-
каковы абсолютная и относительная (в сравнении с конкурентами) успешность реализации стратегии;
-
приемлема ли она для существующих условий и заинтересованных лиц;
-
обеспечивает ли рост организации, стабильности ее позиции, успех в будущем;
-
надежно ли защищает от основных конкурентных сил, внешних угроз, внутренних проблем;
-
каковы сильные и слабые стороны реализуемой стратегии;
-
в чем проявляется ее несоответствие организации;
-
какие организационные изменения необходимы для успеха будущей стратегии, какие они будут иметь последствия и пр.
Без четкого понимания этих моментов обоснованную стратегию выработать нельзя.
Рассмотрим предприятие ООО "Вариант" и проанализируем его стратегию.
5. Анализ стратегии предприятия ООО "Вариант"
Общество с ограниченной ответственностью "Вариант". С фирмой “Вариант” работают как физические, так и юридические лица. Основными направлениями деятельности является:
производство пластиковых изделий, используемых в строительстве, точнее производство окон и дверей из ПВХ и остекления;
производство прочих пластмассовых изделий;
производство строительных металлических изделий;
оптовая торговля, розничная торговля строительными материалами
Важнейшим аспектом активности является качество реализуемой стратегии. Качественная стратегия создает стабильное конкурентное преимущество, повышает интенсивность деятельности фирмы.
Действующие стратегии нельзя оценить каким-либо одним обобщенным показателем, поскольку они затрагивают многие стороны деятельности организации.
Оценку действующей стратегии предприятия проведем с помощью нормативного ряда и коэффициента Спирмэна.
В основу этого метода положен такой темп развития предприятия, при котором прибыль растет гораздо более быстрыми темпами, чем все показатели предприятия.
Итак, имеем нормативный ряд:
Тзр<Тс/с<Тмз<Ттп< Тп,
где Тзр - темпы роста заработной платы
Тс/с - темпы роста себестоимости
Тмз - темпы роста материальных затрат
Ттп - темпы роста товарной продукции
Тп - темпы роста прибыли
Заметим, что этот нормативный ряд составлен для стадии роста в жизненном цикле товара, а нам придется изменить этот ряд в соответствии с текущей стадией ЖЦТ.
Для оценки возможности использования стратегии для достижения конечной цели предприятия необходимо рассмотреть следующие технико-экономические показатели ООО "Вариант" (табл.4).
Технико-экономические показатели ООО "Вариант"
Таблица 4
| Годы | Выручка от реализации продукции, тыс. руб. | Фонд заработной платы, тыс. руб. | Полная себестоимость, тыс. руб. | Материаль-ные затраты, тыс. руб. | Балансовая прибыль, тыс. руб. | |||||
| 2007 | 3061 | 251 | 2647 | 1316 | 444 | |||||
| 2008 | 5603 | 568 | 5064 | 3026 | 588 | |||||
| 2009 | 8283 | 1204 | 7267 | 4044 | 996 | |||||
В таблице 5 представлены темпы изменения технико-экономических показателей рассматриваемого предприятия.
Темпы изменения технико-экономических показателей предприятия (%).
Таблица 5
| Периоды | Темпы роста | ||||
| Выручка от реализации продукции | Фонд заработной платы | Полная себестоимость | Материальные затраты | Балансовая прибыль | |
| 2008/2007 | 183,0 | 225,8 | 191,3 | 229,8 | 132,4 |
| 2009/2008 | 147,8 | 212,0 | 143,5 | 133,7 | 169,4 |
В таблице 6 приведены фактические динамические ряды уровня развития предприятия.
Весовые коэффициенты темпов роста показателей отражают ранжирование совокупности - от больших значений темпов прироста экономических показателей к меньшим.
В таблице также рассчитан коэффициент корреляции Спирмена, по изменению которого и судят об эффективности реализации выбранной стратегии развития предприятия.
Расчет коэффициента Спирмена
Таблица 6
| Периоды | Ранги | Коэффициент корреляции Спирмэна, Кспир | ||||
| Выручка от реализации продукции | Фонд заработной платы | Полная себестои-мость | Материаль-ные затраты | Балансовая прибыль | ||
| Норма-тивный ряд | 4 | 1 | 3 | 2 | 5 | - |
| 2008/2007 | 4 | 2 | 3 | 1 | 5 | 0,9 |
| 2009/2008 | 3 | 1 | 4 | 5 | 2 | -0,05 |
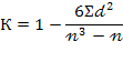
Степень соответствия нормативного и фактического рядов можно оценить с помощью коэффициента ранговой корреляции Спирмена:
∑d2 - сумма квадратов разностей рангов показателей в ряду;
n - количество рангов в ряду.
При полном соответствии двух последовательностей, К = +1, что означает полную положительную корреляцию.
При полной отрицательной связи К = - 1, в остальных случаях - 1<К<1.
Возрастание коэффициента от - 1 до +1 характеризует рост соответствия между рядами, а значит, рост результативности выбранной стратегии.
1>














