103720 (615459), страница 2
Текст из файла (страница 2)
2. Важным дополнением этого принципа является также принцип целевого назначения. Оценка может проводиться вообще или быть ориентирована на некоторые предположительные результаты, но может иметь и ясную, конкретную цель.
3. Принцип разнообразия, полноты и системности. Очень часто подлежат оценке только те характеристики, которые известны, доступны, понятны, измеряемы. В результате такого подхода получается деформированная оценка, которая не дает полной картины события или ситуации, явления или проблемы.
4. Принцип критериальной определенности. Можно оценивать грубо, приблизительно, предварительно, но не бывает оценки без критерия. Чем точнее установлен критерий, тем объективнее и значительнее оценка. При проведении оценки недопустимо произвольное изменение критерия.
5. Принцип количественной определенности оценки. Оценивать можно в параметрах констатации качества, описания особенностей, но оценка может проводиться в количественных показателях, которые дают точную информацию и позволяют эффективнее оперировать оценками: сравнивать, синтезировать, улавливать изменения. В исследованиях систем управления необходимо, по возможности, стремиться к количественным оценкам.
6. Принцип сочетания оценки состояния и изменений. Чаще всего оценка является фиксацией состояния той или иной характеристики, фотографией остановившегося мгновения, констатацией степени проявления характеристики.
7. Принцип независимости заключается в том, что оценка должна быть отделена, насколько это возможно, от личностных отношений, служебной зависимости, амбиций и самолюбия. Она должна быть защищена от влияния заинтересованных лиц, доброжелателей или недоброжелателей.
Это достигается как посредством методики оценки, так и соответствующей организацией ее проведения.12
2.2 Методы оценки эффективности исследования системы управления
Статические методы относятся к простым методам, которые используются в основном для быстрой и приближенной оценки привлекательности инвестиционных проектов. Наиболее часто при использовании на практике простые методы применяют следующий состав показателей:
суммарная (среднегодовая) прибыль от реализации
инвестиционного проекта;
рентабельность инвестиций (простая норма прибыли);
срок окупаемости инвестиций.
Суммарная прибыль рассчитывается как разность результатов и затрат в течение t-гo интервала времени по формуле:
где n – количество интервалов времени в течении инвестиционного периода;
Pt – стоимостная оценка результатов от применения проекта в течении t-го интервала времени;
Зt – совокупные затраты, связанные с реализацией проекта в течение t-гo интервала времени.
Среднегодовая прибыль представляет собой усредненную величину чистой прибыли, которую получают участники проекта за определенный год:
(2)
где Т – срок окупаемости инвестиционного проекта.
Инвестиционный проект считается привлекательным в том случае, если суммарная или среднегодовая прибыль являются положительными.
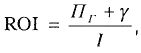
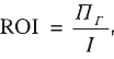
Рентабельность инвестиций (ROI – Return on Investments) позволяет установить не только прибыльность проекта, но и осуществить оценку степени этой прибыльности. Этот показатель определяется как отношение среднегодовой прибыли к вложенным единовременным инвестициям:
(3)
где I – первоначальные инвестиции в проект.
Показатель рентабельности инвестиций может быть рассчитан исходя из результатов одного какого-либо года. Как правило, выбирается год, когда организация работает на полную производственную мощность. Частным случаем расчета показателя рентабельности в зависимости от целей экономического анализа может быть использован следующий показатель:
(4)
где γ – процентные платежи, которые выплачиваются кредитору.
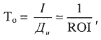
Срок окупаемости инвестиций рассчитывается как отношение первоначальных инвестиций к чистому доходу, постоянному по величине и равномерно поступающему в организацию:
(5)
где Ди – постоянный по величине и равномерно поступающий чистый доход.
Чем меньше срок окупаемости инвестиций, тем привлекательнее инвестиционный проект.
Динамические методы оценки эффективности систем управления применяются в основном для анализа эффективности инвестиционных проектов. В настоящее время существуют следующие динамические методы оценки эффективности систем управления:
текущей стоимости;
рентабельности;
ликвидности;
индекс доходности.
