104055 (615651), страница 2
Текст из файла (страница 2)
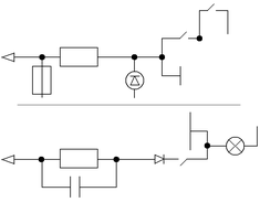
В режиме зарядки цепь на участке между аккумулятором и лампой разомкнута. Идет зарядка аккумулятора. Светодиод позволяет визуально определить наличие тока в электросети.
Внешний вид
Маркетинговый план
Направления маркетинга:
-
Анализ потребительского рынка и удовлетворение потребностей клиентов;
-
Выбор поставщиков и определение политики взаимодействия с поставщиками;
-
Анализ конкурентной среды и разработка стратегии повышения конкурентоспособности;
-
Определение сбытовой политики, стимулирование сбыта.
Потребители.
Потребителями на начальном этапе будут являться жители Оренбурга и Оренбургской области, затем продажа прибора планируется по всей территории Российской федерации.
Потребителями данного товара являются индивидуальные потребители, семьи или домохозяйства.
Причины приобретения прибора «Светлон»:
-
Необходимость резервного освещения гостиной, кухни и т.д.;
-
Необходимость резервного освещения в детской комнате.
В связи с этим необходимо разработать несколько дизайнов прибора — использовать несколько цветовых гамм для обеспечения возможности выбора, а также разработать вариант для установки в детских комнатах.
Характер спроса отличается низкой степенью вовлечения потребителей, некоторой пассивностью. В редких случаях потребитель примет решение о покупке заблаговременно, так как потребность в данном приборе скрытая до тех пор, пока потребитель не окажется в ситуации острой необходимости резервного освещения. Следовательно, необходимо информировать потребителей о ситуациях, в которых потребность в данном товаре становится явной, а также использовать напоминающую рекламу.
Поставщики
Детали, необходимые для производства прибора:
-
Выпрямительный диод VD
-
Поставщики:
-
ООО «Самара-ТехЭлектро» (г. Самара), цена — 2 руб.;
-
ЗАО «СнабЭлектро» (г. Уфа), цена — 2,3 руб.;
-
Аккумуляторы GB-Д-0,26 ДУ1
-
Поставщики:
-
ЗАО «Альбатрос» (г. Нижний Новгород), цена — 25,5 руб.;
-
ООО «Самара-ТехЭлектро» (г. Самара), цена — 20 руб.;
-
ЗАО «СнабЭлектро» (г. Уфа), цена — 23,3 руб.;
-
Сопротивление МЛТ-1; МЛТ-0,5
-
Поставщики:
-
ООО «Самара-ТехЭлектро» (г. Самара), цена — 1,5 руб.;
-
ЗАО «СнабЭлектро» (г. Уфа), цена — 3,1 руб.;
-
Реле напряжения ПЭ-20 220 В
-
Поставщик: ЗАО «Фирма “Новый день”» (г. Казань), цена — 30 руб.;
-
Лампа 2,5 В, 0,15 А
-
Поставщики:
-
ООО «Самара-ТехЭлектро» (г. Самара), цена — 6 руб.;
-
ЗАО «СнабЭлектро» (г. Уфа), цена — 8,9 руб.;
-
Провода
-
Поставщики:
-
ООО «Самара-ТехЭлектро» (г. Самара), цена — 20 руб./м;
-
ЗАО «СнабЭлектро» (г. Уфа), цена — 30 руб./м;
-
Клеммы
-
Поставщики:
-
ООО «Самара-ТехЭлектро» (г. Самара), цена — 0,45 руб.;
-
ЗАО «СнабЭлектро» (г. Уфа) цена — 0,5 руб.;
-
Гранулированный полиэтилен
-
Поставщики:
-
ООО «Сервис-Пласт» (г. Самара), цена — 123 руб./кг.;
-
ООО «ОСТ-3» (г. Москва), цена — 157 руб./кг.
Для снижения риска, связанного с нарушениями поставок необходимо диверсифицировать поставщиков. Кроме того разнообразие предприятий, предлагающих данные детали и высокая конкуренция между ними позволяет выбрать поставщика, предлагающего детали высокого качества, но по низкой цене. Наиболее предпочтительными поставщиками являются: ООО «Самара-ТехЭлектро», ЗАО «Фирма “Новый день”», ООО «Сервис-Пласт».
Конкуренция
Прибор «Светлон» на данный момент не имеет аналогов в своем роде. Однако в связи с простотой конструкции необходимо предполагать появление в скорейшем времени приборов аналогичной конструкции.
Для повышения конкурентоспособности необходимо создать имидж надежного прибора, сделать марку «Светлон» узнаваемой посредством рекламы. Позиционирование товара должно быть четким: «Светлон» — прибор для обеспечения безопасности и комфорта.
SWOT-анализ
| Возможности: Расширение производства Расширение функциональности прибора Использование производственных мощностей для производства других изделий | Угрозы: Вероятность появления конкурентов Непредсказуемый спрос | |
| Сильные стороны: Низкая себестоимость Простота конструкции Не требует высококвалифицированного персонала Отсутствие аналогов Стандартные комплектующие Четкое позиционирование товара | Развитие: Выход на новые рынки Освоение новых видов продукции | Минимизация риска: Создание положительной репутации Изучение и стимулирование спроса |
| Слабые стороны: Скрытый характер потребностей Не возможность защиты от появления аналогов | Компенсация: Увеличение спроса путем повышения функциональности прибора | Опасности: Низкий объем продаж Невозможность реализации продукции |
Организация сбыта товара
Прибор «Светлон» должен продаваться в магазинах электротехники, магазинах, специализирующихся на освещении (люстры, лампы), бытовых магазинах (бытовая химия, товары для дома).
