100049 (614046), страница 2
Текст из файла (страница 2)
Действие – обладающая качественной определенностью элементарная часть процесса. Более мелкие составные части процесса теряют содержательную связь с данным процессом и могут рассматриваться только как элементы более частных процессов.
Операция – это, с одной стороны, целенаправленно осуществляемая совокупность взаимосвязанных действий; с другой стороны, элементарная составляющая процесса, в ходе которой могут решаться самостоятельные задачи и обеспечиваться значимые результаты. Крупные операции, отличающиеся масштабностью и длительностью осуществления, также могут рассматриваться как самостоятельные процессы, и в их составе могут выделяться операции второго уровня.
Основными элементами блока ориентации процесса являются функции, задачи и проблемы.
Функция – это качественно определенный вид динамического существования системы, обеспечивающий устойчивое получение значимого для системы результата. Именно функции создают устойчивую и долговременную ориентацию процесса, осуществляемого системой. Во-первых, устанавливается ориентация на осуществление процессов в соответствующих функциональных областях. Во-вторых, обеспечивается целевая ориентация процессов на основе соответствующих целевых функциональных критериев.
Задача – это конкретная целевая установка на достижение определенного результата, которую необходимо реализовать в ходе осуществления процесса. Задачи создают ориентацию на осуществление процесса решения в конкретной ситуации и поэтому должны заключать в себе соответствующее адаптационное задание. Специфика сложившейся ситуации должна учитываться при определении способов и критериев решения, последовательности соответствующих операций и действий.
Особо выделяются задачи, для решения которых требуются самостоятельные теоретические и эмпирические исследования. Такие задачи определяются как проблемы. Сложные процессы функционирования и развития современных социальных организаций требуют значительной проблемной ориентации. При этом проблемы выступают обычно в качестве составляющих более крупных задач: вслед за проблемными исследованиями обычно идут процессы практической реализации результатов исследования.
К основным элементам блока реализации процессов относятся: состояние, цикл, интервал, процедура.
Состояние – это фиксированная в данный момент совокупность свойств, отношений и параметров динамической системы, ее «моментальная фотография». Для оценки состояния системы преимущественное значение имеют ее переменные характеристики. В ходе процесса они могут определенным образом изменяться. Это позволяет определить влияние данного процесса на систему в целом и на ее отдельные составляющие.
Цикл – это полная совокупность последовательно осуществляемых стадий целостного процесса. С одной стороны, это сам процесс в его полном завершении, структурированный на отдельные последовательные стадии. С другой стороны, цикл представляет собой полную совокупность последовательно сменяющих друг друга качественно определенных состояний динамической системы: от исходного до завершающего.
Повторяющиеся циклы, многократно воспроизводясь, составляют соответствующие циклические процессы. При этом цикл, с одной стороны, включает полный кругооборот повторяющихся стадий, а с другой стороны, сам является стадией осуществления более широкого циклического процесса.
Временной интервал – это промежуток между двумя моментами времени. Он устанавливает конкретное расположение процессов, стадий, этапов, периодов, операций, действий на временной оси. Интервалы являются важнейшими характеристиками цикла: определяют длительность самого цикла, его отдельных фаз и расстояние между фазами. Дополнительное значение термина «интервал» - пределы колебания временных параметров осуществления какого-либо события или процесса.
Процедура – это определенная регламентированная последовательность осуществления процесса. Она устанавливает ход самого процесса, чередование стадий, операций, действий.
Процессы закономерные и случайные. Отличительная черта закономерных процессов – устойчивая зависимость осуществления процесса от состояния определенных факторов внешней и внутренней среды. Исходную основу осуществления закономерных процессов составляют внутренние качества самой системы. Для систем, обладающих такими качествами, возможность реализации процесса создается с наступлением соответствующей ситуации. Например, предприятие, обладающее высоким потенциалом, при наступлении благоприятной экономической ситуации активно включается в процесс экономического роста.