Метод текущей стоимости связан с определением чистого дисконтированного дохода, выступающего как показатель интегрального экономического эффекта от реализации инвестиционного проекта. Чистый дисконтированный доход NPV определяется как разность дисконтированных денежных потоков поступлений и платежей за весь инвестиционный период:
В том случае, если инвестиции в проект осуществляются единовременно, тогда NPV можно определить следующим образом:
(7)
В результате проведенных расчетов положительное значение NPV показывает целесообразность принятия решения о вложении инвестиций в проект. С помощью этого показателя можно осуществить текущую оценку стоимости лицензий:
(8)
где А – лицензионный платеж в размере роялти.
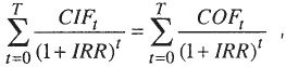
Метод рентабельности (Internal Rate of Return) применяется для определения внутренней нормы рентабельности проекта (IRR), то есть такой нормы дисконта, при которой дисконтированная стоимость поступлений денежных средств по проекту равняется дисконтированной стоимости платежей:
(9)
где IRR – ставка внутренней нормы рентабельности проекта.
Экономический смысл показателя внутренней нормы рентабельности проекта состоит в том, что с его помощью определяется темп роста капитала, инвестированного в проект. Величину IRR можно определить с помощью графического метода (Приложение 1). Для этого строится график значений NPV пpи различных значениях ставки дисконта. При этом значение Ес, при котором график пересекает ось абсцисс и определяет искомое значение IRR (IRR1 IRR2 …IRRn).
Метод ликвидности служит для определения срока окупаемости инвестиций. В динамической постановке расчет периода окупаемости осуществляется с помощью дисконтирования денежных потоков по проекту в зависимости от определенных условий по формуле:
(10)
Срок окупаемости инвестиций можно определить с помощью графического метода. В приложении 2 приведен график динамики изменения кумулятивного чистого дисконтированного дохода NPV в зависимости от времени реализации проекта.
Как видно из графика, срок окупаемости инвестиций соответствует точке, где NPV, рассчитанный нарастающим итогом от начала вложения инвестиций, становится равным нулю. В дальнейшем проект будет приносить чистый доход.
Индекс доходности (Profitability Index) представляет собой относительный показатель. Он характеризует соотношение дисконтированных денежных потоков и величины первоначальных инвестиций:
(11)
По этому при принятии окончательного решения об экономической привлекательности проекта должно соблюдаться условие, что величина PI > 1. Если PI < 1, тогда проект считается неэффективным и должен быть отклонен.13
2.3 Эффективность инвестиций в системы управления
Проблема оценки эффективности инвестиций в создаваемые системы управления постоянно находится в центре внимания ученых-экономистов.
Под эффективностью понимается сопоставление результатов (эффекта) от реализации инвестиций в системы управления с величиной их затрат. В условиях рыночных отношений проблема экономического обоснования инвестиционных решений в системы управления приобретает особую актуальность. Она возникает уже на предъинвестиционной фазе, как на уровне отдельных организаций, так и в высших эшелонах управления национальной экономикой.14
Если представить создание и реализацию систем управления в виде инвестиционного проекта, тогда следует решить две задачи. Первая задача состоит в оценке эффективности каждого из возможных вариантов реализации проектов, а вторая задача заключается в сравнении нескольких вариантов и выбора из них наиболее эффективного. Для решения этих задач в России были разработаны и опубликованы Методические рекомендации по оценке эффективности инвестиционных проектов и их отбору для финансирования.15
Исходя из экономической целесообразности инвестиционные проекты в области создания систем управления принимаются к реализации в следующих случаях:
инвестиции будут возмещены за счет доходов от реализации
систем управления;
окупаемость инвестиций осуществляется в пределах сроков,
приемлемых для организаций и инвесторов.