Стимулирование сбыта.
Рекламу товара можно разделить на два уровня:
-
Информирующая реклама (реклама по ТВ, обрисовывающая жизненные ситуации, в которых может пригодиться «Светлон»);
-
Напоминающая реклама (реклама в местах продаж, привлекающая внимание к товару на полке и напоминающая о необходимости прибора).
Кроме рекламы необходимо проводить демонстрации прибора в крупных магазинах.
Производственный план
Детали и сырье, необходимые для производства:
-
Корпус;
-
Диод (VD);
-
Сопротивление (R1- МЛТ1; R2- МЛТ0,5);
-
Конденсатор (C=474, DK 250 В);
-
Аккумуляторы 3 шт. (GB-Д-0,26 ДУ1);
-
Реле напряжения (ПЭ-20 220 В);
-
Лампа (2,5 В, 0,15 А);
-
Патрон для лампы;
-
Светодиод;
-
Провода;
-
Вилка (XP);
-
Шурупы (2 шт.);
-
Клеммы для аккумулятора;
-
Переключатели (2 шт.);
-
Гранулированный полиэтилен.
Инструменты и оборудование:
-
Паяльник 350 руб.;
-
Плоскогубцы 95 руб.;
-
Отвертка 85 руб.;
-
Кусачки 80 руб.;
-
Тестер 280 руб.;
-
Станок «КуАСИ 170/55» для производства пластикового корпуса.
Рабочие операции
Изготовление пластикового корпуса производится на станке
«КуАСИ 170/55». Под действием высокой температуры гранулированный полиэтилен плавится и под давлением подается в формы. После застывания изделий их выдерживают в течении 12 — 24 часов при нормальных условиях. Производительность станка — 50 изделий в час.
Сборка производится двумя параллельными потоками:
| № | Операция | Длительность, секунд | Результат (деталь) |
| 1.1 | Припайка первого контакта катушки реле к первому штырю вилки | 18 | Д11 |
| 1.2 | Припайка одного контакта сопротивления R1 к первому штырю вилки | 16 | Д12 |
| 1.3 | Припайка первого контакта светодиода ко второму контакту сопротивления R1 | 16 | Д13 |
| 1.4 | Припайка минусовой клеммы аккумулятора ко второму контакту сопротивления R1 | 17 | Д14 |
| 1.5 | Припайка первого контакта основного выключателя ко второму контакту сопротивления R1 | 16 | Д15 |
| 1.6 | Припайка первого контакта ключа реле ко второму контакту основного выключателя | 16 | Д16 |
| 2.1 | Припайка первого контакта сопротивления R2 ко второму штырю вилки | 17 | Д21 |
| 2.2 | Припайка первого контакта конденсатора ко второму штырю вилки | 15 | Д22 |
| 2.3 | Припайка второго контакта конденсатора ко второму контакту сопротивления R2 | 12 | Д23 |
| 2.4 | Припайка первого контакта диода ко второму контакту сопротивления R2 | 12 | Д24 |
| 2.5 | Припайка первого контакта выключателя зарядки ко второму контакту диода | 13 | Д25 |
| 2.6 | Припайка плюсовой клеммы аккумулятора ко второму контакту выключателя зарядки | 13 | Д26 |
| 2.7 | Припайка первого контакта патрона для лампы ко второму контакту выключателя зарядки | 12 | Д17 |
| 3.1 | Припайка второго контакта катушки реле ко второму штырю вилки | 30 | И31 |
| 3.2 | Припайка второго контакта светодиода ко второму контакту сопротивления R2 | 28 | И32 |
| 3.3 | Припайка второго контакта патрона для лампы ко второму контакту выключателя зарядки | 28 | И33 |
| 3.4 | Присоединение лампы к патрону | 8 | И34 |
| 3.5 | Монтаж И343 в пластиковый корпус | 22 | И35 |
| 3.6 | Опробование схемы в работе | 13 | Готовый прибор |
Сборка прибора производится тремя рабочими:
Первый рабочий выполняет операции 1.1 — 1.6, второй рабочий выполняет операции 2.1 —2.7, третий рабочий выполняет операции 3.1 — 3.6.
| 1 мин | 2 мин | 3 мин | 4 мин | ||||||||||||||||||||||||||||||||||||
| Первый рабочий | 1.1 — 1.6 | ||||||||||||||||||||||||||||||||||||||
| Второй рабочий | 2.1 — 2.7 | ||||||||||||||||||||||||||||||||||||||
| Третий рабочий | 3.1 — 3.6 | ||||||||||||||||||||||||||||||||||||||
Время изготовления одного изделия составляет 228 секунд.
Организационный план
ПО «Стрела» занимается производством широкого ассортимента товаров. Прибор «Светлон» будет производиться на машиностроительном заводе.
Персонал, задействованный в производстве и сбыте прибора «Светлон»:
-
Менеджер;
-
Мерчендайзер;
-
Рабочие (3).
Обязанности персонала:
-
Менеджер:
-
взаимодействие с поставщиками;
-
планирование объемов производства;
-
маркетинговая деятельность;
-
руководство персоналом;
-
Мерчендайзер:
-
расстановка товара на полках в магазинах;
-
оформление витрин;
-
обеспечение точек продаж рекламными материалами»
-
Рабочие:
-
производство прибора;
-
мониторинг качества.
Финансовый план
Расчет себестоимости изделия
