Процессы детерминированные и стохастические. Детерминированные процессы характеризуются наличием жесткого однозначного соответствия между определенным состоянием факторов процесса и его осуществлением. Состояние факторов предопределяет запуск процесса, его структуру, ориентированность, основные параметры реализации. Изменения в состоянии факторов с неизбежностью вызывают соответствующие однозначные изменения в осуществлении процесса.
Процессы управляемые и неуправляемые. Управляемыми являются те процессы, регулирование которых целенаправленно обеспечивается определенным управляющим центром. Управляющий центр может находиться в самой системе – внутреннее управление или вне системы – внешнее управление. Центр устанавливает цель и формирует целевую ориентацию процессов на выполнение соответствующих функций и решение поставленных задач. Центр осуществляет оптимальную.
Процессы установившиеся и переходные. Установившиеся процессы стабильны, однонаправленны и однородны. Они ограничены пределами качественно определенных стадий цикла.
Установившиеся процессы закономерны и отличаются большей детерминированностью. Это позволяет обеспечивать их стабильность. В переходных процессах закономерность выражена не так явно, а случайность играет существенно большую роль. Если они и детерминированы, то обычно это весьма слабая детерминированность.
Процессы регулярные и эпизодические. Регулярными являются процессы, многократно осуществляемые через определенный промежуток времени. Поскольку при этом воспроизводятся и основные фазы цикла, то данные процессы являются также и циклическими процессами.
Система реализации регулярных процессов является четкой и довольно однозначной. Осуществление процессов происходит как бы по определенному расписанию с установлением времени запуска и завершения процесса в целом и отдельных его фаз. Регулярные процессы закономерны и детерминированны.
Эпизодические процессы не имеют определенной периодичности повторения. Это могут быть как разовые неповторяющиеся процессы, так и процессы, повторяющиеся неравномерно. Разовые процессы обычно носят случайный характер.
Процессы непрерывные и дискретные. Непрерывные процессы осуществляются без перерывов с момента запуска и до окончательного завершения. В ходе дискретных процессов возникают перерывы, периоды, в течение которых процесс временно приостановлен. Таким образом, дискретные процессы дополнительно структурированы на периоды движения и периоды перерывов.
Непрерывная реализация процесса предполагает также и непрерывное изменение состояния системы, отсутствие остановок при завершении стадий цикла, постоянное поддержание на необходимом уровне соответствующих количественных параметров процесса.
Дискретные процессы подразделяются на периодические с равномерным распределением перерывов в течение всего процесса и непериодические, если распределение перерывов является неравномерным.
Процессы наблюдаемые и латентные. Наблюдаемый процесс – это процесс, имеющий такие внешние проявления, которые могут быть восприняты каким-либо субъектом наблюдения. Доступные наблюдению внешние проявления процессов могут происходить:
-
в изменении состояния участвующей в процессе системы;
-
во взаимодействии данной системы с другими системами;
-
в изменении положения данной системы во внешней среде. При этом могут использоваться разные формы наблюдения:
-
непосредственное с помощью органов чувств, опосредованное с использованием различных технических средств, социологическое, статистическое и т.д.
Латентный процесс – это скрытый, неявный процесс, не проявляющийся внешне в форме, доступной для наблюдения. Если процесс полностью латентен, то скрытыми остаются сам факт его
1.2 Принципы процессуализации
Общая основа формирования рациональных процессов – научные и универсальные принципы организации. Их использование позволяет обеспечить четкую целевую ориентацию процесса, эффективную реализацию и упорядоченность на всех стадиях осуществления.
Выделяют следующие принципы процессуализации: направленность, прямоточность, результативность, эффективность, восприимчивость, информативность, надежность, оперативность, гибкость, параллельность, ритмичность, синхронность.
Направленность. Принцип направленности предусматривает, что организационные процессы должны осуществляться в каком-либо одном четко определенном направлении. Направленность процесса устанавливается системой ориентации.
Прямоточность. Рациональный процесс – это прямоточный процесс, ведущий к намеченной цели по кратчайшему пути. Все отклонения от прямого пути к цели должны быть сведены к минимуму. Из существующих вариантов реализации процесса должен выбираться вариант с наименьшей длительностью цикла. Должны быть исключены излишние возвратные движения.