Оценка социально-экономической эффективности систем управления связана с решением ряда сложных задач, характеризующихся влиянием определенных факторов. Сложность решения таких задач определяется влиянием следующих факторов:
инвестиции осуществляются во времени один раз, либо
повторяются во времени неоднократно в зависимости от договоренности между инвесторами и хозяйствующими объектами;
получение результатов от реализации инвестиционных проектов
носит длительный характер, т. е. более года;
процесс реализации инвестиционных проектов в течение
длительного времени приводит к высокой степени неопределенности и влиянию инфляционных процессов, требующих при проведении расчетов эффективности учета рисков и инфляции.
Наличие этих факторов порождает необходимость разработки специальных методов оценки эффективности инвестиционных проектов. Учет возможных рисков и инфляции при расчетах эффективности систем управления позволяет принимать достаточно обоснованные решения с минимально возможным уровнем погрешности. Хотя абсолютно достоверное решение при оценке эффективности инвестиционных проектов достичь практически невозможно.16
Самое непосредственное влияние на эффективность проектов оказывают факторы, относящиеся к внутренним характеристикам проекта, которые были получены и обоснованы в результате исследования и анализа основных и оборотных средств, а также земли.17
Таким образом решение проблемы повышения эффективности инвестиционных проектов, связанный с созданием системы управления, требует выявления и учета основных факторов, оказывающих непосредственное или косвенное влияние на финансово-хозяйственные показатели управления объектов, а также источники получения социально-экономических результатов.
Заключение
В данной курсовой работе было проведено исследование теоретических аспектов, оценки эффективности исследования системы управления. По результатам исследования, были сделаны выводы.
В современных условиях развития экономики качество решений, принимаемых в процессах управления, непосредственно зависит от исследовательского подхода к управлению, умения изучать проблемы, определять их истоки и последствия.
Но менеджер сталкивается с проблемами не только в объекте управления — процессах развития фирмы или предприятия, но и в процессе управления, который должен совершенствоваться и совершенствование которого сегодня уже не мыслимо без серьезной исследовательской работы.
Всякая деятельность должна иметь оценку эффективности ее выполнения. Это касается и исследовательской деятельности. Не всегда легко оценить эффективность исследования, особенно когда речь идет об исследовании управления. Но знать подходы к такой оценке необходимо.
Современный менеджмент только тогда может быть действительно успешным, когда он находится в постоянном и непрерывном развитии, когда он ориентирован на изменения, обеспечивающие жизнестойкость организации и накопление ею потенциала инноваций и целеустремленности.
Но это оказывается практически возможным только при условии исследования систем управления, которое предполагает поиск наиболее эффективных вариантов построения системы управления и организации ее функционирования, исключения в ней противоречий и установление причин недостатков, а также определение путей дальнейшего развития. Исследования позволяют найти соответствие управления изменяющимся условиям и факторам экономики.
Исследование в современном менеджменте становится одной из основных функций управления, которая должна быть направлена не только на объект управления, но и на само управление, которое может стать тормозом инноваций, хотя по своему статусу должно быть источником идей развития фирмы и мотивационной основой его осуществления.
Исследование управления только тогда может быть успешным в своей практической значимости, когда оно проводится профессионально как в методологическом отношении, так и в организационном.
Современному менеджеру необходимо не только понимание важности и роли исследования в достижении успеха управленческой деятельности, но и владение определенными навыками его организации и проведения.
Менеджеру необходимо видеть и оценивать изменение системы ценностей, интересов и мотивов, установок и условий деятельности человека, как в объекте управления, так и в самой системе управления. На основе опыта и личных качеств это возможно лишь при условии управлении в сравнительно небольших масштабах и при исключительной стабильности функционирования фирмы. Но в современных условиях повышенной динамичности экономического развития, конкуренции и усложнения социально-психологических основ деятельности человека оценивать необходимость изменений и осуществлять их можно лишь на исследовательской основе.
Исследование социально-экономических систем имеет свои особенности, как в методологии их проведения, так и в организации и использовании результатов. Эти особенности надо понимать, знать и учитывать при проведении исследований в практике управления.