Результативность. Реализация процесса должна обеспечивать получение результата, соответствующего целевой ориентации процесса. Результат обладает определенными количественными и качественными характеристиками и должен быть позитивен для субъекта, управляющего процессом и осуществляющего его целевую ориентацию.
Эффективность. Организационные процессы должны быть эффективными, т.е. обеспечивать получение наилучшего результата на единицу затрат соответствующих ресурсов. Только достаточно эффективный процесс является целесообразным.
Восприимчивость. Организационный процесс должен обладать выраженной способностью воспринимать те воздействия, которые осуществляет на него субъект управления, и отражать их в изменении хода реализации, параметров и результативности. Восприимчивость процесса к целенаправленным воздействиям необходима для того, чтобы обеспечить его управляемость.
Информативность. Целенаправленная процессуализация возможна только по отношению к процессам, обладающим информативностью, т.е. способным нести в себе информацию, необходимую для управления этими процессами, в форме, доступной для восприятия субъектом управления. Процессы, не обладающие информативностью, латентны и потому неуправляемы.
Надежность. Процессы, целенаправленно осуществляемые для достижения установленных ориентиров и необходимые для нормального функционирования системы, должны обладать высокой степенью надежности.
Оперативность. Организационный процесс должен осуществляться без задержек, излишних временных разрывов и не выходить за пределы определенных временных границ. Оперативным должно быть само начало процесса – как только появляется возможность и необходимость его осуществления. В ходе реализации процесса не должно быть излишних перерывов; длительных временных разрывов между отдельными стадиями; чрезмерно растянутых переходных процессов; потерь времени, связанных с отклонением от выбранного направления движения.
Гибкость. Организационный процесс должен обладать гибкостью. Выделяются гибкость ориентации и гибкость реализации процесса. Гибкость ориентации предполагает способность процесса:
-
к смене приоритетов и отдельных частных целей;
-
к пересмотру поставленных задач;
-
к корректировке состава и содержания выполняемых функций;
-
к изменению направленности в случае отклонения от установленных ориентиров.
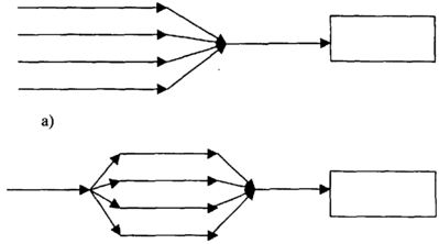
Параллельность. Принцип параллельности предполагает одновременное осуществление отдельных частей общего процесса. При этом возможны два варианта схемы общего процесса:
а) сходящийся:
совокупность параллельных процессов — конвергенция — единый процесс (рис.1а);
б) расходящийся — сходящийся:
единый процесс — дивергенция — совокупность параллельных процессов — конвергенция — единый процесс (рис.1б).
б)
Рис.1 – Параллельные процессы
Очевидно, что все параллельные процессы, составляющие общий процесс, должны быть ориентированы в одном направлении и согласованы между собой по параметрам реализации.
Параллельно могут выполняться самые разные типы процессов:
-
процессы разных фаз жизненного цикла;
-
процессы, относящиеся к разным типам поведения системы;
-
процессы, относящиеся к разным сферам деятельности;
-
процессы, различающиеся по значимости и уровню приоритетности.
В зависимости от объекта, на который оказывается воздействие, выделяются два вида параллельных процессов.
1. Процессы, осуществляющие параллельное воздействие на единый конкретный объект. В качестве такого объекта может выступать любая вещь, свойство, явление, живой организм, индивид, социальная организация, а также сама система, осуществляющая данный процесс.
2. Процессы, осуществляющие параллельное воздействие на совокупность однородных объектов. Одновременно выполняются действия и операции по отношению к разным конкретным объектам, составляющим общую однородную совокупность.
Ритмичность. Ритмичность характеризует равномерность осуществления процесса. Она предполагает четкое соответствие между длительностью той или иной стадии (этапа, периода) процесса и происходящими в ходе ее изменениями.















